What is the Correct Way to Write a Binomial Expansion for (1+(1/x))^(-3/2)?

Click For Summary
SUMMARY

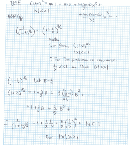
The correct approach to writing the binomial expansion for (1+(1/x))^(-3/2) involves recognizing the significance of the negative exponent. The user initially manipulated the expression to (1/x)(1+x) and extracted the term (1/x) from the exponent, resulting in x^(3/2). The professor's method, which simplifies the expansion to (1+B)^(3/2) using B=(1/x), neglects the negative sign, leading to different regions of validity for both expansions. The user's method is valid for 0 < x < 1, while the professor's corrected approach applies for |x| > 1.

PREREQUISITES
  • Understanding of binomial expansion principles
  • Familiarity with algebraic manipulation of expressions
  • Knowledge of exponent rules, particularly with negative exponents
  • Basic concepts of convergence and regions of validity in series expansions
NEXT STEPS
  • Study the binomial theorem and its applications in series expansions
  • Learn about the convergence criteria for binomial series
  • Explore the implications of negative exponents in algebraic expressions
  • Investigate the differences in regions of validity for various mathematical expansions
USEFUL FOR

Students in modern physics, mathematics enthusiasts, and educators looking to deepen their understanding of binomial expansions and their applications in different contexts.

bdolle
Messages
10
Reaction score
1
<Moderator's note: Moved from a technical forum and therefore no template.>

Hey All,

For my modern physics class we were told to write out a binomial expansion of (1+(1/x))^(-3/2). I am fairly confident in the work I did, but my professor posted his work and it is different and way simpler than mine. Would love feedback.

My work is the second page (pencil and final answer in pen).

It looks like my professor simply took the binomial expansion of just (1+B)^(3/2) using B=(1/x) and forgot to take into account the minus sign on the exponent. Forgivable, but I don't think that is the right way to tackle this.

I algebraically manipulated (1+1/x) to get (1/x)(1+x). Then wanting to pull the term (1/x) out of the entire expansion I had to take it out of the (-2/3) power making it 1/(x^-3/2) which is x^(3/2). Then I took the expansion of (1+x)^(-3/2) and mutliplied it by my factor of (x^(3/2)).

Anyone care to take a crack at this?

THANKS!
 

Attachments

  • Screen Shot 2017-09-10 at 8.08.13 PM.png
    Screen Shot 2017-09-10 at 8.08.13 PM.png
    72.3 KB · Views: 611
  • IMG_0411.JPG
    IMG_0411.JPG
    38.2 KB · Views: 444
Last edited by a moderator:
Physics news on Phys.org
Post it the right way up please!
 
bdolle said:
<Moderator's note: Moved from a technical forum and therefore no template.>

Hey All,

For my modern physics class we were told to write out a binomial expansion of (1+(1/x))^(-3/2). I am fairly confident in the work I did, but my professor posted his work and it is different and way simpler than mine. Would love feedback.

My work is the second page (pencil and final answer in pen).

It looks like my professor simply took the binomial expansion of just (1+B)^(3/2) using B=(1/x) and forgot to take into account the minus sign on the exponent. Forgivable, but I don't think that is the right way to tackle this.

I algebraically manipulated (1+1/x) to get (1/x)(1+x). Then wanting to pull the term (1/x) out of the entire expansion I had to take it out of the (-2/3) power making it 1/(x^-3/2) which is x^(3/2). Then I took the expansion of (1+x)^(-3/2) and mutliplied it by my factor of (x^(3/2)).

Anyone care to take a crack at this?

THANKS!

I will not read posted images, only typed work.

However, as you have described it, your expansion (if correct) would be valid only for ##0 < x < 1##, while that of your professor (when corrected) would only be valid for ##|x| > 1##. So, their regions of validity would be different.
 

Similar threads

  • · Replies 4 ·
Replies
4
Views
1K
  • · Replies 5 ·
Replies
5
Views
2K
  • · Replies 5 ·
Replies
5
Views
2K
  • · Replies 2 ·
Replies
2
Views
2K
  • · Replies 5 ·
Replies
5
Views
1K
  • · Replies 6 ·
Replies
6
Views
2K
  • · Replies 11 ·
Replies
11
Views
2K
Replies
3
Views
2K
Replies
2
Views
1K
  • · Replies 5 ·
Replies
5
Views
3K