Are modified gravity models viable

Click For Summary

Discussion Overview

The discussion centers on the viability of modified gravity models as alternatives to the standard model of cosmology, particularly in relation to dark matter and dark energy. Participants explore various theoretical frameworks, implications of modifications to gravity, and the challenges of reconciling these theories with existing observational data.

Discussion Character

  • Debate/contested
  • Exploratory
  • Technical explanation

Main Points Raised

  • Some participants note that literature suggests modified gravity theories could eliminate the need for dark matter and dark energy, citing the latest MOG model.
  • Others express skepticism about how modifications to gravity could explain gravitational anomalies observed in regions devoid of matter.
  • A participant shares a personal opinion that the chances of a modified gravity theory replacing the standard model are slim but not impossible, suggesting it may take decades for significant changes to occur.
  • Concerns are raised that proposed models, such as MOG, may not improve upon the standard model since they introduce unobservable entities, similar to dark matter and dark energy.
  • Some argue that the difficulty in formulating a modified gravity theory that aligns with existing observations presents a significant barrier to acceptance.
  • Participants discuss the historical context of scientific paradigm shifts and the challenges faced by new theories in gaining acceptance.
  • One participant mentions attempts to find invariants that hold under Einstein gravity but may not under modified gravity, noting that such measurements have not yielded significant results.
  • Another participant highlights that while Moffat's MOG claims to address certain anomalies, it remains uncertain whether these claims hold up against systematic errors in data interpretation.
  • There is a suggestion that any modification to GR will also impact the interpretation of the standard \LambdaCDM model, indicating the need for ongoing exploration of alternative theories.
  • Some participants caution that a correct quantum theory of gravity might not necessarily lead to observable deviations from current models.

Areas of Agreement / Disagreement

Participants express a range of opinions, with no clear consensus on the viability of modified gravity theories. Some are optimistic about their potential, while others remain skeptical about their ability to replace the standard model.

Contextual Notes

Participants acknowledge the complexity of demonstrating that modified gravity theories can conform to existing observations, highlighting the challenges posed by the vast body of cosmological evidence that must be explained.

wolram
Gold Member
Dearly Missed
Messages
4,411
Reaction score
551
Different things keep popping up in the literature that pose Dark matter and Dark energy are not needed to explain the universe, the latest MOG i have come across is this:
http://arxiv.org/pdf/1510.07037.pdf

What are the chances that a modified gravity theory will replace the standard model?
 
Space news on Phys.org
I don't understand how modifying gravity can in any way explain gravitational anomalies where there is no matter. We've mapped the "density" of dark matter in the universe and it doesn't line up with where the matter is, how could any modification produce this kind of effect?
 
wolram said:
What are the chances that a modified gravity theory will replace the standard model?
Hi wolram:

In my not very humble opinion, the chances are slim, but greater than nil. (I have reached an age when I no longer feel humble about many of my opinions.) However, I would guess it will take at least 30 years (a generation) to happen. Any change of that magnitude to the body of accepted science usually requires the replacement of the current scientific experts in the relevant field with a new generation. Some good examples of this are:
(1) the replacement of classical physics with SR, GR, and QM.
(2) the acceptance of plate tectonics.​

Regards,
Buzz
 
wolram said:
What are the chances that a modified gravity theory will replace the standard model?

I think this is a matter of personal opinion, so I don't know how much productive discussion we'll be able to have about it.
 
wolram said:
the latest MOG i have come across is this:

As far as I can tell, this model just proposes to replace dark matter and dark energy with a scalar field and a vector particle, which are conveniently unobservable at the present time. So I don't really see how it's an improvement on the standard model, since the main complaint about the standard model appears to be that it has to introduce new entities that we have not directly observed.

As far as observational data is concerned, we are dealing with observations at the boundaries of our ability to detect things at all, so it's not surprising that different pieces of data are currently appearing to point in different directions. The remedy for that is more and better data, meaning more sensitive and accurate detectors.
 
