Evaluating the boundary conditions for a rectangular pipe

Click For Summary

Homework Help Overview

The discussion revolves around evaluating boundary conditions for a rectangular pipe aligned with the z-axis. The original poster presents specific boundary conditions related to potential V and seeks clarification on the fourth condition, which leads to confusion regarding the formulation of the potential function.

Discussion Character

  • Exploratory, Assumption checking, Conceptual clarification

Approaches and Questions Raised

  • Participants discuss the validity of the boundary conditions and the implications of using odd versus even integers for n in the summation. There is also exploration of the Fourier method and its application to the problem.

Discussion Status

The discussion is ongoing, with participants providing feedback on each other's reasoning and notation. Some guidance has been offered regarding the summation of n values, but there is no explicit consensus on the correct approach to take.

Contextual Notes

There is a noted confusion regarding the application of boundary conditions and the implications of choosing odd or even integers for n, which affects the potential function. The original poster has acknowledged mistakes in their reasoning and is seeking further clarification.

guyvsdcsniper
Messages
264
Reaction score
37
Homework Statement
Find the potential V (x,y) at all points across the section of this pipe.
Relevant Equations
dv/dx=0
I have attached an image of the pipe in the attachmnts. The pipe is parallel to z-axis form (-∞,∞) and sides of length a.

So my boundary conditions for this problem are as follows
1.) V=0 at y=0
2.)V=0 at y=a
4.)∂v/∂x=0 @ x=0
3.)V0 @ x=a

I am a little confused on the fourth boundary condition only because my answer doesn't seem to match up with what I have found on the internet.

When solving B.C 4 and simplify i get, V0=Csin(nπy/a)(cosh(nπ)/2)

The answer I found gives V0=2Csin(nπy/a)(cosh(nπ))

Im not sure how they are getting the equation to be a multiple of 2 when the identity of (ex+e-x)=cosh(x)/2

The solution I found is the image that looks scanned. My work is the image that is in blue and black ink.
1601528208470_CamScanner10-01-202010.24.12_3.png
Screen Shot 2022-03-07 at 10.15.12 PM.png
Screen Shot 2022-03-07 at 9.42.37 PM.png
 
Physics news on Phys.org
quittingthecult said:
the identity of (ex+e-x)=cosh(x)/2
Are you quite sure about that?
 
  • Like
Likes   Reactions: Orodruin
haruspex said:
Are you quite sure about that?
:oops: i totally messed that up. I swore I saw it like that when I looked that up last night.
 
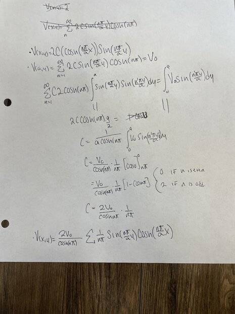
So i finished solving the problem after correcting my mistake. I used the Fourier trick shown in my book to kind of help lead me through solving this problem.

I guess now is to just choose what n will be in the summation. I believe it should be odd non negative integers because if I have an even number for n, sin will be zero and the whole potential function will be zero.

Does this seem correct?

IMG_8571.JPG
 
quittingthecult said:
So i finished solving the problem after correcting my mistake. I used the Fourier trick shown in my book to kind of help lead me through solving this problem.

I guess now is to just choose what n will be in the summation. I believe it should be odd non negative integers because if I have an even number for n, sin will be zero and the whole potential function will be zero.

Does this seem correct?

View attachment 298142
Your answer doesn’t make sense because you have an n outside the summation.
You can always check the answer to such a question by seeing whether it satisfies all the equations you started with.
(I was also thrown at first by your notation, writing cosn for cosine instead of just cos.)
 
haruspex said:
(I was also thrown at first by your notation, writing cosn for cosine instead of just cos.)
It is cosh, not cosn. Still, as you say, n cannot be outside the sum of course.
 
Orodruin said:
It is cosh, not cosn. Still, as you say, n cannot be outside the sum of course.
Ok, thanks. I had not read through the development.
 
To add to that, the sum is lacking any indication what the sum is taken over. Mid computation you have two cases (0 when n is even and 2 when n is odd), the sum should only be over odd n. Unless a sum is over all the range, it is very important to note what the sum is over.
 
