ZFC .... Axioms of Foundation .... and Infinity ....

  • Context: Undergrad 
  • Thread starter Thread starter Math Amateur
  • Start date Start date
  • Tags Tags
    Axioms Infinity Zfc
Click For Summary

Discussion Overview

The discussion revolves around the interpretation and implications of the foundation axiom in set theory as presented in D. J. H. Garling's book on mathematical analysis. Participants are focused on understanding a specific proof related to Proposition 1.7.5, particularly how the foundation axiom leads to the existence of a positive integer that satisfies certain conditions regarding the function f.

Discussion Character

  • Technical explanation
  • Mathematical reasoning
  • Homework-related

Main Points Raised

  • One participant seeks clarification on how the foundation axiom implies the existence of an integer ##n \in \mathbb{Z}^+## such that no member of ##f(n)## is in ##f(\mathbb{Z}^+)##.
  • Another participant suggests restating the claim in terms of set intersection, proposing that there exists an element ##n## such that ##f(n) \cap f(\mathbb{Z}^+) = \emptyset##.
  • A participant questions the equivalence of two statements regarding the existence of ##n## and the conditions on the function f, seeking further explanation.
  • Further clarification is provided on how to substitute elements in the foundation axiom to derive the desired statement about the intersection of sets.
  • Participants note the distinction between the notation used for positive integers, highlighting the use of ##\mathcal{Z}^+## versus ##\mathbb{Z}##.

Areas of Agreement / Disagreement

Participants are engaged in a detailed exploration of the implications of the foundation axiom, with no consensus reached on the interpretation of the statements or the equivalences proposed. The discussion remains unresolved as participants clarify and refine their understanding of the mathematical concepts involved.

Contextual Notes

Participants are working through the logical implications of the foundation axiom and its application to the specific context of the proof in Garling's text. There are unresolved aspects regarding the exact substitutions and equivalences that may depend on further definitions or assumptions about the function f.

Math Amateur
Gold Member
MHB
Messages
3,920
Reaction score
48
I am reading D. J. H. Garling's book: "A Course in Mathematical Analysis: Volume 1: Foundations and Elementary Real Analysis" ... ...

I am at present focused on Part 1: Prologue: The Foundations of Analysis ... Chapter 1: The Axioms of Set Theory ...

I need help with an aspect of the proof of Proposition 1.7.5 ...

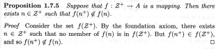
Proposition 1.7.5 reads as follows:
?temp_hash=b76931c3b3d3d72ef267167009d99a51.png
In the above proof we read the following:

"By the foundation axiom, there exists ##n \in \mathbb{Z}^+## such that no member of ##f(n)## is in ##f( \mathbb{Z}^+ )##. ... ... "

Can someone please explain how/why the foundation axiom implies that there exists ##n \in \mathbb{Z}^+## such that no member of ##f(n)## is in ##f( \mathbb{Z}^+ )##. ... ... ?

PeterNOTE:

To enable readers to follow the above post I am providing Garling's text on the foundation axiom and the axiom of infinity ... ...
?temp_hash=b76931c3b3d3d72ef267167009d99a51.png

?temp_hash=b76931c3b3d3d72ef267167009d99a51.png
 

Attachments

  • Garling - Proposition 1.7.5 ... ....png
    Garling - Proposition 1.7.5 ... ....png
    6.3 KB · Views: 579
  • Garling - 1 - Foundation Axiom ... Axiom of Infinity - PART 1 ... ....png
    Garling - 1 - Foundation Axiom ... Axiom of Infinity - PART 1 ... ....png
    25 KB · Views: 653
  • Garling - 2 - Foundation Axiom ... Axiom of Infinity - PART 2 ... ....png
    Garling - 2 - Foundation Axiom ... Axiom of Infinity - PART 2 ... ....png
    22.4 KB · Views: 641
Physics news on Phys.org
The claim can be re-stated as:

There exists an element ##n## of ##\mathcal Z^+## such that ##f(n)\cap f(\mathcal Z^+)=\emptyset\quad\quad\quad\quad\quad## (1)

Line up statement (1) next to the statement of the foundation axiom and see if you can find some substitutions to make to the foundation axiom to get (1). The substitution is not one-for-one exact, but the variation from exact substitution should not be too hard to negotiate.
 
  • Like
Likes   Reactions: Math Amateur
Hi Andrew ... sorry to be slow in replying ... had to travel interstate ...

Sorry to be slow Andrew ... but can you explain how ...

the statement that there exists an ##n \in \mathbb{Z}^+## such that ##f(n+) \notin f(n)## ...

is equivalent to ...

the statement that there exists an element ##n \in \mathbb{Z}^+## such that ##f(n) \cap f( \mathbb{Z}^+ ) = \emptyset## ...

Peter
 
The statement in the text we are trying to match is:
Math Amateur said:
there exists ##n \in \mathcal{Z}^+## such that no member of ##f(n)## is in ##f( \mathcal{Z}^+ )##. ...
That is equivalent to
there exists ##n \in \mathcal{Z}^+## such that ##f(n)\cap f( \mathcal{Z}^+ )=\emptyset##. ...

The foundation axiom is
if ##A## is non-empty then there exists ##a \in A## such that ##a\cap A=\emptyset##. ...

Now substitute ## f( \mathcal{Z}^+ )## for ##A## and ##f(n)## for ##a## in that last one, to get
if ##f( \mathcal{Z}^+ )## is non-empty then there exists ##f(n) \in f( \mathcal{Z}^+ )## such that ##f(n)\cap f( \mathcal{Z}^+ )=\emptyset##. ...
and note that ##\mathcal{Z}^+## is non-empty by definition, hence so is ##f(\mathcal Z^+)##, and that if
  • there exists ##f(n)\in f( \mathcal{Z}^+ )## such that ##f(n)\cap f( \mathcal{Z}^+ )=\emptyset##; then
  • there exists ##n\in \mathcal Z^+## such that ##f(n)\cap f( \mathcal{Z}^+ )=\emptyset##
since "##\exists n\in\mathcal Z^+##" is logically equivalent to "##\exists f(n)\in f(\mathcal Z^+)##", given that the domain of ##f## contains ##\mathcal Z^+##.

Note also that the Z is ##\mathcal Z##, which is not the integers ##\mathbb Z## (although he may end up identifying it with the positive integers later on). The TeX code around the Z is \mathcal rather than \mathbb.
 
  • Like
Likes   Reactions: Math Amateur
Thanks so much for the help, Andrew ... clear now ...

Peter
 

Similar threads

  • · Replies 9 ·
Replies
9
Views
3K
  • · Replies 2 ·
Replies
2
Views
2K
  • · Replies 2 ·
Replies
2
Views
3K
Replies
4
Views
3K
  • · Replies 3 ·
Replies
3
Views
3K
Replies
1
Views
2K
  • · Replies 1 ·
Replies
1
Views
2K
  • · Replies 2 ·
Replies
2
Views
2K
  • · Replies 1 ·
Replies
1
Views
2K
Replies
2
Views
2K