  • Like
Likes   Reactions: Buzz Bloom
wolram said:
Different things keep popping up in the literature that pose Dark matter and Dark energy are not needed to explain the universe, the latest MOG i have come across is this:
http://arxiv.org/pdf/1510.07037.pdf
In the abstract they claim a deviation at the 95% confidence level. That size of deviation is meaningless. It happens all the time, and almost never turns out to be something real.

wolram said:
What are the chances that a modified gravity theory will replace the standard model?
Certainly not any time soon. The first problem is that it's really really hard to come up with an alternative theory and at the same time demonstrate that this theory conforms to existing observations. Einstein and the others developing General Relativity had a relatively easy time because it was easy to show that General Relativity reduced to Newtonian gravity in the appropriate limit, and that existing observations mostly just probed the Newtonian limit. If I recall, there was at the time only one observation which didn't follow: the precession of the perihelion of Mercury. So Einstein and others really didn't have to do a whole lot to demonstrate that GR fit with current experiment.

But when proposing a new theory which explains cosmological observations without dark matter or dark energy, there's a huge body of evidence that has to be explained just in cosmology, and those modifications very frequently also have an impact on other existing observations (e.g. adding a scalar component to gravity modifies how gravity bends light, which can run afoul of observations of gravitational lensing around the Sun and Jupiter). Because of this, it's just really, really difficult to dot all the i's and cross all the t's to make sure that any modified gravity theory even works given current experiment. This practical issue alone means that it's going to take decades for any modified gravity theory to be demonstrated.

The other issue is that just as a matter of experience, these kinds of models tend to not do a good job of explaining the data. The [itex]\Lambda[/itex]CDM model has come out on top again and again in observation after observation. The few places where the model seems to be having some difficulties are also those places where systematic errors are the most difficult to eliminate. Where the systematic errors are easiest to control for, the [itex]\Lambda[/itex]CDM model does best. This seems to suggest that this model is the right one, and any more accurate model is likely to reduce to [itex]\Lambda[/itex]CDM in the appropriate limit. For example, we might have dark matter that doesn't have a temperature that is identically zero, or we might have dark energy that "freezes out" at late times, becoming essentially a cosmological constant.

We really can't be certain, of course. There's always the possibility that there's a completely different view of fundamental physics which is correct, and aspects of our current model are just illusions. But the more different lines of evidence we obtain, that possibility becomes more and more remote.
 
  • Like
Likes   Reactions: Torbjorn_L and Imager
One different way that some teams have used to try to ask the question of whether we have modified gravity is to come up with an invariant which holds under Einstein gravity, but may not hold under modified gravity. Observations are then checked to see if this invariant holds. Here's one attempt at doing something along these lines:
http://arxiv.org/abs/astro-ph/0608681

As far as I can tell, such measurements that don't assume a particular model of modified gravity have come up empty to date.
 
Thanks for the reply's, it is just as i thought, Modified gravity theories just do not wash, it seems we are stuck with dark matter and dark energy, for this century any way. :biggrin:
 
Not quite so fast...

Moffat advocates a particular modification of GR called the Modified Gravity Theory (MOG), which may or may not fit the "huge body of observations" that, as Chalnoth explained, has to be explained in cosmology, as well as local solar system observations, particle physics and laboratory physics such as the Eötvös experiments and the like. Moffat also claims MOG explains certain anomalies that appear to exist in the standard model such as "deviations from the growth of structure predicted by GR and a lensing anomaly in the angular CMB power spectrum data." Whether these are actually significant or not time will tell.

However, even if Moffat's MOG does not "do a good job of explaining the data" and these anomalies can be explained by eliminating systematic errors, we know that the standard model is still not complete as it depends on GR.

GR is the best gravitational theory we have, however we do know that it has to be modified into a quantum gravity theory at some stage and the fact that this has proved so difficult may indicate that such a development may have to be a significant modification that may also, hopefully, identify DM and DE as verifiable entities.

Any such modification of GR will also undoubtedly modify the standard [itex]\Lambda[/itex]CDM model's interpretation of the data, so we should be on the look out for other modifications of GR/[itex]\Lambda[/itex]CDM even if MOG is eventually shown not to fit the bill.

So we wait and see...

Garth
 
Last edited:
  • #10
Garth said:
Any such modification of GR will also undoubtedly modify the standard [itex]\Lambda[/itex]CDM model's interpretation of the data, so we should be on the look out for other modifications of GR/[itex]\Lambda[/itex]CDM even if MOG is eventually shown not to fit the bill.
Not necessarily. It's perfectly plausible for the correct quantum theory of gravity to not produce any deviations from current observations, considering that the Planck scale (where quantum corrections must have an impact) is so far above the energy scales of interest for all current observations.
 
