Correspondence Theorem for Groups .... Another Question ....

  • Context: Undergrad 
  • Thread starter Thread starter Math Amateur
  • Start date Start date
  • Tags Tags
    Groups Theorem
Click For Summary

Discussion Overview

The discussion revolves around the Correspondence Theorem for groups, specifically focusing on the proof of Proposition 1.82 from Rotman's "Advanced Modern Algebra." Participants seek clarification on the surjectivity of a function related to subgroups and the properties of preimages in group homomorphisms.

Discussion Character

  • Technical explanation
  • Mathematical reasoning
  • Homework-related

Main Points Raised

  • Peter asks how the preimage of a subgroup, ##\pi^{-1}(U)##, is a subgroup of ##G## containing ##K##, and how it relates to the surjectivity of ##\Phi##.
  • Math_QED suggests proving that the preimage of a subgroup is a subgroup and confirms that ##K \subseteq \pi^{-1}(U)##.
  • Peter reflects on Math_QED's suggestions and attempts to show that ##\pi^{-1}(U) \neq \emptyset## and that it satisfies subgroup properties.
  • Math_QED acknowledges Peter's reasoning but points out a misunderstanding regarding the notation of preimages and emphasizes the importance of showing that ##1_{G/K} \in U##.
  • Peter seeks confirmation on his reasoning about the subgroup properties of ##\pi^{-1}(U)## and the implications for surjectivity.

Areas of Agreement / Disagreement

Participants generally agree on the properties of preimages and subgroup criteria, but there are points of clarification and correction regarding notation and reasoning that remain unresolved.

Contextual Notes

There are limitations in the clarity of notation regarding preimages and the conditions under which certain statements hold. The discussion also reflects varying levels of understanding of subgroup properties and the implications for the Correspondence Theorem.

Math Amateur
Gold Member
MHB
Messages
3,920
Reaction score
48
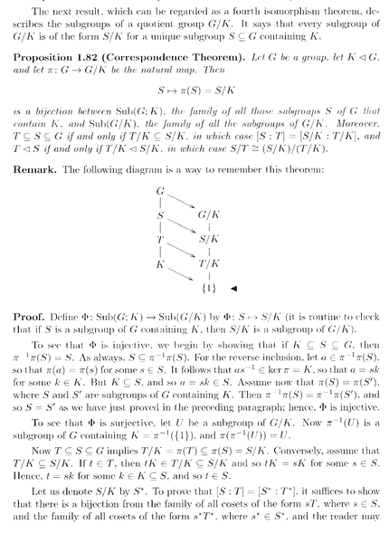
I am reading the book: "Advanced Modern Algebra" (Second Edition) by Joseph J. Rotman ...

I am currently focused on Chapter 1: Groups I ...

I need help with an aspect of the proof of Proposition 1.82 (Correspondence Theorem) ...

Proposition 1.82 reads as follows:
Rotman - 1 - Proposition 1.82 ... .png

Rotman - 2 - Proposition 1.82 ... .PART 2 .png

In the above proof by Rotman we read the following:

" ... ... To see that ##\Phi## is surjective, let ##U## be a subgroup of ##G/K##. Now ##\pi^{-1} (U)## is a subgroup of ##G## containing ##K = \pi^{-1} ( \{ 1 \} )##, and ##\pi ( \pi^{-1} (U) ) = U## ... ... "My questions on the above are as follows:
Question 1

How/why is ##\pi^{-1} (U)## is a subgroup of ##G## containing ##K##? And further, how does ##\pi^{-1} (U) = \pi^{-1} ( \{ 1 \} )## ... ... ?
Question 2

How/why exactly do we get ##\pi ( \pi^{-1} (U) ) = U##? Further, how does this demonstrate that ##\Phi## is surjective?
Help will be much appreciated ...

