Average velocity ##\bar{v}## for a uniformly accelerating particle

Click For Summary

Homework Help Overview

The discussion revolves around calculating the average velocity for a uniformly accelerating particle, specifically focusing on the relationship between initial velocity, final velocity, and acceleration over a given time interval.

Discussion Character

  • Exploratory, Assumption checking, Mathematical reasoning

Approaches and Questions Raised

  • Participants explore the definition of average velocity and its calculation using integrals. There is a focus on the integration process and the correct application of the velocity function. Questions arise regarding the signs used in the equations and the interpretation of terms in the average velocity formula.

Discussion Status

Participants are actively engaging with each other's calculations and reasoning. Some have offered hints and corrections regarding the integration and the function used for velocity. There is a recognition of differing interpretations of the terms involved, but no consensus has been reached on the correct approach yet.

Contextual Notes

There are indications of confusion regarding the integration process and the application of the velocity function, with participants questioning assumptions about the signs in their equations. The original poster has requested hints rather than direct solutions, aligning with the forum's learning-first approach.

brotherbobby
Messages
780
Reaction score
172
Homework Statement
Show that if a particle is undergoing uniform acceleration, its average velocity over a time ##t## may be written as ##\bar{v} = \dfrac{v_f+v_i}{2}## or as ##\dfrac{x_f-x_i}{t}##, where ##f## and ##i## refer to initial and final values.
Relevant Equations
1. Average velocity is defined to be ##\quad\bar{v} \overset{\text{def.}}{=}\dfrac{\Delta x}{\Delta t}##.
2. For uniformly accelerated motion, final velocity ##\quad v_f=v_1+a_0(t_f-t_i)##
1704046769048.png
Statement of the problem :
Let me copy and paste the problem from the text. Please note it's part (i) that I am seeking to answer. I know the answer to part (ii).

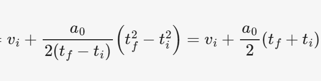
Solution : To show where my error appears, I take the time(s) to be ##t_f## and ##t_i##, whereby the given time interval ##t = t_f-t_i##. The average velocity ##\small{\quad\bar{v}\overset{\text{def.}}{=}\dfrac{\Delta x}{\Delta t}= \dfrac{\int\limits_{t_i}^{t_f}v(t)dt}{t_f-t_i}=\dfrac{\int\limits_{t_i}^{t_f}(v_i+a_0t)dt}{t_f-t_i}=v_i+\dfrac{a_0}{t_f-t_i}\left[ \dfrac{t^2}{2} \right]_{t_i}^{t_f}=v_i+\dfrac{a_0}{2(t_f-t_i)}\left( t_f^2 - t_i^2\right) = v_i+\dfrac{a_0}{2}\left( t_f+t_i \right)=\dfrac{v_i+\{v_i+a_0\left( t_f+t_i\right)\}}{2}}##
The last term is not equal to the final velocity ##v_f## : ##\quad\dfrac{v_i+\overbrace{\{v_i+a_0\left( t_f+t_i\right)\}}^{\ne v_f}}{2}\ne\dfrac{v_i+v_f}{2}##.
We note that the final velocity ##v_f=v_i+a_0(t_f-t_i)##. For me, the minus sign ##-## is replaced with a plus##+## sign.
This is where I am stuck. Request : A hint would be welcome.
 
Physics news on Phys.org
brotherbobby said:
We note that the final velocity ##v_f=v_i+a_0(t_f-t_i)##. For me, the minus sign ##-## is replaced with a plus##+## sign.
You'll have to explain why you made that a plus sign!
 
PeroK said:
You'll have to explain why you made that a plus sign!
1704051745507.png

From my calculations above. The two terms which have "##-##" signs cancel, leaving the term ##t_f+t_i##.
 
brotherbobby said:
View attachment 337949
From my calculations above. The two terms which have "##-##" signs cancel, leaving the term ##t_f+t_i##.
You have integrated wrongly. You should find that the integral of velocity for constant acceleration is
$$x_f -x_i = v_i(t_f-t_i) +\frac 1 2 a(t_f^2 -t_i^2)$$
Ps sorry, I meant:
$$x_f -x_i = v_i(t_f-t_i) +\frac 1 2 a(t_f-t_i)^2$$
 
Last edited:
I don't follow you. What you wrote is exactly what I did.

##x_f -x_i = v_i(t_f-t_i) +\frac 1 2 a(t_f^2 -t_i^2)##

If you divide both sides of the equation by ##t_f-t_i##, you get ##\bar v= v_i+\dfrac{1}{2}a_0(t_f+t_i)##, which is what I got.
PeroK said:
You have integrated wrongly
Can you show me where in my workings in post #1 above?
 
Your integration is fine. What you have inadvertently done is used the wrong function for ##v(t)##. I ask you to evaluate ##v(t)## at ##t=t_o## and tell us what you get.
 
  • Like
Likes   Reactions: PeroK and Orodruin
erobz said:
Your integration is fine. What you have inadvertently done is used the wrong function for ##v(t)##. I ask you to evaluate ##v(t)## at ##t=t_o## and tell us what you get.
I got you. We should have ##v(t) = v_i+a_0(t-t_i)##. Hence when ##t=t_i##, ##v(t_i)=v_i##.
 
  • Like
Likes   Reactions: erobz
I show you the calculations below in rough. Thanks. I have solved the problem.
1704055489561.png
 
  • Like
Likes   Reactions: erobz
It will save you significant algebra if you do a ##u## substitution with ##u = t - t_o ## to evaluate the integral.

##du = dt##

## u_f = t_f - t_o##

## u_o = t_o -t_o = 0 ##

$$ \bar{v} = \frac{ \int_{0}^{u_f} \left( v_o + a_o u \right) du}{u_f} $$

$$ \implies \bar{v} = \frac{v_o u_f + \frac{1}{2} a_o u_f^2 }{u_f} $$

$$ \implies \bar{v} = v_o + \frac{1}{2} a_o u_f = v_o + \frac{1}{2} a_o ( t_f - t_o ) = \frac{v_o+v_f}{2} $$
 

Similar threads

  • · Replies 54 ·
2
Replies
54
Views
5K
  • · Replies 21 ·
Replies
21
Views
1K
  • · Replies 15 ·
Replies
15
Views
3K
  • · Replies 3 ·
Replies
3
Views
1K
  • · Replies 16 ·
Replies
16
Views
11K
  • · Replies 40 ·
2
Replies
40
Views
3K
Replies
23
Views
2K
  • · Replies 8 ·
Replies
8
Views
7K
Replies
31
Views
2K
  • · Replies 1 ·
Replies
1
Views
4K