Problem with calculating projections of curl using rotation of contour

  • Context: Undergrad 
  • Thread starter Thread starter Mike_bb
  • Start date Start date
Click For Summary

Discussion Overview

The discussion revolves around the calculation of projections of curl using the rotation of a coordinate system, specifically focusing on the implications of transforming the coordinate system and the associated mathematical operations. Participants explore the theoretical and practical aspects of curl in different coordinate systems, including potential errors in calculations and interpretations of results.

Discussion Character

  • Technical explanation
  • Debate/contested
  • Mathematical reasoning

Main Points Raised

  • One participant describes their attempt to calculate projections of curl after rotating the coordinate system and presents specific equations for curl components.
  • Another participant suggests that a Jacobian factor is necessary when switching between coordinate systems, highlighting the importance of differential volume elements.
  • There is a discussion about the need to differentiate basis vectors when rotating surface elements, with a focus on the chain rule for transformations.
  • Concerns are raised about the clarity and completeness of the calculations presented, particularly regarding the notation used for partial derivatives in the transformed coordinate system.
  • Participants question the interpretation of certain expressions, such as the meaning of the cosine of the angle between vectors in different coordinate systems.

Areas of Agreement / Disagreement

Participants express differing views on the correctness of the calculations and the necessity of transformations. There is no consensus on the specific errors made or the proper approach to resolve the issues presented.

Contextual Notes

Limitations include potential misunderstandings regarding the transformation of coordinate systems, the application of the chain rule, and the interpretation of vector expressions versus scalar quantities. Some mathematical steps remain unresolved, particularly in the context of applying curl in the new coordinate system.

Mike_bb
Messages
212
Reaction score
20
Hello!

I tried to calculate projections of curl using rotation of coordinate system but I encountered with following problem.

Given:

##rot_xA=\frac{\partial A_z}{\partial y}-\frac{\partial A_y}{\partial z}=0##

##rot_yA=\frac{\partial A_x}{\partial z}-\frac{\partial A_z}{\partial x}=1##

##rot_zA=\frac{\partial A_y}{\partial x}-\frac{\partial A_x}{\partial y}=0##

223.webp


I rotated ##yz##-plane of this coordinate system by an angle ##45## degrees about ##x##-axis and used rotation matrix to calculate projections on ##x'##,##y'##,##z'## directions:

##
\begin{bmatrix}
x' \\
y' \\
z' \\
\end{bmatrix}
=
\begin{bmatrix}
1 & 0 & 0 \\
0 & cos(45) & -sin(45) \\
0 & sin(45) & cos(45) \\
\end{bmatrix}
\begin{bmatrix}
0 \\
1 \\
0 \\
\end{bmatrix}
##

##
\begin{bmatrix}
x' \\
y' \\
z' \\
\end{bmatrix}
=
\begin{bmatrix}
0 \\
\sqrt(2)/2 \\
\sqrt(2)/2 \\
\end{bmatrix}
##

On the other hand I tried to follow another way:
I rotated ##yz##-plane of this coordinate system and contour ##\Delta L## by an angle 45 degrees about ##x##-axis and applied equality for projections of curl on ##x'##,##y'##,##z'## directions:

##x'=rot_{x'}A=\frac{\partial A_z}{\partial y}-\frac{\partial A_y}{\partial z}=0##

##y'=rot_{y'}A=\frac{\partial A_x}{\partial z}-\frac{\partial A_z}{\partial x}=\sqrt(2)/2##

##z'=rot_{z'}A=\frac{\partial A_y}{\partial x}-\frac{\partial A_x}{\partial y}=0##

Wrong result is obtained at this step because we should obtain also ##z'=\sqrt(2)/2##.

Could anyone explain where did I go wrong?

Thanks!
 
Physics news on Phys.org
I'm not sure where you went wrong in your case but if you were computing the curl in xyx coordinates and then switched to spherical coordinates then you need a jacobian factor to adjust computations.

It took me quite a while to overcome the notion that the differential volume element in xyz space was

##dV = dxdydz##

vs the spherical differential volume

##dV = \rho^2 \sin\phi \, d\rho \, d\phi \, d\theta##

I always thought they had the same volume and never appreciated the importance of the Jacobian.

https://en.wikipedia.org/wiki/Jacobian_matrix_and_determinant

In your case, you rotated the surface element but not the basis vectors.

Basically, you’re mixing coordinate systems.

You need to compute dy’ and dz’ using the chain rule, right? Since the dx is essentially the same as dx’ in both coordinate systems through rotational symmetry.
 
Last edited:
jedishrfu said:
I'm not sure where you went wrong in your case but if you were computing the curl in xyx coordinates and then switched to spherical coordinates then you need a jacobian factor to adjust computations.

