Exponential regression math 30 pure

Click For Summary
SUMMARY

The discussion centers on determining the inverse of the exponential regression equation y = (8.7166)(0.93240)^x. The user successfully derived the inverse as x = (8.7166)(0.93240)^y using logarithmic manipulation. The user also seeks clarification on whether to substitute x with -5 to solve for y and how to isolate x in the formula. Additionally, the user inquires about comparing the exponential regression model to a geometric sequence model for a given scenario.

PREREQUISITES
  • Understanding of exponential functions and their properties
  • Familiarity with logarithmic equations and manipulation
  • Knowledge of regression analysis concepts
  • Basic understanding of geometric sequences
NEXT STEPS
  • Study the process of deriving inverses for exponential functions
  • Learn about comparing different mathematical models, specifically exponential regression vs. geometric sequences
  • Explore the application of logarithms in solving exponential equations
  • Investigate real-world scenarios where exponential regression is applicable
USEFUL FOR

Students studying mathematics, particularly those focused on regression analysis and exponential functions, as well as educators looking for examples of mathematical problem-solving techniques.

cathoderay
Messages
16
Reaction score
0

Homework Statement


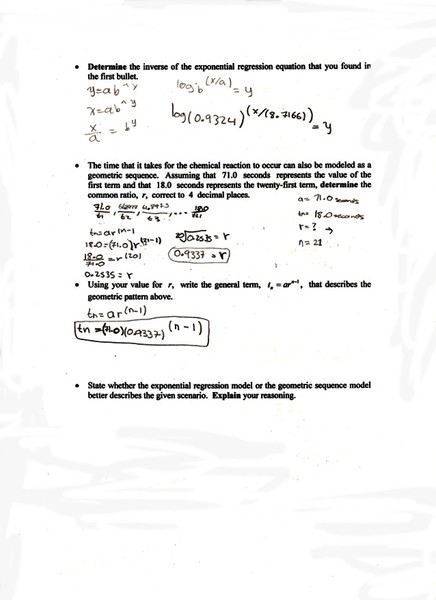
Determine the inverse of the exponential regression equation that you foun in the first bullet.


Homework Equations



y=ab^x

The Attempt at a Solution



  • in the first bullet i got the equation

y= (8.7166)(0.93240)^x

  • then i found using logs that x = -5

so the exponential regresion inverse

would be

x= (8.7166)(0.93240)^y
  • this wil become
log(0.9324)^(x / 8.7166)=y

  • so would that be the answerd ..or would i have to replace the x for the -5 and then solve for y
  • and isolate x to leave the formula as x=ab^y were i have all the values for a b and y ...??

thank in advance for your help and time reading my Thread .
 
Physics news on Phys.org
hello one more thing ..
the next bullet ask me the following...

  • state whether the exponential regression model or the geometric sequence model better describes the given scenario.(explain your reasoning)

what are thay asking me to do..could anyone refrace that i don't understant even wht it means...thanks..
 
this athachement are part of the 1st post... it shows other parts of the same question mentioned...
thanks..
 

Attachments

  • math 1.jpg
    math 1.jpg
    36.3 KB · Views: 430
  • math 2.jpg
    math 2.jpg
    24.4 KB · Views: 474

Similar threads

Replies
4
Views
3K
  • · Replies 4 ·
Replies
4
Views
2K
  • · Replies 13 ·
Replies
13
Views
4K
Replies
3
Views
3K
  • · Replies 3 ·
Replies
3
Views
5K
  • · Replies 4 ·
Replies
4
Views
2K
  • · Replies 8 ·
Replies
8
Views
4K
  • · Replies 69 ·
3
Replies
69
Views
11K
Replies
2
Views
2K
  • · Replies 5 ·
Replies
5
Views
2K