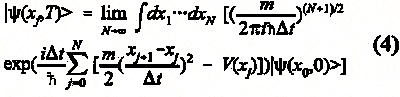
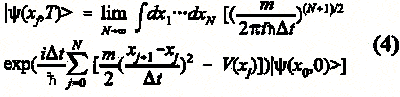
Coordinates of Hexagon Vertices in Base (AC, AD)

Click For Summary

Discussion Overview

The discussion revolves around determining the coordinates of the vertices of a regular hexagon (ABCDEF) in relation to a specified base defined by points AC and AD. Participants explore the relationships between the vertices and their coordinates, addressing both geometric and algebraic representations.

Discussion Character

  • Technical explanation
  • Mathematical reasoning
  • Debate/contested

Main Points Raised

  • One participant seeks to find the coordinates of segments AB, AE, and AF in relation to the base defined by AC and AD.
  • Another participant corrects the order of the segments, stating that AE should equal AF plus FE, not the other way around.
  • A later post discusses the coordinates of points A, B, C, D, E, and F based on the properties of a regular hexagon and trigonometric functions.
  • One participant expresses confusion regarding the relationship between segments and coordinates, particularly questioning if BC is equivalent to the distance from A to the origin.
  • Another participant provides a detailed breakdown of the coordinates derived from the regular hexagon's properties, including the use of cosine and sine for determining the coordinates of each vertex.
  • Participants express uncertainty about how to express the coordinates with respect to the defined base after deriving the points.

Areas of Agreement / Disagreement

There is disagreement regarding the correct relationships between the segments AE, AF, and FE. Additionally, while some participants have made progress in determining the coordinates, there remains uncertainty about how to properly express these coordinates in relation to the base.

Contextual Notes

Participants rely on the assumption that the hexagon is regular, which implies equal lengths from the origin to each vertex. There are unresolved questions about the definitions and relationships of segments and coordinates, particularly regarding the base AC and AD.

Petrus
Messages
702
Reaction score
0
Consider a regular hexagon ABCDEF (in order counterclockwise). Determine the coordinates of AB, AE AND AF (->) in the base (AC, AD) (->)

AB(->)=(_____,_____)
AE(->)=(_____,_____)
AF(->)=(_____,_____)

what I mean with exemple AF(->) positive way from A to F. I have draw a it but I got problem to rewrite
I got AE=EF+FA(->) I am correct?
 
Last edited:
Mathematics news on Phys.org
Re: hexagon, coordinates, base

3_3_2_geo.jpg
I could uppload picture from internet but it should be insted of F it should B. In ourder counterclockwise. Well I can rewrite AE=EF+FA (->)
 
Re: hexagon, coordinates, base

No, you have the order wrong: AE= AF+ FE.
 
Re: hexagon, coordinates, base

HallsofIvy said:
No, you have the order wrong: AE= AF+ FE.
Yeah I forgot to Edit. How do I do for AF and AB? Then I got Also My base.
 
Re: hexagon, coordinates, base

View attachment 725
So I draw it.
We know from origo to A it is 1 and origo to D it is 1.
 

Attachments

  • math.png
    math.png
    2.6 KB · Views: 124
I think I have thought wrong...
We got the base AC and AD and I put $$AC=(1,0)$$ and $$AD(0,1)$$
I start with AB
We know that $$AC=AB+BC$$ ( ->) that means $$AB=AC-BC <=> AB=AC-BC$$ and we know that $$AC=(1,0)$$ That means $$AB=(1,0)-BC$$ But is BC same as from A to origo?
 
So I did wrong... After a lot reading I think I got correct progress now...
We know it says regular hexagon that means from origo to any point got the length 1.
A circle is 360 degree and we got 8 lines. $$\frac{360}{8}=45$$ So we got now (look picture). we know x value is cos and y value is sin so we know
$$A=(1,0)$$
$$B=(\frac{1}{\sqrt{2}},\frac{1}{\sqrt{2}})$$
$$C=(-\frac{1}{\sqrt{2}},\frac{1}{\sqrt{2}})$$
$$D=(-1,0)$$
$$E=(-\frac{1}{\sqrt{2}},-\frac{1}{\sqrt{2}})$$
$$F=(\frac{1}{\sqrt{2}},-\frac{1}{\sqrt{2}})$$
That means
$$AC=(-\frac{1}{\sqrt{2}}-1,\frac{1}{\sqrt{2}})$$
$$AD=(-2,0)$$
----
$$AB=(\frac{1}{\sqrt{2}}-1,\frac{1}{\sqrt{2}})$$
$$AE=(-\frac{1}{\sqrt{2}}-1,-\frac{1}{\sqrt{2}})$$
$$AF=(\frac{1}{\sqrt{2}}-1,-\frac{1}{\sqrt{2}})$$
So now I got all point but got problem to determine our cordinate with our base. View attachment 727
 

Attachments

  • math.png
    math.png
    3.4 KB · Views: 120
Last edited:

Similar threads

Replies
17
Views
3K
  • · Replies 1 ·
Replies
1
Views
3K
  • · Replies 3 ·
Replies
3
Views
4K
  • · Replies 4 ·
Replies
4
Views
4K
  • · Replies 11 ·
Replies
11
Views
4K
Replies
11
Views
4K
Replies
4
Views
4K
  • · Replies 5 ·
Replies
5
Views
3K
  • · Replies 51 ·
2
Replies
51
Views
5K
  • · Replies 10 ·
Replies
10
Views
4K