Orodruin said:
To add to that, the sum is lacking any indication what the sum is taken over. Mid computation you have two cases (0 when n is even and 2 when n is odd), the sum should only be over odd n. Unless a sum is over all the range, it is very important to note what the sum is over.
I think that part of @quittingthecult's question is how to determine the values to sum over. The reason for only using odd n offered in post #4 doesn’t look right to me.
 
  • #10
Orodruin said:
To add to that, the sum is lacking any indication what the sum is taken over. Mid computation you have two cases (0 when n is even and 2 when n is odd), the sum should only be over odd n. Unless a sum is over all the range, it is very important to note what the sum is over.
Yea I can see having that cosh outside the summation is a big problem. Glaring mistake that I will fix.

I was holding out on identifying what n should be on the summation notation in hopes that I could get some feedback here before continuing.
My post may be a bit convoluted to follow as its not organized as good as can be,sorry about that.

So if I include that cosh into the summation (which I should of course, big mistake of mine). and you say the summation should only be when n is odd, but I have a sin(nπy/a). Letting n be odd is fine for cosh but would make sin go to zero which would make the potential go to zero.

So that's why I am confused about what interval n should be. Choosing odd or even essentially makes the potential go to zero
 
  • #11
quittingthecult said:
Choosing odd or even essentially makes the potential go to zero
Everywhere? It's ##\sin(\frac{n\pi y}{a})##, not ##\sin({n\pi })##
 
  • #12
haruspex said:
Everywhere? It's ##\sin(\frac{n\pi y}{a})##, not ##\sin({n\pi })##
Dang i didnt think about the y. I guess does make a big difference.

So then my answer should be correct, as long as n is in the interval of even numbers in the summation?
 
  • #13
I think this is the right answer, as long as I include the interval of n to be even non negative integers.

Screen Shot 2022-03-08 at 5.00.37 PM.png


My next task is to sketch the E field and Equipotential Contours in the pipe.

Honestly I am a little puzzled how to approach this. THis is my first time really dealing with this type of problem.
 
  • #14
quittingthecult said:
include the interval of n to be even non negative integers.
Not quite sure what you mean by that. The question to settle is whether the set of values for n should be (nonnegative) even, odd or both.
Consider symmetry and the x=a boundary. Try n=1 and n=2.
 
  • #15
haruspex said:
Not quite sure what you mean by that. The question to settle is whether the set of values for n should be (nonnegative) even, odd or both.
Consider symmetry and the x=a boundary. Try n=1 and n=2.
Well when x=a, odd makes the potential negative and even makes the potential positive.

So I guess that means it can be even and odd ?
 
  • #16
quittingthecult said:
Well when x=a, odd makes the potential negative and even makes the potential positive.

So I guess that means it can be even and odd ?
x=a is a boundary, with y ranging from 0 to a. What does that graph look like for n=1 and n=2?
 
  • #17
haruspex said:
I think that part of @quittingthecult's question is how to determine the values to sum over. The reason for only using odd n offered in post #4 doesn’t look right to me.
##1-\cos(\pi n) = 0## if ##n## is even seems pretty right to me.
 
  • #18
Orodruin said:
##1-\cos(\pi n) = 0## if ##n## is even seems pretty right to me.
Ah... I was looking at the text, which says "sin will be zero". It should say "C will be zero".
 
  • #19
haruspex said:
Ah... I was looking at the text, which says "sin will be zero". It should say "C will be zero".
I agree that that needs some work. Essentially, OP has the right result but identifying the wrong reason for it when the actual reason is in the notes.
 
  • #20
Orodruin said:
I agree that that needs some work. Essentially, OP has the right result but identifying the wrong reason for it when the actual reason is in the notes.
Yea that that's a huge mistake on my part. sorry about that.
 

Similar threads

  • · Replies 4 ·
Replies
4
Views
2K
  • · Replies 8 ·
Replies
8
Views
2K
Replies
8
Views
2K
  • · Replies 3 ·
Replies
3
Views
2K
  • · Replies 18 ·
Replies
18
Views
2K
  • · Replies 2 ·
Replies
2
Views
4K
  • · Replies 5 ·
Replies
5
Views
1K
  • · Replies 4 ·
Replies
4
Views
3K
  • · Replies 5 ·
Replies
5
Views
1K