Exponential growth and compound interest

Click For Summary

Homework Help Overview

The discussion revolves around understanding exponential growth and compound interest, specifically focusing on the accuracy of calculations and the impact of rounding on results.

Discussion Character

  • Mathematical reasoning, Assumption checking

Approaches and Questions Raised

  • Participants are attempting to verify their methods and solutions related to compound interest calculations. Questions about the accuracy of rounding and its implications on the final answer are raised.

Discussion Status

Some participants have provided feedback on the accuracy of the calculations, noting discrepancies in results. There is an ongoing exploration of the effects of rounding on the answers, with no explicit consensus reached on the best approach to rounding.

Contextual Notes

Participants have mentioned the importance of maintaining calculator accuracy during computations and the need to avoid using identical thread titles for clarity in navigation.

alexandria
Messages
168
Reaction score
2

Homework Statement


upload_2016-5-23_19-49-18.png


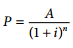
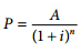
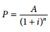
Homework Equations


upload_2016-5-23_19-49-28.png


The Attempt at a Solution


here is my attempted answer, can someone please verify if my method is accurate and if my solution is correct? thanks for the help!
upload_2016-5-23_19-50-8.png
 
Physics news on Phys.org
alexandria said:

Homework Statement


View attachment 101163

Homework Equations


View attachment 101164

The Attempt at a Solution


here is my attempted answer, can someone please verify if my method is accurate and if my solution is correct? thanks for the help!
View attachment 101165

Your method is OK, but I get $14644.18 instead of your $14598.54.

Also: do NOT use the exact same title "exponential growth and compound interest" for two different threads. When you do that it makes it harder for other readers/helpers to navigate your PF threads.
 
i think its because i didnt round 0.005208333
would my answer still be considered right, or is it better to round ??
 
alexandria said:
i think its because i didnt round 0.005208333
would my answer still be considered right, or is it better to round ??

Well, the correct answer is $14644.18, while your answer is $14598.54. Admittedly, the difference ($45.64) is not very large compared to the base values, but nevertheless one answer is not correct, no matter how you look at it.

As to rounding: I cannot answer that question because you do not specify what accuracy you round to. Generally, though, it is best to keep full calculator accuracy during your computations, and round off the answer only at the end.
 
ok got it, sorry for the late reply, but thanks for the help!
 

Similar threads

  • · Replies 2 ·
Replies
2
Views
2K
  • · Replies 8 ·
Replies
8
Views
3K
  • · Replies 3 ·
Replies
3
Views
2K
  • · Replies 24 ·
Replies
24
Views
3K
Replies
4
Views
3K
  • · Replies 29 ·
Replies
29
Views
4K
Replies
5
Views
2K
  • · Replies 3 ·
Replies
3
Views
2K
  • · Replies 7 ·
Replies
7
Views
4K
  • · Replies 4 ·
Replies
4
Views
3K