Mike_bb's latest activity
-
MHello! In one book I saw that function ##V## of 3 variables ##V_x, V_y, V_z## (vector field in 3D) can be decomposed in a Taylor series...
-
MMike_bb reacted to Ibix's post in the thread Undergrad Problem with calculating projections of curl using rotation of contour with
Like.
It's a little hard to say what went wrong because you haven't given any detail of what you actually did. The first bit I understand... -
MMike_bb reacted to Ibix's post in the thread Undergrad Problem with calculating projections of curl using rotation of contour with
Like.
In which case only partial derivatives of ##A_x## can multiply ##\vec{\hat{x}}'##. That doesn't seem plausible, particularly if you... -
MMike_bb replied to the thread Undergrad Problem with calculating projections of curl using rotation of contour.It's interpreted as ##(\partial v_x/\partial y)\vec{\hat{x'}}##
-
MMike_bb replied to the thread Undergrad Problem with calculating projections of curl using rotation of contour.I computed projections of curl in new coordinate system (yz-plane is rotated by an angle 45 degrees about x-axis) using this formula...
-
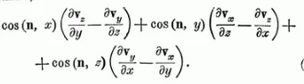
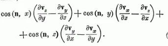
MMike_bb replied to the thread Undergrad Problem with calculating projections of curl using rotation of contour.Projections of curl can be calculated using this formula: I substituted values of curl projections (post #1) in this formula and...
-
MMike_bb replied to the thread Undergrad Problem with calculating projections of curl using rotation of contour.No. It's not my problem. I just want to calculate projection of curl on x',y',z' directions using contour rotation in coordinate system.
-
MMike_bb posted the thread Undergrad Problem with calculating projections of curl using rotation of contour in Calculus.Hello! I tried to calculate projections of curl using rotation of coordinate system but I encountered with following problem. Given...
-
MMike_bb replied to the thread Undergrad Derivation of equations of stress tensor transformation.Solved:
-
MMike_bb replied to the thread Undergrad Derivation of equations of stress tensor transformation.What does expression exist for this case? If we know only Sigma1 tensor then how to find Sigma2 tensor?
-
MMike_bb posted the thread Undergrad Derivation of equations of stress tensor transformation in Linear and Abstract Algebra.Hello ! I derived equations of stress tensor 2D transformation. Some details: I have plane ABCD in two cases (see top on the pic) and I...






