Absolute Value Definition....3

Click For Summary
SUMMARY

The discussion centers on the algebraic definition of absolute value and its application in rewriting expressions without absolute value notation. Participants confirm the correctness of the approach taken to transform the expression. The focus is on ensuring clarity and accuracy in mathematical representation, emphasizing the importance of understanding absolute value in algebraic contexts.

PREREQUISITES
  • Understanding of algebraic expressions
  • Familiarity with absolute value concepts
  • Basic skills in rewriting mathematical expressions
  • Knowledge of algebraic definitions and properties
NEXT STEPS
  • Study the properties of absolute value in algebra
  • Practice rewriting various expressions without absolute value
  • Explore advanced algebraic techniques for expression manipulation
  • Review examples of absolute value in real-world applications
USEFUL FOR

Students, educators, and anyone seeking to deepen their understanding of algebraic expressions and the properties of absolute value.

mathdad
Messages
1,280
Reaction score
0
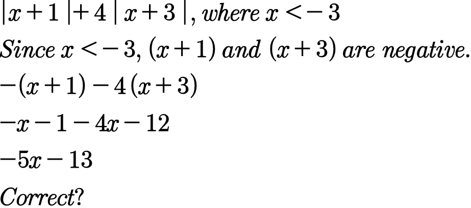
Use the algebraic definition of absolute value to rewrite the expression below in a form that does not contain absolute value.

View attachment 7489
 

Attachments

  • MathMagic171108_3.png
    MathMagic171108_3.png
    10.8 KB · Views: 135
Last edited by a moderator:
Mathematics news on Phys.org
RTCNTC said:
Use the algebraic definition of absolute value to rewrite the expression below in a form that does not contain absolute value.

See attachment.
That is correct.
 

Similar threads

  • · Replies 1 ·
Replies
1
Views
1K
  • · Replies 1 ·
Replies
1
Views
2K
Replies
1
Views
1K
  • · Replies 1 ·
Replies
1
Views
1K
Replies
1
Views
1K
  • · Replies 1 ·
Replies
1
Views
1K
  • · Replies 2 ·
Replies
2
Views
2K
  • · Replies 12 ·
Replies
12
Views
2K
  • · Replies 4 ·
Replies
4
Views
2K
  • · Replies 6 ·
Replies
6
Views
2K