Confirm Hall Effect: Reversing Current & Magnetic Field

  • Thread starter Thread starter Schniz2
  • Start date Start date
  • Tags Tags
    Hall effect
Click For Summary
SUMMARY

The discussion confirms that the Hall voltage reverses sign when either the current or magnetic field direction is reversed, while the voltage offset only reverses sign with a change in current direction. This is demonstrated using the right-hand rule and Equation 2 provided in the discussion. The voltage offset is defined as a correction for measurement errors due to misaligned probes, calculated using the formula Vh=0.5*(Vh1-Vh2).

PREREQUISITES
  • Understanding of the Hall Effect and its applications
  • Familiarity with the right-hand rule for magnetic forces
  • Basic knowledge of voltage measurements and offsets
  • Ability to interpret and manipulate equations in physics
NEXT STEPS
  • Study the derivation and applications of the Hall Effect in semiconductor physics
  • Learn about the right-hand rule and its implications in electromagnetism
  • Explore methods for accurate voltage measurement techniques in experimental setups
  • Investigate the significance of voltage offsets in electrical measurements
USEFUL FOR

Physics students, electrical engineers, and researchers interested in electromagnetism and measurement techniques will benefit from this discussion.

Schniz2
Messages
18
Reaction score
0

Homework Statement


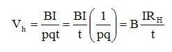
Show that the Hall voltage reverses sign if either the current or magnetic field direction is reversed, but the voltage offset reverses sign only if the current direction is reversed. Use the information to confirm the validity of equation see eq1 image




Homework Equations



see eq 2 image

The Attempt at a Solution



Tried lots of algebra but got nowhere? I am thinking maybe there is an intuitive explanation? been tring the right hand rule all night and can't work it out!

Cheers!
 

Attachments

  • eq1.jpg
    eq1.jpg
    1.4 KB · Views: 497
  • eq 2.jpg
    eq 2.jpg
    3.2 KB · Views: 533
Physics news on Phys.org
It is easy to show that the Hall voltage reverses sign if either the current or magnetic field change direction using the right hand rule. You could also even show it using Equation 2 you listed.

But I am not sure what the voltage offset is, so I can't help you there.
 
Actually, i thought about it more and i think i finally kind of understand it... too messy to put into words but it sort of makes sense

nickjer - the voltage offset eliminates the error due to misaligned voltage measurement probes.. you take one hall voltage measurement, reverse the magnetic field and then take another, you then use the equation Vh=0.5*(Vh1-Vh2).

thanks.
 

Similar threads

  • · Replies 0 ·
Replies
0
Views
1K
  • · Replies 7 ·
Replies
7
Views
3K
  • · Replies 2 ·
Replies
2
Views
2K
  • · Replies 2 ·
Replies
2
Views
4K
  • · Replies 0 ·
Replies
0
Views
3K
  • · Replies 1 ·
Replies
1
Views
1K
  • · Replies 4 ·
Replies
4
Views
3K
  • · Replies 19 ·
Replies
19
Views
3K
Replies
13
Views
3K
Replies
1
Views
5K