Calculating Water Flow Through Circular Holes: Speed, Pressure Drop & Formulas

Click For Summary
SUMMARY

This discussion focuses on calculating the speed of water exiting through a metal plate with 14 circular holes, each 14mm in diameter, under a water column height of 50cm. The key formulas presented include the volume flow rate equation and pressure loss calculation, with specific values for the loss coefficient (zeta = 1.8) and the discharge coefficient (Cd = 0.60). The derived equations for exit velocity (v) and total flow rate (Q) are v = 2.6572*z^0.5 and Q = 5.7265*z^0.5, respectively, where z is the water depth in meters. The discussion emphasizes the importance of atmospheric pressure and the dynamics of water flow in these calculations.

PREREQUISITES
  • Understanding of fluid dynamics principles
  • Familiarity with Bernoulli's equation
  • Knowledge of flow rate calculations
  • Basic engineering concepts related to pressure and velocity
NEXT STEPS
  • Research "Bernoulli's equation applications in fluid dynamics"
  • Study "Calculating flow rates through orifices and nozzles"
  • Explore "The impact of hole shape on fluid flow characteristics"
  • Learn about "Pressure loss coefficients in fluid systems"
USEFUL FOR

Engineers, fluid dynamics researchers, and anyone involved in hydraulic design or water flow analysis will benefit from this discussion.

ZalienMC
Messages
1
Reaction score
0
Hello every one.
This is my first post here so be gentle if i placed my topic in the wrong section.

My problem is as following.

I am trying to calculate the speed of the water which exits true a metal plate full of cirkulare holes.

The metal plate is square and and has 14 holes each with a diameter of 14mm.
On top of the plate is a watercolum with a total height of 50cm.
The water runs true the plate into free air so there is no pressure working against the flow.

I want to use the calculated speed of the water to make a graph which shows water mass on the x-axis and pressure drop on the y-axis.


I have come across following formulas:

Volume = surfuce area of holes * speed of water

press loss = zeta * (1/2)*zeta*water speed^2


I am not sure that the last calculation is correct and i have bin unable to find the zeta value in any books of mine.
im guessing its a value which relates to the size of the hole and the dynamics of water.


I have that some of you can give me a push in the right direktion.
Sorry for spelling errors.

Best regards.
 
Engineering news on Phys.org
This is how I would do it:
In the following pictures, there are the following quantities:
p - pressure [N/m^2]
rho - density of water [kg/m^3]
v - speed of flow [m/s]
z - height of a water particle before and after the hole (the difference is approx. 0)
The weird greek letter for which I can't remember the name at the moment is a coefficient of losses for this very case ( = 1.8). I got that from my engineering handbook.

hole1.JPG


hole2.JPG


Don't forget the following:
  • At the moment the water level in the reservoir starts to fall, the velocity will begin to decrease, which is obvious from the equation.
  • If holes are pointing downwards, the velocity that you get from this equation is only correct near the wall. As the water continues to fall, it accelerates and the jet gets narrower.
  • I would re-check the calculations just in case I messed something up, which wouldn't be the first time it happened to me.

Have fun,
kandelabr
 
Last edited:
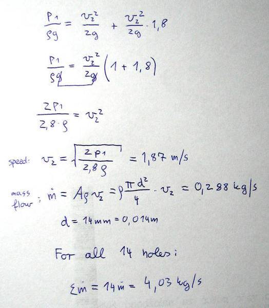
ZalienMC: Assuming you have atmospheric pressure above the water surface in the tank, the drainage hole stream exit velocity, and the total flow rate, as a function of tank water depth, are as follows.

v = [2*g*z/(1 + ko)]^0.5 = Cd*(2*g*z)^0.5 = 2.6572*z^0.5,
Q = (14 holes)*v*A*1000 = 2.1551*v = 5.7265*z^0.5,​

where v = drainage hole stream exit velocity (m/s), z = tank water depth (m), Q = total flow rate (L/s), ko = 1.778, Cd = 0.60, g = 9.8067 m/s^2, and d = drainage hole diameter = 0.014 m.

E.g., if z = 0.500 m, you have

v = 2.6572*0.500^0.5 = 1.879 m/s,
Q = 5.7265*0.500^0.5 = 4.049 L/s.
 

Similar threads

  • · Replies 3 ·
Replies
3
Views
3K
  • · Replies 12 ·
Replies
12
Views
4K
Replies
11
Views
3K
Replies
1
Views
4K
  • · Replies 3 ·
Replies
3
Views
3K
  • · Replies 2 ·
Replies
2
Views
3K
  • · Replies 10 ·
Replies
10
Views
7K
  • · Replies 1 ·
Replies
1
Views
5K
Replies
3
Views
2K
  • · Replies 3 ·
Replies
3
Views
869