Circuit with time varying current

Click For Summary

Homework Help Overview

The discussion revolves around a circuit problem involving resistors, capacitors, and an inductor, where participants are attempting to analyze the steady current flowing through these components as a function of time after the circuit is closed at t=0. The original poster seeks feedback on their approach and the clarity of the problem statement.

Discussion Character

  • Exploratory, Assumption checking, Problem interpretation

Approaches and Questions Raised

  • Participants discuss the need for clarity in the problem statement, questioning whether the phrasing regarding the circuit being closed at t=0 is accurate. There are suggestions to use complex impedance and KVL for analysis, as well as concerns about the representation of the circuit elements in the original poster's diagram.

Discussion Status

The discussion is ongoing, with participants providing feedback on the clarity of the problem and suggesting improvements. Some participants express confusion regarding the symbols used in the circuit diagram and the equations presented. There is no explicit consensus yet, as multiple interpretations of the problem are being explored.

Contextual Notes

Participants note that the original problem statement may be incomplete or inaccurately translated, which could hinder the discussion. There is an emphasis on the importance of providing a clear and complete problem description to facilitate meaningful assistance.

MatinSAR
Messages
673
Reaction score
205
Homework Statement
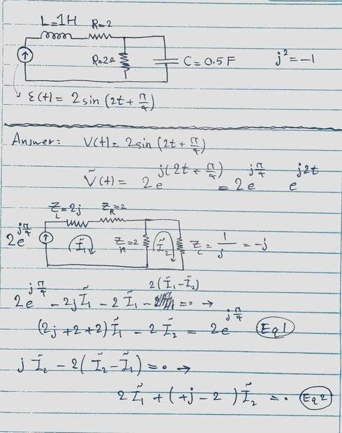
Consider a circuit containing resistors, capacitors, and an inductor. At time t=0, the circuit is closed. Determine the steady current flowing through the inductor and capacitor as a function of time.
Relevant Equations
KVL and KCL
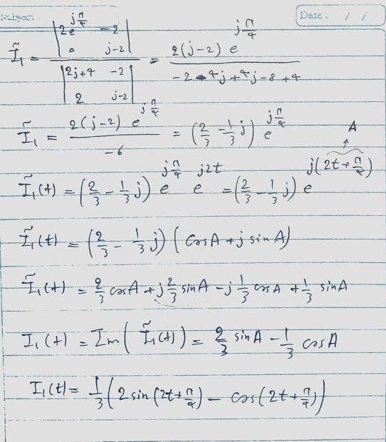
The picture of the question and my try:
1730163583892.jpeg
1730163652232.jpeg
Would it be possible for someone to double-check my answer for accuracy? I would greatly appreciate any feedback or guidance on this matter.
 
Physics news on Phys.org
PDF with better resolution :
 

Attachments

  • T.pdf
    T.pdf
    555.1 KB · Views: 67
MatinSAR said:
Homework Statement: Consider a circuit containing resistors, capacitors, and an inductor. At time t=0, the circuit is closed. Determine the steady current flowing through the inductor and capacitor as a function of time.
Relevant Equations: KVL and KCL

The picture of the question and my try:
Would it be possible for someone to double-check my answer for accuracy? I would greatly appreciate any feedback or guidance on this matter.
How about using LATEX ?
 
  • Like
Likes   Reactions: MatinSAR
SammyS said:
How about using LATEX ?
I always try to do that. I apologize for not using it this time. Is the handwriting too difficult to read? I'm aware that people may be hesitant to download PDFs, which is why I shared an image file in the original post.
 
MatinSAR said:
I always try to do that. I apologize for not using it this time. Is the handwriting too difficult to read? I'm aware that people may be hesitant to download PDFs, which is why I shared an image file in the original post.
You could also improve the thread by posting the complete, verbatim problem statement. I strongly suspect 'At time t=0, the circuit is closed. Determine the steady current... ' is a confusing rephrasing.

Could it be that there is nothing that closes at t=0 and the exercise asks for the steady state solution ?

##\ ##
 
  • Like
Likes   Reactions: MatinSAR
BvU said:
You could also improve the thread by posting the complete, verbatim problem statement. I strongly suspect 'At time t=0, the circuit is closed. Determine the steady current... ' is a confusing rephrasing.

Could it be that there is nothing that closes at t=0 and the exercise asks for the steady state solution ?

##\ ##
Before t=0 the key was open. At t=0 the key is closed. That's what I meant.
 
How come I don't see no key ? Please
BvU said:
post the complete, verbatim problem statement
as per PF guidelines

You appear to be familiar with complex impedance etc. So why not work out ##\bf I = V/Z## ?

##\ ##
 
  • Like
Likes   Reactions: MatinSAR
BvU said:
How come I don't see no key ? Please
I forget to draw that. The problem is not stated in any English book, So I cannot give you a screenshot of that book or sth like this. This problem was stated by my Professor and I translated it in English. Sorry if some information is missing. This is all I remember from the question. I'm not good at writing lecture notes.

BvU said:
You appear to be familiar with complex impedance etc. So why not work out ##\bf I = V/Z## ?
I wanted to use KVL law to solve. I just realize that working with the equation you stated is better here, because we have only one battery. Thanks.
 
The solution provided by the original poster in the post #2 is confusing at the beginning. In the circuit diagram the symbol, which is used for the generator, is a symbol for a current source, but in the equations the expression $$ 2\sin(2t+\frac{17}{9}) $$ is used as an expression for a voltage source.
 
  • Like
Likes   Reactions: MatinSAR
  • #10
I just found that why my answer in OP is wrong. Thank you for your help @BvU ...
Gavran said:
The solution provided by the original poster in the post #2 is confusing at the beginning. In the circuit diagram the symbol, which is used for the generator, is a symbol for a current source, but in the equations the expression $$ 2\sin(2t+\frac{17}{9}) $$ is used as an expression for a voltage source.
Your post shows that I should only use LATEX , That's not ##17/9## , it was ##\pi /4##!
And you're right. I shouldn't have changed that symbol.
 
  • Like
Likes   Reactions: Gavran
  • #11
MatinSAR said:
This is all I remember from the question. I'm not good at writing lecture notes.
Without a clear understanding of the question it's not possible to have a meaningful discussion of the answer.

I suggest you sketch the circuit the best you can and state the problem the best you can. Then we can help you solve that problem, whether or not it's an accurate description of the professor's question. That’s the best we can do.
 
  • Like
Likes   Reactions: MatinSAR

Similar threads

  • · Replies 5 ·
Replies
5
Views
2K
  • · Replies 10 ·
Replies
10
Views
1K
  • · Replies 42 ·
2
Replies
42
Views
6K
Replies
5
Views
1K
Replies
13
Views
1K
  • · Replies 8 ·
Replies
8
Views
2K
Replies
4
Views
3K
  • · Replies 13 ·
Replies
13
Views
1K
Replies
4
Views
1K