It took me quite a while to overcome the notion that the differential volume element in xyz space was

##dV = dxdydz##

vs the spherical differential volume

##dV = \rho^2 \sin\phi \, d\rho \, d\phi \, d\theta##

I always thought they had the same volume and never appreciated the importance of the Jacobian.

https://en.wikipedia.org/wiki/Jacobian_matrix_and_determinant

In your case, you rotated the surface element but not the basis vectors.

Basically, you’re mixing coordinate systems.

You need to compute dy’ and dz’ using the chain rule, right? Since the dx is essentially the same as dx’ in both coordinate systems through rotational symmetry.
No. It's not my problem. I just want to calculate projection of curl on x',y',z' directions using contour rotation in coordinate system.
 
But read up on it: you have to provide a transformation because y’ is composed of an x and a y component, and you need to take that and differentiate via the chain rule.
 
Last edited:
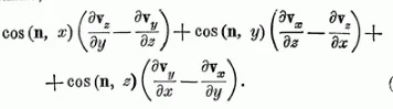
Projections of curl can be calculated using this formula:

121212.webp


I substituted values of curl projections (post #1) in this formula and obtained wrong result (for x', y', z'). I don't understand why.

Could anyone know what's wrong?
 
It's a little hard to say what went wrong because you haven't given any detail of what you actually did.

The first bit I understand. You have a vector field ##\vec{A}## and you computed the components of ##\vec{\nabla}\times\vec{A}## in your ##x,y,z## coordinate system, then applied a rotation matrix to get its components in your ##x',y',z'## system.

The second bit I am not sure what you did. I think you attempted to compute the curl directly in the primed coordinate system. Of course this should work, but I can't guess where it went wrong. I would note that this isn't right (or at least is missing a lot of steps to show that it's right):
Mike_bb said:
##x'=rot_{x'}A=\frac{\partial A_z}{\partial y}-\frac{\partial A_y}{\partial z}=0##

##y'=rot_{y'}A=\frac{\partial A_x}{\partial z}-\frac{\partial A_z}{\partial x}=\sqrt(2)/2##

##z'=rot_{z'}A=\frac{\partial A_y}{\partial x}-\frac{\partial A_x}{\partial y}=0##
All the ##x,y,z## should have primes. Presumably you have a chain of reasoning that will let you write those partial differentials in terms of the partial differentials with respect to the unprimed coordinates - presumably somewhere in that you have made a mistake.

With respect to your last post, what coordinate system is the formula in the screenshot specified in? And what is the meaning of ##\cos(\mathbf{n},x)##?
 
Last edited:
  • Like
Likes   Reactions: Mike_bb
Ibix said:
The second bit I am not sure what you did. I think you attempted to compute the curl directly in the primed coordinate system.
I computed projections of curl in new coordinate system (yz-plane is rotated by an angle 45 degrees about x-axis) using this formula:

121212-webp.webp


Ibix said:
With respect to your last post, what coordinate system is the formula in the screenshot specified in? And what is the meaning of ##\cos(\mathbf{n},x)##?
##cos(n, x)## is cosin of angle between normal vector in new coordinate system(yz-plane is rotated by an angle 45 degrees about x-axis) and x-axis in old coordinate system.

Normal vector n is perpendicular to contour ##\Delta L## in new coordinate system (see my post#1).
 
Mike_bb said:
##cos(n, x)## is cosin of angle between normal vector in new coordinate system(yz-plane is rotated by an angle 45 degrees about x-axis) and x-axis in old coordinate system.
The problem, then, is that this does not appear to be a vector expression. It produces a single number. Unless perhaps ##\partial\mathbf{v}_x/\partial y## is supposed to be interpreted as ##(\partial v_x/\partial y)\vec{\hat{x}}##?
 
Ibix said:
Unless perhaps ##\partial\mathbf{v}_x/\partial y## is supposed to be interpreted as ##(\partial v_x/\partial y)\vec{\hat{x}}##?
It's interpreted as ##(\partial v_x/\partial y)\vec{\hat{x'}}##
 
  • #10
Mike_bb said:
It's interpreted as ##(\partial v_x/\partial y)\vec{\hat{x'}}##
In which case only partial derivatives of ##A_x## can multiply ##\vec{\hat{x}}'##. That doesn't seem plausible, particularly if you consider that the trivial case (##\vec{\hat{x}}=\vec{\hat{x}}'## etc) would not be an identity.

I think you are misunderstanding something in your text.
 
  • Like
Likes   Reactions: Mike_bb

Similar threads

  • · Replies 3 ·
Replies
3
Views
3K
  • · Replies 6 ·
Replies
6
Views
2K
  • · Replies 1 ·
Replies
1
Views
3K
  • · Replies 3 ·
Replies
3
Views
3K
  • · Replies 3 ·
Replies
3
Views
4K
  • · Replies 1 ·
Replies
1
Views
3K
  • · Replies 3 ·
Replies
3
Views
934
  • · Replies 9 ·
Replies
9
Views
2K
  • · Replies 3 ·
Replies
3
Views
1K
  • · Replies 3 ·
Replies
3
Views
1K