  • #11
Chalnoth said:
Not necessarily. It's perfectly plausible for the correct quantum theory of gravity to not produce any deviations from current observations, considering that the Planck scale (where quantum corrections must have an impact) is so far above the energy scales of interest for all current observations.
Notice I said "interpretation of the data"; most of the observations are robust, but I would question SNe 1a as the three (or more) species with different Absolute Magnitudes don't appear to be accounted for, and the BAO plot of H(z) v z at low z (recent universe) because BAOs may not be standard rulers there. Is the baryon acoustic oscillation peak a cosmological standard ruler?
Recent gravitational collapse should modify the metric, rendering the effective scale factor, and thus the BAO standard ruler, spatially inhomogeneous.
As I said, "we should be on the look out for other modifications of GR/ΛCDM".

Garth
 
Last edited:
  • #12
Thanks for the heads up Garth, it is another avenue to wander, BAOs, i have often wondered how they can be SRulers at great distances.
 
Last edited:
  • #13
wolram said:
Thanks for the heads up Garth, it is another avenue to wander, BACs, i have often wondered how they can be SRs at great didtances.
It actually works the other way round, the problem is with near, not great, distances

The BAO peak is imprinted in the CMB as the angular size of the first peak of the power spectrum and provides a scale length or standard ruler.

After the CMB emitting epoch the fluctuations evolve over time as regular, periodic fluctuations in the density of the visible baryonic matter of the universe.

We can observe this standard ruler today by measuring large scale structure and noticing that you’re slightly more likely to have galaxies separated by a certain distance (around 500 million light years). The way the angular size of this standard ruler evolves at different red shifts measures how the Universe has expanded, R(t), over time.

So the BAO peak does make a good standard ruler in the early universe but the question remains, "Does it retain its scale length later on in the recent universe?"

According to the Roukema, Buchert, Fujii, & Ostrowski's paper: Is the baryon acoustic oscillation peak a cosmological standard ruler? that I referred to above, it is claimed that they do not because recent gravitational collapse has rendered the BAO ruler non standard.

This might explain the difference in the H(z) v z plot between the agreement with the data of the ΛCDM model at low z and the agreement of the linearly expanding model at high z as shown here: Utility of observational Hubble parameter data on DE - it is the low z interpretation that is erroreous.

Garth
 
Last edited:
  • #14
Garth said:
Not quite so fast...

Moffat advocates a particular modification of GR called the Modified Gravity Theory (MOG), which may or may not fit the "huge body of observations" that, as Chalnoth explained, has to be explained in cosmology, as well as local solar system observations, particle physics and laboratory physics such as the Eötvös experiments and the like. Moffat also claims MOG explains certain anomalies that appear to exist in the standard model such as "deviations from the growth of structure predicted by GR and a lensing anomaly in the angular CMB power spectrum data." Whether these are actually significant or not time will tell.

However, even if Moffat's MOG does not "do a good job of explaining the data" and these anomalies can be explained by eliminating systematic errors, we know that the standard model is still not complete as it depends on GR.

GR is the best gravitational theory we have, however we do know that it has to be modified into a quantum gravity theory at some stage and the fact that this has proved so difficult may indicate that such a development may have to be a significant modification that may also, hopefully, identify DM and DE as verifiable entities.

Any such modification of GR will also undoubtedly modify the standard [itex]\Lambda[/itex]CDM model's interpretation of the data, so we should be on the look out for other modifications of GR/[itex]\Lambda[/itex]CDM even if MOG is eventually shown not to fit the bill.

So we wait and see...

Garth
In the absence of evidence I am waiting for QM to be modified to accommodate GR; i.e. at a basic level the space is continuous and real. Of course this is a prejudice and likely wrong.
 
  • #15
Chalnoth said:
The few places where the model seems to be having some difficulties are also those places where systematic errors are the most difficult to eliminate.

I'm no expert obviously, but I have noted that LambdaCDM now wins out on all structure scales.

