Boundary and homeomorphism

  • Context: Undergrad 
  • Thread starter Thread starter davidge
  • Start date Start date
  • Tags Tags
    Boundary Homeomorphism
Click For Summary

Discussion Overview

The discussion revolves around the properties of the 2-sphere ##\mathbb{S}^2## and the circle ##\mathbb{S}^1##, particularly focusing on their homeomorphisms with intervals in ##\mathbb{R}## and the implications for boundaries in manifolds. Participants explore whether ##\mathbb{S}^1## can be expressed as a subset of an open interval in ##\mathbb{R}## and the consequences of such representations.

Discussion Character

  • Debate/contested
  • Technical explanation
  • Conceptual clarification

Main Points Raised

  • Some participants propose that ##\mathbb{S}^2## can be expressed as ##\mathbb{S}^1 \times \mathbb{S}^1##, while others argue that this is incorrect, asserting that ##\mathbb{S}^1 \times \mathbb{S}^1## is a torus, not a sphere.
  • Several participants assert that ##\mathbb{S}^1## is not homeomorphic to ##\mathbb{R}##, citing compactness as a key reason.
  • There is a discussion about whether ##\mathbb{S}^1## can be represented as a subset of an open interval in ##\mathbb{R}##, with some suggesting that local representations do not imply global homeomorphism.
  • One participant mentions that a closed interval is compact, raising questions about its homeomorphism with ##\mathbb{S}^1##.
  • Another point raised is that any continuous function from a closed interval to itself has a fixed point, while there exist continuous functions on ##\mathbb{S}^1## that do not, suggesting a difference in their topological properties.
  • Participants discuss the implications of removing endpoints from intervals and how this affects the homeomorphism with ##\mathbb{S}^1##.

Areas of Agreement / Disagreement

Participants do not reach a consensus on the homeomorphic relationships between ##\mathbb{S}^1##, ##\mathbb{R}##, and closed intervals. Multiple competing views remain regarding the representations of these spaces and their properties.

Contextual Notes

Limitations include unresolved definitions of homeomorphism and compactness, as well as the implications of local versus global properties in topology.

davidge
Messages
553
Reaction score
21
The 2-sphere ##\mathbb{S}^2## can be expressed as the product ##\mathbb{S}^1 \times \mathbb{S}^1##
Now can we express ##\mathbb{S}^1## as ##\mathbb{S}^1 \subset (-a,a)##, where ##(-a,a)## is some open interval of ##\mathbb{R}##? If so, then (I think) ##\mathbb{S}^1## is homeomorphic to ##\mathbb{R}##. Also, it's homemomorphic to ##\mathbb{R}^2## up to four coordinate charts covering it in ##\mathbb{R}^2##.

If so, by the same reasoning ##\mathbb{S}^2 \subset \mathbb{R}^2## is homeomorphic to ##\mathbb{R}^2##. Also, it's homeomorphic to ##\mathbb{R}^3##, for we can define an embedding from it to ##\mathbb{R}^3##.

Finally, if the above is correct, ##\mathbb{S}^2 \times \mathbb{R}## is homeomorphic to ##\mathbb{R}^3##, though it's not compact.

I'm trying to get this because I'm interested in knowing whether ##\mathbb{S}^2 \times \mathbb{R}## as a manifold has a boundary or not.

I'll appreciate any help.
 
Last edited:
Physics news on Phys.org
davidge said:
The 2-sphere S2\mathbb{S}^2 can be expressed as the product S1×S1
I was taught long ago that ##S^1\times S^1## is two dimensional torus not sphere.
 
Last edited:
zwierz said:
I was taught long ago that ##S^1\times S^1## is two dimensional torus not sphere.
Oh, I thought the 2-sphere could be represented as ##\mathbb{S}^1 \times \mathbb{S}^1## because each one of the coordinates of a point ##x \in \mathbb{S}^2##, say ##(\theta, \phi)##, obeys a "circle equation".
 
Also, ##\mathbb{S}^1## is not homeomorphic to ##\mathbb{R}## (because it's not homeomorphic to an open interval of ##\mathbb{R}##). Think about the values ##\theta## ranges over.
 
