Algebra: How do I derive this equation given two other equations?

Click For Summary
SUMMARY

The discussion focuses on deriving equation (5) from two other equations, specifically addressing the relationship between the variable mu and its partial derivative with respect to r. The user initially misinterpreted the equation, assuming it involved the square of the partial derivative, when it actually required the derivative of mu squared. The clarification led to a resolution of the confusion, confirming that mu must equal one-half of its partial derivative with respect to r for the equations to align correctly.

PREREQUISITES
  • Understanding of calculus, specifically partial derivatives.
  • Familiarity with algebraic manipulation of equations.
  • Knowledge of the context of the equations from the referenced paper.
  • Ability to interpret mathematical notation and symbols accurately.
NEXT STEPS
  • Review the paper linked in the discussion for deeper insights into the equations.
  • Study the concept of partial derivatives in the context of multivariable calculus.
  • Practice deriving equations from given mathematical relationships.
  • Explore the implications of variable relationships in physical equations.
USEFUL FOR

Students and professionals in mathematics, physics, or engineering who are working on deriving equations and understanding the relationships between variables in complex systems.

dsilvas
Messages
7
Reaction score
4
Homework Statement
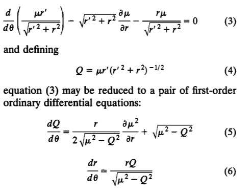
Derive eq.(5) and eq.(6) from eq.(3) and (4)
Relevant Equations
Unsure how to type the equations correctly in this text box (no formating options). They are below.
hw9.JPG

This image shows the equations.
I managed to almost get equation 5, but my partial derivative is not squared but instead multiplied by mu, and also I don't have a factor of 1/2.
Here is an image of the work I have. I'm sorry for any sloppiness. I tried to be as concise as possible when writing it down but it should be pretty straightforward. Essentially the only way my final equation could be equal to eq.(5) is if mu is equal 1/2 of its partial derivative with respect to r.
hw9_mywork.jpg

If it helps, here is the link to the paper that these equations are coming from. It is page 2.
https://agupubs.onlinelibrary.wiley.com/doi/epdf/10.1029/98RS01523
I didn't write it out explicitly, so to elaborate, r prime in my work is equal to the full derivative of r with respect to theta. I was able to derive eq. (6) from eq. (4) and that has helped me get closer to deriving eq. (5) but I'm not quite there and I'm stuck.
 

Attachments

  • hw9.JPG
    hw9.JPG
    17.7 KB · Views: 355
  • hw9_mywork.jpg
    hw9_mywork.jpg
    60.9 KB · Views: 321
Last edited:
Physics news on Phys.org
Hi.
In the last line in your notebook substitute
[tex]\mu \frac{d\mu}{dr}=\frac{1}{2}\frac{d\mu^2}{d\mu}\frac{d\mu}{dr}=\frac{1}{2}\frac{d\mu^2}{dr}[/tex]
 
  • Like
Likes   Reactions: berkeman and dsilvas
mitochan said:
Hi.
In the last line in your notebook substitute
[tex]\mu \frac{d\mu}{dr}=\frac{1}{2}\frac{d\mu}{dr}[/tex]

Oh gosh. I think I realize my mistake now, thank you.
I assumed in eq 5 that it was [tex]{(\frac{d\mu}{dr})}^2[/tex] when in reality it was [tex]\frac{d(\mu^2)}{dr}[/tex]
I just can't read. Thank you. I didn't realize it was that simple.

I guess this question can be closed now!
 
  • Like
Likes   Reactions: berkeman

Similar threads

Replies
8
Views
2K
  • · Replies 2 ·
Replies
2
Views
2K
  • · Replies 5 ·
Replies
5
Views
2K
  • · Replies 4 ·
Replies
4
Views
1K
  • · Replies 15 ·
Replies
15
Views
7K
  • · Replies 1 ·
Replies
1
Views
3K
  • · Replies 53 ·
2
Replies
53
Views
4K
Replies
1
Views
3K
  • · Replies 16 ·
Replies
16
Views
2K