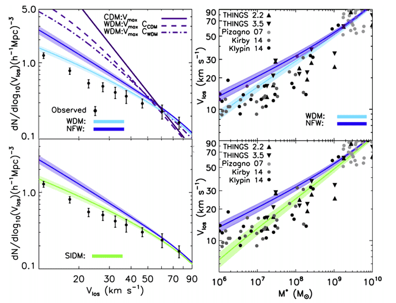
"Figure 2 (right panel) shows how well the DC14 and NFW profiles fare in reproducing the observed Tully-Fisher relation. In the lower Mstar mass ranges, the NFW profile predicts these galaxies to have larger Vlos than observed, while the DC14 density profile adheres closely to the observed Vlos over the whole stellar mass range."

fig3.png


Fig 2 – The left panel shows the velocity function, which is the number distribution of galaxies as a function of line of sight rotational velocity, Vlos. Ignoring the dark purple line which indicates maximum circular velocity for Cold Dark Matter (CDM), the DC14 model in red is contested against the NFW profile in light purple. The right figure relates Vlos with galaxy stellar mass M*, ie the Tully-Fisher relation. The data points are observational results. In both plots, the DC14 model closely tracks observations while the NFW profile deviates far from observations. Figure 2 from paper."

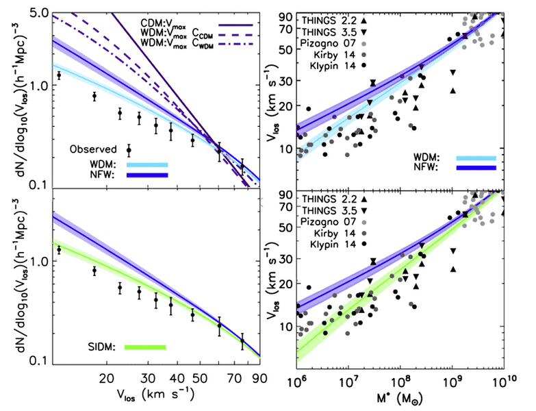
"Figure 3, our last figure of the day, shows exactly this. Despite doing better than the NFW profile, both WDM and SIDM are not able to fit the velocity function and Tully-Fisher relation as well as we expect.

fig4.png


Fig 3 – These are the same plots as Figure 3 with the left figures showing the velocity functions and the right figures showing the Tully-Fisher relations, but comparing warm dark matter (WDM) in blue and self-interacting dark matter (SIDM) in green against the NFW profile in purple. Figure 4 in paper."

[ http://astrobites.org/2015/06/12/the-labor-of-outflows-against-dark-matter-halo/ ]

Assuming WDM and SIDM did roughly as well as other alternative theories that didn't have the initial CDM cusp problem, those are now worse in reproducing observations for spiral galaxies.
rrogers said:
In the absence of evidence I am waiting for QM to be modified to accommodate GR; i.e. at a basic level the space is continuous and real.

I'm obviously no expert here either, but I have noted that QM doesn't need to be modified to "accommodate GR". Here is what a theoretical physicist has to say on the matter:

"It’s often said that it is difficult to reconcile quantum mechanics (quantum field theory) and general relativity. That is wrong. We have what is, for many purposes, a perfectly good effective field theory description of quantum gravity. It is governed by a Lagrangian

(1)S=∫d4x−g−−−√(M2plR+c1R2+c2R2μν+c3M2plR3+…+Lmatter)

This is a theory with an infinite number of coupling constants (the ci and, all-importantly, the couplings in Lmatter). Nonetheless, at low energies, i.e., for ε ≡ E2M2pl ≪ 1, we have a controllable expansion in powers of ε. To any finite order in that expansion, only a finite number of couplings contribute to the amplitude for some physical process. We have a finite number of experiments to do, to measure the values of those couplings. After that, everything else is a prediction.

In other words, as an effective field theory, gravity is no worse, nor better, than any other of the effective field theories we know and love.

The trouble is that all hell breaks loose for ε ∼ 1."

[ https://golem.ph.utexas.edu/~distler/blog/archives/000639.html ]

If I understand this correctly - and I don't do quantum field theory - it is GR's non-linear nature (seen in black hole systems) that is the problem, not that QM would be inapplicable as is. The latter is a folk physics myth, it seems to me.

Also, I'm not sure what you mean by space being "continuous and real". It is continuous in the sense of a continuous metric, but both GR and QM makes larger systems non-local relative clocks and non-local relative space.

The metric is real valued (I think, but with a complex valued signature, is it not?), compare with how QFT is worse since some stuff naturally comes out complex valued. But if you mean philosophic "real" science won't help - space is part of nature, is all.
 
Last edited:
  • #16
Torbjorn_L said:
I'm no expert obviously, but I have noted that LambdaCDM now wins out on all structure scales.

