Equation 16: Missing dt Term Without f(t)?

  • Context: Undergrad 
  • Thread starter Thread starter theycallmevirgo
  • Start date Start date
Click For Summary

Discussion Overview

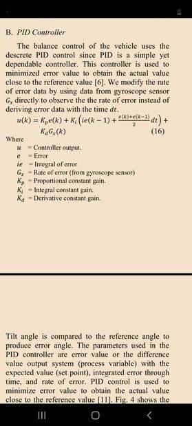
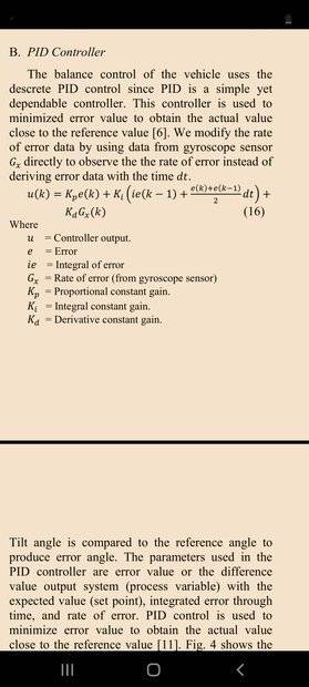
The discussion revolves around the presence of a dt term in equation 16, which some participants note appears without an accompanying function f(t). The context includes considerations of notation in mathematical equations, particularly in relation to integrals and time derivatives within dynamic systems or control theory.

Discussion Character

  • Debate/contested
  • Technical explanation
  • Conceptual clarification

Main Points Raised

  • One participant questions the absence of f(t) alongside the dt term in equation 16, suggesting a potential misunderstanding.
  • Another participant proposes that dt could represent a small time interval, although they acknowledge the need for more context.
  • Some participants note that the notation may imply an integral with respect to time, emphasizing the importance of context in interpreting the equation.
  • A participant references a related equation from PID controller theory, suggesting a connection to the notation used in the discussion.
  • There is a suggestion that in dynamic systems, it is common to omit the range on integrals, with the understanding that it encompasses all relevant history.
  • One participant raises the idea of assuming f(t) equals 1, questioning the necessity of including it in the equation.
  • Another participant agrees with the assumption but expresses confusion over the inclusion of the dt term if that is the case.
  • A later reply indicates that the result of the integral may not simply yield a neutral value, suggesting that the computation could be more complex than initially assumed.

Areas of Agreement / Disagreement

Participants express differing views on the interpretation of the dt term and its relationship to f(t). There is no consensus on the necessity or implications of including these terms in the equation, indicating ongoing debate and uncertainty.

Contextual Notes

Participants highlight the potential for contextual notation to influence interpretation, and there are unresolved questions regarding the assumptions made about the integral and the function f(t).

theycallmevirgo
Messages
108
Reaction score
25
TL;DR
How can an equation contain a time derivative without any f(t)?
In equation 16 they seem to have a dt term without f(t). Am I missing something?
 

Attachments

  • Screenshot_20211013-131215_ReadEra.jpg
    Screenshot_20211013-131215_ReadEra.jpg
    28.7 KB · Views: 147
Physics news on Phys.org
reckon ##dt## is just supposed to be some time interval, maybe smallish (can't say without seeing the book)
 
  • Like
Likes   Reactions: theycallmevirgo and PeroK
theycallmevirgo said:
Summary:: How can an equation contain a time derivative without any f(t)?

In equation 16 they seem to have a dt term without f(t). Am I missing something?
Context is everything here. It looks more like there's an integral with respect to time in there, but it's highly contextual notation.
 
  • Like
Likes   Reactions: theycallmevirgo and ergospherical
PeroK said:
Context is everything here. It looks more like there's an integral with respect to time in there, but it's highly contextual notation.
fwiw I'm assuming the formula in the picture is the same one as (or a variation of) this here:
https://en.wikipedia.org/wiki/PID_controller#Controller_theory

the bit in the brackets in the picture corresponding to ##\int e(\tau) d\tau## on the wiki version
 
  • Like
Likes   Reactions: theycallmevirgo, DaveE and PeroK
Well, I guess if you don't need to put the range on an integral, why bother with the integral sign at all?
 
  • Like
Likes   Reactions: theycallmevirgo
PeroK said:
Well, I guess if you don't need to put the range on an integral, why bother with the integral sign at all?
Yes, I agree their notation sucks.
In dynamic systems (control systems) it is common to leave the range out, with an assumption it's "all relevant history". This is because most of the interest is in the behavior (stability, etc.), not the actual operating points. One of the cheats you get from linear systems, the integral can be treated like an operator; it might not matter what the actual value is.
 
  • Informative
  • Like
Likes   Reactions: theycallmevirgo and PeroK
Don't we just assume ## f(t)== 1 ##? I mean, we have ##\int dt =t ##
 
WWGD said:
Don't we just assume ## f(t)== 1 ##? I mean, we have ##\int dt =t ##
That's exactly what I thought, originally. But if so, why include it at all?
 
theycallmevirgo said:
That's exactly what I thought, originally. But if so, why include it at all?
Because the result is not necessarily " neutral" when computed. You will not just ( necessarily) get a 1 multiplying . Edit: On my phone, will give you more thorough answer tmw when I get to my pc.
 

Similar threads

  • · Replies 8 ·
Replies
8
Views
3K
  • · Replies 7 ·
Replies
7
Views
918
  • · Replies 3 ·
Replies
3
Views
3K
  • · Replies 2 ·
Replies
2
Views
1K
  • · Replies 9 ·
Replies
9
Views
4K
  • · Replies 4 ·
Replies
4
Views
3K
  • · Replies 6 ·
Replies
6
Views
1K
  • · Replies 3 ·
Replies
3
Views
1K
  • · Replies 3 ·
Replies
3
Views
3K
  • · Replies 2 ·
Replies
2
Views
2K