Efficient Solution for Dividing Matrices: B/A Calculation Explained

Click For Summary

Homework Help Overview

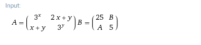
The discussion revolves around the division of two matrices, specifically the expression B/A, where the matrices A and B are presented in a somewhat ambiguous context. Participants express confusion regarding the notation and the definitions of A and B, particularly since A and B appear to be used both as matrix symbols and as elements within matrix B.

Discussion Character

  • Mixed

Approaches and Questions Raised

  • Participants explore the implications of interpreting B/A as BA-1, while questioning the definitions of A and B within the matrices. There are discussions about the complexity of finding the inverse of A and the potential need for additional context from the source material.

Discussion Status

The conversation is ongoing, with participants seeking clarification on the definitions and context of the matrices involved. Some have suggested that without further information, the problem remains challenging and ambiguous. There is no clear consensus on how to proceed, but various interpretations and approaches are being explored.

Contextual Notes

Participants note the lack of information regarding the sizes of the matrices, the specific chapter of the book, and whether A and B refer to the same entities in different contexts. The original poster mentions that the problem is taken from an exam in a foreign language, adding to the complexity of interpretation.

patric44
Messages
308
Reaction score
40
Homework Statement
the division of two matrices A , B .
Relevant Equations
B/A = A^-1 . B = ( 1/delta)(A after changing the sign....) ( B )
he is asking for the division of the two matrices , so i tried to get the inverse of the matrix A but it appears to get more complex as the delta for A is somehow a big equation . and what really bothers me that there is another A , B inside the matrix B ?!
find B/A .
matrix.png
 
Last edited:
Physics news on Phys.org
This makes no sense, so the ##A,B## inside of the matrix ##B## have to be just other numbers or functions. Write them as ##a,b## and multiply the matrices. Everything else needs more context and clarification.
 
the book wrote it just like that , and there is no other statements for the question it gives the two matrices and asks for B/A , i don't really know which A,B he wants , the one inside the matrix or the matrices it self since he gave them the same symbols A,B ??!
 
patric44 said:
the book wrote it just like that , and there is no other statements for the question it gives the two matrices and asks for B/A , i don't really know which A,B he wants , the one inside the matrix or the matrices it self since he gave them the same symbols A,B ??!
What else should ##B/A## mean than ##BA^{-1}## for the matrices? Without further information, there is no way to get hold on the variables ##A,B## within the matrix ##B##.

If this is really all, i.e. no information about the chapter of the book it belongs to, whether either version of ##A,B## has a previously mentioned context, e.g. Jacobi matrices, or anything, no separation mark between the matrices, no information about the sizes of ##A,B## or domain, well - then - get another book!
 
Besides what @fresh_42 wrote, your Relevant Equation doesn't make much sense, either.
B/A = A^-1 . B = ( 1/delta)(A after changing the sign...) ( B )
The puzzling parts are 1/delta and "A after changing the sign..."
For the first, do you mean the determinant of A?
For the second, there is a formula for the inverse of a 2 x 2 matrix, but it is a bit more than just changing the signs.

For example, if ##A = \begin{bmatrix} a & b \\ c & d\end{bmatrix}## then
##A^{-1} = \frac 1 {ad - bc}\begin{bmatrix} d & -b \\ -c & a\end{bmatrix}##
This formula assumes that the determinant, ad - bc, isn't zero.

If this is what you meant, the problem would be straightforward, if we knew what numbers A and B are inside matrix B.
 
Mark44 said:
Besides what @fresh_42 wrote, your Relevant Equation doesn't make much sense, either.

The puzzling parts are 1/delta and "A after changing the sign..."
For the first, do you mean the determinant of A?
For the second, there is a formula for the inverse of a 2 x 2 matrix, but it is a bit more than just changing the signs.

For example, if ##A = \begin{bmatrix} a & b \\ c & d\end{bmatrix}## then
##A^{-1} = \frac 1 {ad - bc}\begin{bmatrix} d & -b \\ -c & a\end{bmatrix}##
This formula assumes that the determinant, ad - bc, isn't zero.

If this is what you meant, the problem would be straightforward, if we knew what numbers A and B are inside matrix B.
thats what i meant , that's why i put ... after the word changing the sign , it apears straightforward before you got the 1/ delta . it becomes more complex after multiplying by 1/delta and it would become complexer by multiplying A^-1 . B ?
 
patric44 said:
the book wrote it just like that
Can you give the reference?
 
DrClaude said:
Can you give the reference?
it was taken from an exam inside an algebra book written in another language .
the person how gave me this question as a challenge says that A,B inside the matrices is the same matrices it self after taken the determinant for each of them . and he said that he would give me 50$ if i answers it :)
 
So you mean ##A## is as given and ##B=\begin{bmatrix}25&\det B\\ \det A & 5\end{bmatrix}## and you are looking for ##\dfrac{\det B}{\det A}\,?## What prevents you from calculation?
 
  • #10
fresh_42 said:
So you mean ##A## is as given and ##B=\begin{bmatrix}25&\det B\\ \det A & 5\end{bmatrix}## and you are looking for ##\dfrac{\det B}{\det A}\,?## What prevents you from calculation?
the book just wrote B/A , don't know if its B/A or he meant det B / det A , since he didn't introduce any further information ?

i already tried to calculate it but it gets more complex as i went further with the calculation , first i got A^-1 which comes out as a big matrix full with x,y and then i tried to multiply A^-1 with B but again its a very big matrix and iam kinda stuck here , i didn't try to get det A , and det B and put them inside the matrix and try the whole process again with the dets inside the matrices ?!
so what iam asking is there's any other short cut or any tool that i could try to simplify it a little bit ? or i have to put the dets inside and try again .
 
  • #11
You will have make a decision to determine what is what. ##BA^{-1}## as matrix is quite easy, and so is the quotient in my previous post. But nobody can say for sure how this chaos is meant.
 

Similar threads

  • · Replies 69 ·
3
Replies
69
Views
11K
  • · Replies 4 ·
Replies
4
Views
2K
  • · Replies 9 ·
Replies
9
Views
3K
  • · Replies 5 ·
Replies
5
Views
2K
Replies
2
Views
2K
Replies
3
Views
4K
  • · Replies 2 ·
Replies
2
Views
2K
  • · Replies 2 ·
Replies
2
Views
3K
  • · Replies 1 ·
Replies
1
Views
2K
  • · Replies 4 ·
Replies
4
Views
5K