What Property Connects the Steps in a Geometric Series Calculation?

  • Context: MHB 
  • Thread starter Thread starter nacho-man
  • Start date Start date
Click For Summary

Discussion Overview

The discussion centers around understanding the properties of geometric series and their application in calculating z-transforms. Participants explore the mathematical principles involved in transitioning between different forms of a geometric series and seek clarification on how to derive results without relying on tables.

Discussion Character

  • Technical explanation, Conceptual clarification, Homework-related

Main Points Raised

  • One participant seeks clarification on the property used to transition between two forms of a geometric series, expressing uncertainty about their understanding of the topic.
  • Another participant provides a detailed explanation of the geometric series formula, including the derivation of the sum and the roles of the first term and common ratio.
  • A later reply discusses the evaluation of z-transforms, indicating that it involves evaluating a series and suggesting that tables or software can simplify the process for more complex transforms.
  • One participant expresses appreciation for the information shared and acknowledges the need for further revision on the topic.

Areas of Agreement / Disagreement

Participants generally agree on the properties of geometric series and their application to z-transforms, but there is no consensus on the best methods for evaluation without tables, as this remains a point of inquiry.

Contextual Notes

The discussion does not resolve the participant's initial confusion about the specific property connecting the steps in the geometric series calculation, nor does it clarify the limitations of the methods discussed.

nacho-man
Messages
166
Reaction score
0
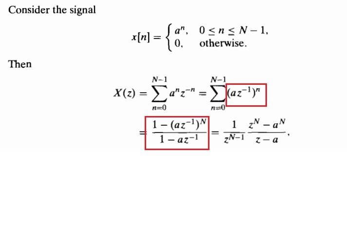
Hi, just wanted to know what property/?? was used to get from the first red-box to the second one.

It looks like it has to do with the geometric sum, but my series/sequence is verrrrrry rusty.

any help appreciated, I'd like to find the general property so I can apply this rule to different examples. I can see that the bounds of the sum has altered the outcome also.

IF anyone could explain this to me, or link me to some relevant theory I would be ecstatic.many thanks in advance.

(see attached image)edit: my brain is fried, there are tables which give these direct results! awesome.
just wondering though, is there a way to solve for z-transforms without having to consult a table?
Although this last question is probably reserved for a different sub-board.

thanks anyway.!
 

Attachments

  • HELP ME MHB PLZZZ.jpg
    HELP ME MHB PLZZZ.jpg
    14.6 KB · Views: 117
Last edited:
Physics news on Phys.org
That is the sum of a geometric series, consider:

We'll represent a geometric series by $S_n=\sum ar^{n-1}$

$$S_n=a+ar+ar^2+...+ar^{n-1}$$

Multiply both sides by $r$:

$$rS_n=ar+ar^2+...+ar^{n-1}+ar^n$$

Subtract from $S_n$ so that most of the terms cancel:

$$S_n - rS_n=a-ar^n$$
$$(1-r)S_n=a(1-r^n)$$
$$S_n = \frac{a(1-r^n)}{1-r}$$

$a$ is the first term, which in your case, is $1$.
$r$ is the common ratio which is what we're multiplying "$n$" times: $az^{-1}$

Applying $S_n$, we get from the first red box to the second :D I don't think I'll be able to answer your other questions though, I've only just started learning series.
 
Last edited:
nacho said:
edit: my brain is fried, there are tables which give these direct results! awesome.
just wondering though, is there a way to solve for z-transforms without having to consult a table?

Hi nacho,

Evaluating a z-transform without tables is exactly what is done here.
It depends on evaluating a series.

Tables or math software make your life much easier for complicated z-transforms though.
 
wonderful, thanks heaps guys.
A revision session is long overdue haha!
 

Similar threads

  • · Replies 4 ·
Replies
4
Views
3K
  • · Replies 1 ·
Replies
1
Views
2K
  • · Replies 2 ·
Replies
2
Views
2K
  • · Replies 10 ·
Replies
10
Views
4K
  • · Replies 13 ·
Replies
13
Views
2K
  • · Replies 11 ·
Replies
11
Views
3K
  • · Replies 43 ·
2
Replies
43
Views
10K
  • · Replies 10 ·
Replies
10
Views
6K
  • · Replies 8 ·
Replies
8
Views
4K
Replies
1
Views
7K