Calculating decay rates for modes of a circular membrane

Click For Summary
SUMMARY

This discussion focuses on calculating the theoretical relative decay rates of the (m,n) modes of an ideal circular membrane, specifically when excited by an impulse at its center. The decay rates should be expressed in dB/s and are determined by the real components of the eigenvalues derived from the wave equation for the membrane. The suggested method involves using plate theory to generate a partial differential equation (PDE) and calculating the eigenmodes, with references provided for further reading on the wave equations. The user seeks a formula incorporating the (m,n) modes and a damping coefficient to compute decay rates accurately.

PREREQUISITES
  • Understanding of wave equations and eigenvalues in the context of circular membranes.
  • Familiarity with Bessel functions and their application to calculate frequencies of (m,n) modes.
  • Knowledge of plate theory and its relevance to modeling membrane dynamics.
  • Basic grasp of logarithmic conversions for expressing decay rates in dB/s.
NEXT STEPS
  • Study the derivation of the wave equation for circular membranes from plate theory.
  • Learn how to calculate eigenvalues and eigenmodes for PDEs related to circular membranes.
  • Research the application of Bessel zeros in determining frequencies of (m,n) modes.
  • Explore methods for incorporating variable damping coefficients into wave equations for more accurate simulations.
USEFUL FOR

Mathematicians, physicists, and engineers involved in acoustics, particularly those working on modeling and simulating the behavior of circular membranes under various excitation conditions.

mikejm
Messages
40
Reaction score
2
I am trying to solve for the theoretical relative decay rates of the various (m,n) modes of an ideal circular membrane, if that membrane is excited momentarily by an impulse or deformation.

I would ideally like the decays of the (m,n) modes in dB/s.

Imagine a simple isolated drum head being struck by a stick. The membrane should be considered fixed with even tension around its perimeter. The excitation impulse/deformation should be at its center or x*radius from its center.

Someone on another site said of this problem:

If the air damps it linearly enough, you can probably solve it analytically. Use plate theory to generate a PDE, then work out all the eigenmodes. The decay rate will be determined by the real components of the eigenvalues, and can be converted into dBs-1 using a few logs.

The wave equation for modes of an ideal circular membrane is given by:
HqpEmjv.png


The full wave equations are described/explained further in these documents:

http://www.math.ubc.ca/~nagata/sci1/drum.pdf
https://courses.physics.illinois.ed...P406POM_Lecture_Notes/P406POM_Lect4_Part2.pdf
http://ramanujan.math.trinity.edu/rdaileda/teach/s12/m3357/lectures/lecture_3_29.pdf

I can use the Bessel zeros to calculate the frequencies of the various (m,n) modes and have done so already. However, I am unsure how to get the decay rates for these modes as he describes.

Does the method he suggests make sense? If so, can anyone elaborate further on how I would go about doing this? Or is there a better way?

Ideally I'd like an equation I can put in (m,n) for, plus perhaps an arbitrary constant damping coefficient, and get the decay of that mode in dB/s. If the decay rate of any mode might vary depending on the point of excitation, some way to specify for excitation position might be useful.

Thanks for any help!
 

Attachments

  • HqpEmjv.png
    HqpEmjv.png
    6.7 KB · Views: 600
Physics news on Phys.org
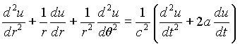
I was able to find a website summarizing a damped wave equation for a circular membrane here:
Image12.gif

where u is the amplitude of vibration of the membrane, r and
Image6.gif
are polar coordinates of membrane, a is the damping factor, c is the speed of a wave on the membrane.

http://www.math.ust.hk/~machas/drum/

However, the membrane simulation sounds terrible (audio clips at the end of that site) because they aren't employing the proper frequency/mode dependent per-partial damping that occurs in nature.

As far as I can tell, this is just damping all the modes equally over time, which is useless.

Am I understanding this correctly, and if so, is there any obvious way to improve this and get a more representative damped wave equation?
 

Attachments

  • Image12.gif
    Image12.gif
    1 KB · Views: 487
  • Image6.gif
    Image6.gif
    75 bytes · Views: 492

Similar threads

  • · Replies 5 ·
Replies
5
Views
5K