Absolute Value Definition....1

Click For Summary
SUMMARY

The discussion focuses on the algebraic definition of absolute value and its application in rewriting expressions without absolute value. Participants emphasize the importance of understanding the definition to manipulate expressions effectively. The conversation highlights specific examples and methods for transforming absolute value expressions into equivalent forms. The consensus is that mastering this concept is essential for advanced algebraic problem-solving.

PREREQUISITES
  • Understanding of algebraic expressions
  • Familiarity with the definition of absolute value
  • Basic skills in manipulating mathematical equations
  • Knowledge of inequalities and their properties
NEXT STEPS
  • Study the algebraic properties of absolute value
  • Practice rewriting complex expressions using absolute value definitions
  • Explore the implications of absolute value in inequalities
  • Learn about piecewise functions and their relation to absolute value
USEFUL FOR

Students, educators, and anyone seeking to deepen their understanding of algebraic concepts, particularly in relation to absolute value and its applications in mathematical expressions.

mathdad
Messages
1,280
Reaction score
0
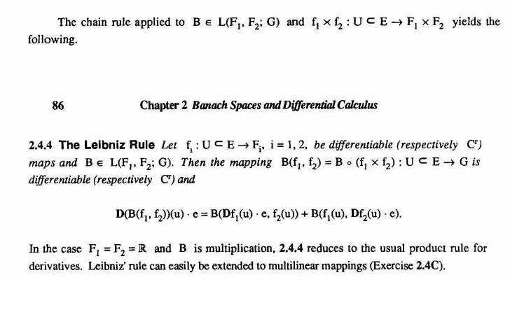
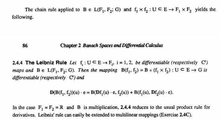
Use the algebraic definition of absolute value to rewrite the expression below in a form that does not contain absolute value.

View attachment 7487
 

Attachments

  • MathMagic171108_1.png
    MathMagic171108_1.png
    6.5 KB · Views: 154
Last edited by a moderator:
Mathematics news on Phys.org
RTCNTC said:
Use the algebraic definition of absolute value to rewrite the expression below in a form that does not contain absolute value.

See attachment.
Yes:)
 

Similar threads

  • · Replies 1 ·
Replies
1
Views
2K
  • · Replies 1 ·
Replies
1
Views
1K
Replies
1
Views
1K
Replies
1
Views
1K
  • · Replies 1 ·
Replies
1
Views
1K
  • · Replies 1 ·
Replies
1
Views
1K
  • · Replies 2 ·
Replies
2
Views
2K
  • · Replies 4 ·
Replies
4
Views
2K
  • · Replies 12 ·
Replies
12
Views
2K
  • · Replies 6 ·
Replies
6
Views
2K