TeethWhitener said:
Also, ##\mathbb{S}^1## is not homeomorphic to ##\mathbb{R}## (because it's not homeomorphic to an open interval of ##\mathbb{R}##). Think about the values ##\theta## ranges over.
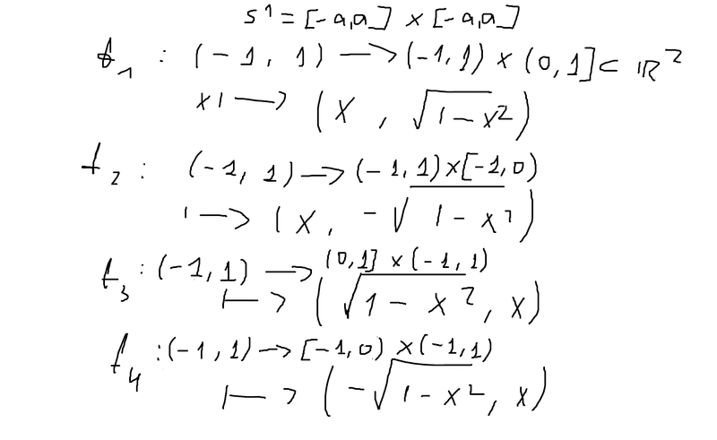
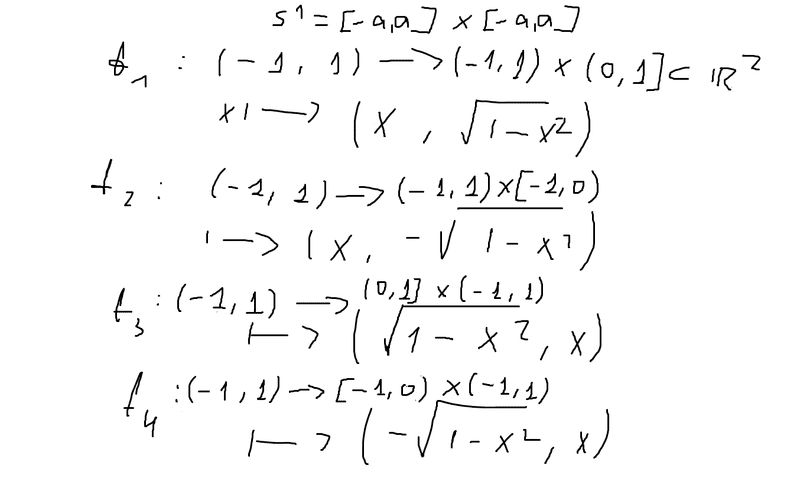
So why can we map the entire circle using four coordinate charts from an open interval of ##\mathbb{R}##? Can you check out my work below and say whether it's correct or not?

monlm7f.png
 
davidge said:
Oh, I thought the 2-sphere could be represented as ##\mathbb{S}^1 \times \mathbb{S}^1## because each one of the coordinates of a point ##x \in \mathbb{S}^2##, say ##(\theta, \phi)##, obeys a "circle equation".
This is locally (in a neighborhood of each point) true, but not globally (on the entire sphere), because you will have to leave out one of the poles.
 
davidge said:
So why can we map the entire circle using four coordinate charts from an open interval of ##\mathbb{R}##? Can you check out my work below and say whether it's correct or not?

View attachment 204017
I can't really read what's going on here, but the easiest way to show that ##\mathbb{S}^1## is not homeomorphic to an open interval of ##\mathbb{R}## is to note that ##\mathbb{S}^1## is compact whereas an open interval of ##\mathbb{R}## is not. Since homeomorphisms preserve compactness, we immediately get that the two spaces are not homeomorphic.
 
TeethWhitener said:
I can't really read what's going on here, but the easiest way to show that ##\mathbb{S}^1## is not homeomorphic to an open interval of ##\mathbb{R}## is to note that ##\mathbb{S}^1## is compact whereas an open interval of ##\mathbb{R}## is not. Since homeomorphisms preserve compactness, we immediately get that the two spaces are not homeomorphic.
What if we choose a closed interval instead of a open one. A closed interval is compact.
fresh_42 said:
This is locally (in a neighborhood of each point) true, but not globally (on the entire sphere), because you will have to leave out one of the poles.
Then letting the "end points", namely the poles out of consideration is forbidden?
 
zwierz said:
closed interval has boundary, the circle does not
yes, but it's precisely what I was trying to say in post number 1. Pick a closed interval. There's no way of homeomorphicaly map the entire circle to ##\mathbb{R}^2## using an closed interval (at least in that way I did in post #5). So you have to "remove the end points" of your closed interval. Then now you have an open interval that is homeomorphic to ##\mathbb{R}##.

