Can You Solve x|x+2|<5 by Subtracting 4?

  • Context: MHB 
  • Thread starter Thread starter mathdad
  • Start date Start date
Click For Summary

Discussion Overview

The discussion revolves around solving the inequality x|x+2|<5, with a focus on the manipulation of terms involving absolute values and the implications of subtracting 4 from the expression. The scope includes mathematical reasoning and clarification of steps in solving inequalities.

Discussion Character

  • Mathematical reasoning, Conceptual clarification

Main Points Raised

  • Some participants express confusion regarding the manipulation of the inequality, particularly the introduction of the term -4 in the solution process.
  • One participant points out a typo in the original formulation of the problem, suggesting that the correct expression should be |x + 2| < 5 without the x in front of the absolute value.
  • Another participant confirms the correctness of the steps taken to transition from |x + 2| < 5 to the inequality involving x - 2, explaining that subtracting 4 is necessary to adjust the expression.
  • There is a request for clarification on the origin of the number 4 in the context of the solution.

Areas of Agreement / Disagreement

Participants do not reach a consensus on the clarity of the solution steps, as some express confusion while others affirm the correctness of the approach. Multiple viewpoints regarding the manipulation of the inequality remain present.

Contextual Notes

There are unresolved questions regarding the initial formulation of the problem and the steps taken to derive the final inequalities, particularly concerning the introduction of the constant 4.

mathdad
Messages
1,280
Reaction score
0
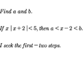
See picture for question.

View attachment 8538
 

Attachments

  • MathMagic181029_2.png
    MathMagic181029_2.png
    7.5 KB · Views: 123
Mathematics news on Phys.org
RTCNTC said:
See picture for question.

You recently posted a question quite similar to this one and received a thorough answer. Could you highlight what you are having trouble with here?
 
Joppy said:
You recently posted a question quite similar to this one and received a thorough answer. Could you highlight what you are having trouble with here?

I was not able to read Country Boy's reply because his words blocked most of the LaTex.
 
Joppy said:
You recently posted a question quite similar to this one and received a thorough answer. Could you highlight what you are having trouble with here?

I made a typo. There should be no x in front of the absolute value bar.

Solution:

|x + 2| < 5

-5 < x + 2 < 5

-5 - 4 < x + 2 - 4 < 5 - 4

-9 < x - 2 < 1

a = -9, b = 1

Is this correct?
 
Joppy said:
You recently posted a question quite similar to this one and received a thorough answer. Could you highlight what you are having trouble with here?

A friend responded to my question this way:

|x + 2| < 5

-5 < x + 2 < 5

-5 - 4 < x + 2 - 4 < 5 - 4

-9 < x - 2 < 1

a = -9, b = 1

Is this correct?

Where did 4 come from in his reply?
 
Yes, that is correct. In the original problem, you were given information about x+ 2. The problem asked for information about x- 2. To go from x+ 2 to x- 2, you need to subtract 4: (x+ 2)- 4= x+ (2- 4)= x- 2.
 

Similar threads

  • · Replies 2 ·
Replies
2
Views
1K
  • · Replies 3 ·
Replies
3
Views
4K
  • · Replies 8 ·
Replies
8
Views
1K
  • · Replies 4 ·
Replies
4
Views
1K
  • · Replies 2 ·
Replies
2
Views
1K
  • · Replies 48 ·
2
Replies
48
Views
6K
  • · Replies 7 ·
Replies
7
Views
2K
  • · Replies 1 ·
Replies
1
Views
2K
  • · Replies 59 ·
2
Replies
59
Views
231K
  • · Replies 3 ·
Replies
3
Views
1K