"Figure 2 (right panel) shows how well the DC14 and NFW profiles fare in reproducing the observed Tully-Fisher relation. In the lower Mstar mass ranges, the NFW profile predicts these galaxies to have larger Vlos than observed, while the DC14 density profile adheres closely to the observed Vlos over the whole stellar mass range."

fig3.png


Fig 2 – The left panel shows the velocity function, which is the number distribution of galaxies as a function of line of sight rotational velocity, Vlos. Ignoring the dark purple line which indicates maximum circular velocity for Cold Dark Matter (CDM), the DC14 model in red is contested against the NFW profile in light purple. The right figure relates Vlos with galaxy stellar mass M*, ie the Tully-Fisher relation. The data points are observational results. In both plots, the DC14 model closely tracks observations while the NFW profile deviates far from observations. Figure 2 from paper."

"Figure 3, our last figure of the day, shows exactly this. Despite doing better than the NFW profile, both WDM and SIDM are not able to fit the velocity function and Tully-Fisher relation as well as we expect.

fig4.png


Fig 3 – These are the same plots as Figure 3 with the left figures showing the velocity functions and the right figures showing the Tully-Fisher relations, but comparing warm dark matter (WDM) in blue and self-interacting dark matter (SIDM) in green against the NFW profile in purple. Figure 4 in paper."

[ http://astrobites.org/2015/06/12/the-labor-of-outflows-against-dark-matter-halo/ ]

Assuming WDM and SIDM did roughly as well as other alternative theories that didn't have the initial CDM cusp problem, those are now worse in reproducing observations for spiral galaxies.I'm obviously no expert here either, but I have noted that QM doesn't need to be modified to "accommodate GR". Here is what a theoretical physicist has to say on the matter:

"It’s often said that it is difficult to reconcile quantum mechanics (quantum field theory) and general relativity. That is wrong. We have what is, for many purposes, a perfectly good effective field theory description of quantum gravity. It is governed by a Lagrangian

(1)S=∫d4x−g−−−√(M2plR+c1R2+c2R2μν+c3M2plR3+…+Lmatter)

This is a theory with an infinite number of coupling constants (the ci and, all-importantly, the couplings in Lmatter). Nonetheless, at low energies, i.e., for ε ≡ E2M2pl ≪ 1, we have a controllable expansion in powers of ε. To any finite order in that expansion, only a finite number of couplings contribute to the amplitude for some physical process. We have a finite number of experiments to do, to measure the values of those couplings. After that, everything else is a prediction.

In other words, as an effective field theory, gravity is no worse, nor better, than any other of the effective field theories we know and love.

The trouble is that all hell breaks loose for ε ∼ 1."

[ https://golem.ph.utexas.edu/~distler/blog/archives/000639.html ]

If I understand this correctly - and I don't do quantum field theory - it is GR's non-linear nature (seen in black hole systems) that is the problem, not that QM would be inapplicable as is. The latter is a folk physics myth, it seems to me.

Also, I'm not sure what you mean by space being "continuous and real". It is continuous in the sense of a continuous metric, but both GR and QM makes larger systems non-local relative clocks and non-local relative space.

The metric is real valued (I think, but with a complex valued signature, is it not?), compare with how QFT is worse since some stuff naturally comes out complex valued. But if you mean philosophic "real" science won't help - space is part of nature, is all.
"infinite number of coupling constants " I have heard this; it really doesn't seem like a solution one would want. Personally I think that it is probably a tool problem; we are applying the wrong mathematical tools. For instance the ancient Greeks doing area calculations based upon geometry; yes it can be made to yield answers but Newton/Leibniz calculus is a lot more satisfactory. Finding the right tools might allow us to make sharp predictions not some kind of approximations. "continuous and real": It seems to me that the QFT/String people are tending towards a interior structure to space; like a soap bubble is generated by inter-molecular forces. I have no justification for this opinion; I just like the ideas in GR.
 

Similar threads

  • Featured
  • · Replies 10 ·
Replies
10
Views
6K
  • · Replies 3 ·
Replies
3
Views
3K
  • · Replies 7 ·
Replies
7
Views
3K
  • · Replies 5 ·
Replies
5
Views
4K
  • · Replies 1 ·
Replies
1
Views
3K
  • · Replies 31 ·
2
Replies
31
Views
4K
  • · Replies 5 ·
Replies
5
Views
4K
  • · Replies 1 ·
Replies
1
Views
4K
  • · Replies 13 ·
Replies
13
Views
4K
  • · Replies 30 ·
2
Replies
30
Views
8K