Can you point out where I'm wrong on the above ?
 
  • #10
davidge said:
Then letting the "end points", namely the poles out of consideration is forbidden?
It's not forbidden, it simply makes the difference between local and global. As entire set ##S^1 \times S^1 \ncong S^2## as a torus (on the left) isn't a sphere (on the right), because one has a hole and the other has not. But on a small patch you can always apply coordinates like on earth. You simply cannot find a single chart describing both. As manifolds they all have local flat charts patched to a whole atlas, but this doesn't make them equal.
 
  • Like
Likes   Reactions: davidge
  • #11
davidge said:
What if we choose a closed interval instead of a open one. A closed interval is compact.

davidge said:
yes, but it's precisely what I was trying to say in post number 1. Pick a closed interval. There's no way of homeomorphicaly map the entire circle to R2R2\mathbb{R}^2 using an closed interval (at least in that way I did in post #5). So you have to "remove the end points" of your closed interval. Then now you have an open interval that is homeomorphic to RR\mathbb{R}.

Can you point out where I'm wrong on the above ?
I think you answered your own question. Look here:
https://www.physicsforums.com/threads/why-the-circle-cant-be-homeomorphic-to-a-real-interval.537897/
http://mathhelpforum.com/differenti...-not-homeomorphic-any-interval-real-line.html
Combining with what I said before: an open interval on ##\mathbb{R}## is not homeomorphic to ##\mathbb{S}^1## because compactness isn't preserved. A half-open interval won't work for the same reason. And as you said, there's no homeomorphism between a closed interval of ##\mathbb{R}## and ##\mathbb{S}^1##. The links above answer why: choose a closed real interval ##[a,b]## and assume a (edit: bijection homeomorphism) exists ##f: [a,b] \mapsto \mathbb{S}^1##. Then deleting any point ##p## (not equal to ##a## or ##b##) from the real interval gives another homeomorphism: ##g: [a,p) \cup (p,b] \mapsto \mathbb{S}^1 - \{f(p)\}##. But the new real interval ##[a,p)\cup(p,b]## is not connected, whereas ##\mathbb{S}^1 - f(p)## is connected. Since connectedness is a topological property, ##g## can't be a homeomorphism (and by extension, neither can ##f##).

EDIT: one important note. The set ##\mathbb{R} \cup \{\infty\}## is homeomorphic to the circle. This is sometimes called the "point at infinity." It's a special case of one point compactification:
https://en.wikipedia.org/wiki/Alexandroff_extension
 
Last edited:
  • Like
Likes   Reactions: davidge
  • #12
TeethWhitener said:
the new real interval ##[a,p)\cup(p,b]## is not connected
So can we apply the definition of connectness to intervals like the one above? I thought the definition could be applied only to open intervals. Also, doing the same as you did, but with an open interval ##(a,b)##, the same reasoning would led us to conclude that ##\mathbb{S}^1## and ##(a,b)## are not homeomorphic. Cool!
 
  • #13
There is another funny proof that ##[a,b]## is not homeomorphic to ##S^1##. Indeed, any continuous function ##f:[a,b]\to[a,b]## has a fixed point. But there is a continuous function of ##S^1## to itself that does not have a fixed point.
 
  • Like
Likes   Reactions: davidge and WWGD
  • #14
davidge said:
The 2-sphere ##\mathbb{S}^2## can be expressed as the product ##\mathbb{S}^1 \times \mathbb{S}^1##
Now can we express ##\mathbb{S}^1## as ##\mathbb{S}^1 \subset (-a,a)##, where ##(-a,a)## is some open interval of ##\mathbb{R}##? If so, then (I think) ##\mathbb{S}^1## is homeomorphic to ##\mathbb{R}##. Also, it's homemomorphic to ##\mathbb{R}^2## up to four coordinate charts covering it in ##\mathbb{R}^2##.

If so, by the same reasoning ##\mathbb{S}^2 \subset \mathbb{R}^2## is homeomorphic to ##\mathbb{R}^2##. Also, it's homeomorphic to ##\mathbb{R}^3##, for we can define an embedding from it to ##\mathbb{R}^3##.