Peter
 

Attachments

  • Rotman - 1 - Proposition 1.82 ... .png
    Rotman - 1 - Proposition 1.82 ... .png
    47.7 KB · Views: 601
  • Rotman - 2 - Proposition 1.82 ... .PART 2 .png
    Rotman - 2 - Proposition 1.82 ... .PART 2 .png
    13.6 KB · Views: 499
Physics news on Phys.org
Hi Peter

Question 1:

The preimage of a subgroup of the codomain is always a subgroup of the domain. Try to prove this using the characterisation of subgroups

(i.e., show that ##\pi^{-1}(U) \neq \emptyset## and ##a,b \in \pi^{-1}(U) \implies ab^{-1} \in \pi^{-1}(U)##)

##K \subseteq \pi^{-1}(U)## because ##K = \pi^{-1}(\{1\}) = \pi^{-1}(\{e_{G/K}\})##

Question 2:

Furthermore, for any surjective function:

##\pi(\pi^{-1}(U)) = U##.

Try to prove this (set theory question, has nothing to do with groups)

This shows that ##\Phi## is surjective, because you took an arbitrary ##U## subgroup of ##G/K## and then show that ##\Phi(\pi^{-1}(U)) = \pi^{-1}(U)/K =\pi(\pi^{-1}(U)) = U##.

Note that it is important here that ##\pi^{-1}(U)## contains ##K##, otherwise the quotient is not well defined.
 
Thanks Math_QED ... appreciate your help and support...

Just now reflecting on what you have written ...

Peter
 
Hi Math_QED ...

Taking up your suggestion ...We have that ##U## is a subgroup of ##G/K## ...

Want to show that ##\pi^{-1} (U) \neq \emptyset## and that ##a,b \in \pi^{-1} (U) \Longrightarrow ab^{-1} \in \pi^{-1} (U)##Now ...

##\pi( 1_G ) = 1_{ G/K } \Longrightarrow \pi^{-1} ( 1_{ G/K } ) = 1_G##

##\Longrightarrow \pi^{-1} (U) \neq \emptyset##Now ...

... let ##a, b \in \pi^{-1} (U)##

##\Longrightarrow \pi(a), \pi(b) \in U##

##\Longrightarrow \pi(a), [ \pi(b) ]^{-1} \in U## since ##U## is a subgroup ...

##\Longrightarrow \pi(a), \pi( b^{-1} ) \in U## since ##\pi## is a homomorphism ...

##\Longrightarrow \pi(a) \pi( b^{-1} ) \in U## since ##U## is a subgroup ...

##\Longrightarrow \pi( a b^{-1} ) \in U## since ##\pi## is a homomorphism ...

##\Longrightarrow a b^{-1} \in \pi^{-1} (U)## ...

Therefore ##\pi^{-1} (U)## is a subgroup of ##G## ...Is that correct ...?

Peter
 
Math Amateur said:
Is that correct ...?
Yes, it is.
 
  • Like
Likes   Reactions: Math Amateur
Math Amateur said:
Hi Math_QED ...

##\pi( 1_G ) = 1_{ G/K } \Longrightarrow \pi^{-1} ( 1_{ G/K } ) = 1_G##

##\Longrightarrow \pi^{-1} (U) \neq \emptyset##Is that correct ...?

Peter

The idea is correct, but the line

##\pi( 1_G ) = 1_{ G/K } \Longrightarrow \pi^{-1} ( 1_{ G/K } ) = 1_G##

doesn't make sense. The preimage is a set, and can't be equal to something that isn't a set. Even if you would have written ##\{1_G\}##, it wouldn't be correct though.

Notice that ##\pi^{-1}(1_{G/K})## is shorthand notation for ##\pi^{-1}(\{1_{G/K}\})##. We are not talking about inverse functions here.

You should rather write ##\pi(1_G) = 1_{G/K} \in U##, which means that ##1_G \in \pi^{-1}(U)##. Can you explain me why ##1_{G/K} \in U##? This is essential here.

The rest is correct.
 
Last edited by a moderator:
  • Like
Likes   Reactions: Math Amateur and fresh_42

Similar threads

  • · Replies 2 ·
Replies
2
Views
1K
  • · Replies 5 ·
Replies
5
Views
2K
Replies
2
Views
2K
  • · Replies 26 ·
Replies
26
Views
2K
  • · Replies 13 ·
Replies
13
Views
2K
  • · Replies 7 ·
Replies
7
Views
3K
  • · Replies 1 ·
Replies
1
Views
3K
  • · Replies 1 ·
Replies
1
Views
1K
  • · Replies 8 ·
Replies
8
Views
3K
  • · Replies 3 ·
Replies
3
Views
6K