Finally, if the above is correct, ##\mathbb{S}^2 \times \mathbb{R}## is homeomorphic to ##\mathbb{R}^3##, though it's not compact.

I'm trying to get this because I'm interested in knowing whether ##\mathbb{S}^2 \times \mathbb{R}## as a manifold has a boundary or not.

I'll appreciate any help.
There is a result, I think by Ulam, that ## \mathbb S^n ## cannot be embedded in ## \mathbb R^n ## -or-lower. Still, it would be interesting to see whether ## \mathbb S^n ## " Is a square root" for some n , meaning whether it is homeomorphic to the product ## Y \times Y ## of some topological space ## Y ## . There is an argument showing ## \mathbb R^{2n+1} ## is not a square root in this sense.
 
Last edited:
  • Like
Likes   Reactions: davidge
  • #15
zwierz said:
There is another funny proof that ##[a,b]## is not homeomorphic to ##S^1##. Indeed, any continuous function ##f:[a,b]\to[a,b]## has a fixed point. But there is a continuous function of ##S^1## to itself that does not have a fixed point.
Nice. And there is also the connectivity one that any point p separates [a,b] , i.e., for any p in [a,b] , [a,b] -{p} is disconnected, while the same is not true for ## \mathbb S^1 ## - or higher-dimensions. I don't know the formal name for this, though ; it comes down to that if X is homeo to Y through h, then X-{p} is homeo to Y-{h(p)}. EDIT 2, besides, with heavier machinery, you also have contractibility, etc. which is preserved under homotopy equivalence alone. EDIT 3:
 
Last edited:
  • #16
zwierz said:
There is another funny proof that ##[a,b]## is not homeomorphic to ##S^1##. Indeed, any continuous function ##f:[a,b]\to[a,b]## has a fixed point. But there is a continuous function of ##S^1## to itself that does not have a fixed point.
Nice idea. Or one can take ##S^1 \times S^1 \cong \mathbb{P}^2(1,\mathbb{R}) \cong \mathbb{P}(2,\mathbb{R}) \ncong \mathbb{P}(1,\mathbb{C}) \cong S^2\;##, which indicates the problem with the poles.
 
Last edited:
  • #17
zwierz said:
there is a continuous function of ##S^1## to itself that does not have a fixed point.
what do you mean by having a fixed point?
 
  • #18
Yet another way :
davidge said:
what do you mean by having a fixed point?
It means there is a point that maps to itself, i.e., f(p)=p.
 
  • Like
Likes   Reactions: davidge
  • #19
WWGD said:
Yet another way :

It means there is a point that maps to itself, i.e., f(p)=p.
Thanks
 
  • #20
davidge said:
Thanks
No problem, consider re, Zwierz' post and fixed points the (continuous) map from ##\mathbb S^1 ## to itself that rotates every point by a fixed amount that is not an integer multiple of ## 2\pi ## .
 
  • Like
Likes   Reactions: davidge
  • #21
davidge said:
So can we apply the definition of connectness to intervals like the one above? I thought the definition could be applied only to open intervals. Also, doing the same as you did, but with an open interval ##(a,b)##, the same reasoning would led us to conclude that ##\mathbb{S}^1## and ##(a,b)## are not homeomorphic. Cool!
You have to be careful here, because the topology on ##S=[a,p)\cup(p,b]## is inherited from ##\mathbb{R}##, meaning that open sets on ##S## are defined as the intersection of an open set in ##\mathbb{R}## with ##S##. So in this case, for example, ##[a,p)## would be an open set in the space ##S## (since it's the intersection of, e.g., ##(a-1,p) \cap S##, where ##(a-1,p)## is an open set in ##\mathbb{R}##), as would ##(p,b]##. But of course, since ##S-[a,p)=(p,b]##, this means that ##S## contains subsets that are both open and closed, and therefore ##S## cannot be connected.
 
  • Like
Likes   Reactions: davidge
  • #22
TeethWhitener said:
You have to be careful here, because the topology on ##S=[a,p)\cup(p,b]##
Why are you calling ##S## that way? I thought ##S## would be ##[f(a), \ ... \ , f(p)) \cup (f(p), \ ... \ , f(b)]## instead.
TeethWhitener said:
But of course, since ##S-[a,p)=(p,b]##, this means that ##S## contains subsets that are both open and closed, and therefore ##S## cannot be connected.
I see
 
  • #23
davidge said:
Why are you calling ##S## that way? I thought ##S## would be ##[f(a), \ ... \ , f(p)) \cup (f(p), \ ... \ , f(b)]## instead.

I see
Bad notational choice on my part. I meant ##S## as a subspace of ##\mathbb{R}##, not a subspace of ##\mathbb{S}^1##.
 
  • Like
Likes   Reactions: davidge
  • #24
Just one more question: can we use the same argument to show that ##\mathbb{S}^1## is homeomorphic to ##\mathbb{R}^2##?
 
  • #25
davidge said:
Just one more question: can we use the same argument to show that ##\mathbb{S}^1## is homeomorphic to ##\mathbb{R}^2##?
This cannot be shown because it is wrong.
 
  • Like
Likes   Reactions: davidge
  • #26
fresh_42 said:
This cannot be shown because it is wrong.
Since an embedding from ##\mathbb{S}^1## to ##\mathbb{R}^2## can be defined, I thought the former was homeomorphic to the later.
 
  • #27
Homeomorphy means bijective and continuous in both directions. ##\mathbb{S}^1## is the unit circle. One can apply the stereographic projection from the northpole onto the equatorial plane and get a line ##\mathbb{R}^1## as a result. However, whereas the southpole can be seen as the origin, the northpole is the infinite point, and thus the circle is homeomorphic to the projective line. But there is no plane around, unless you do the same thing for the ##2-##sphere.

The fastest way is still what @TeethWhitener said in post #7.
 
  • #28
davidge said:
Since an embedding from ##\mathbb{S}^1## to ##\mathbb{R}^2## can be defined, I thought the former was homeomorphic to the later.
You would require an embedding onto , not just into.
 
  • #29
@fresh_42 and @WWGD
I think I see what you are saying.
WWGD said:
You would require an embedding onto , not just into.
Suppose a parametrization ##g: (-r,r) \rightarrow \mathbb{S}^1 \\ t \mapsto x ## where ##(-r,r)## is an open interval of ##\mathbb{R}##.
Now define ##f_1: \mathbb{S}^1 \rightarrow \mathbb{R}^2## by ##x = g(t) \mapsto \bigg{(}x, \sqrt{r²-x²} \bigg{)}##
This function does not cover the entire circle ##\in \mathbb{R}^2##, because the points ##(r,0)## and ##(-r,0)## ##\in \mathbb{R}^2## are excluded. Also, we would need to define another function ##f_2: \mathbb{S}^1 \rightarrow \mathbb{R}^2## by ##x = g(t) \mapsto \bigg{(}x, - \sqrt{r²-x²} \bigg{)}##

Is my above understanding correct?
 
  • #30
davidge said:
@fresh_42 and @WWGD
I think I see what you are saying.

Suppose a parametrization ##g: (-r,r) \rightarrow \mathbb{S}^1 \\ t \mapsto x ## where ##(-r,r)## is an open interval of ##\mathbb{R}##.
Now define ##f_1: \mathbb{S}^1 \rightarrow \mathbb{R}^2## by ##x = g(t) \mapsto \bigg{(}x, \sqrt{r²-x²} \bigg{)}##
This function does not cover the entire circle ##\in \mathbb{R}^2##, because the points ##(r,0)## and ##(-r,0)## ##\in \mathbb{R}^2## are excluded. Also, we would need to define another function ##f_2: \mathbb{S}^1 \rightarrow \mathbb{R}^2## by ##x = g(t) \mapsto \bigg{(}x, - \sqrt{r²-x²} \bigg{)}##

Is my above understanding correct?

Yes, this is correct, but still does not show that the map is not onto ## \mathbb R^2 ##, though. In this case you can also use some topological invariants to show the non-existence of a homeomorphism.
 
  • Like
Likes   Reactions: davidge

Similar threads

  • · Replies 11 ·
Replies
11
Views
2K
  • · Replies 61 ·
3
Replies
61
Views
8K
  • · Replies 20 ·
Replies
20
Views
4K
  • · Replies 12 ·
Replies
12
Views
3K
  • · Replies 8 ·
Replies
8
Views
3K
  • · Replies 4 ·
Replies
4
Views
2K
  • · Replies 15 ·
Replies
15
Views
4K
  • · Replies 6 ·
Replies
6
Views
3K
  • · Replies 2 ·
Replies
2
Views
2K
  • · Replies 2 ·
Replies
2
Views
2K