Expression, modular arithmetic

  • Thread starter Thread starter bremenfallturm
  • Start date Start date
  • Tags Tags
    Algebra Arithmetic
Click For Summary

Homework Help Overview

The discussion revolves around evaluating an expression in modular arithmetic, specifically within the context of \(\mathbb{Z}_{17}\). Participants are exploring the evaluation of the expression \(15 \cdot 16 - 7(9 + 10) + 11\) and addressing misunderstandings related to modular operations.

Discussion Character

  • Exploratory, Conceptual clarification, Mathematical reasoning

Approaches and Questions Raised

  • Participants discuss various methods for evaluating the expression, including the use of equivalences in modular arithmetic. Questions arise regarding the handling of negative numbers and the simplification of terms within the modular system.

Discussion Status

Some participants have provided guidance on the correct application of modular arithmetic principles, noting specific equivalences and simplifications. There is recognition of misunderstandings in the original poster's calculations, and a productive dialogue is ongoing regarding the evaluation process.

Contextual Notes

Participants note that the original poster may have misunderstood the distinction between evaluating an expression and solving an equation, which is contributing to the confusion in the discussion.

bremenfallturm
Messages
81
Reaction score
13
Homework Statement
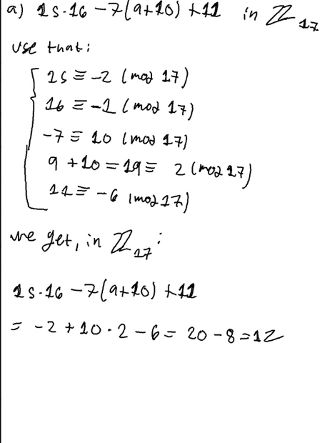
Solve ##15\cdot 16-7(9+10)+11## in ##\mathbb Z_{17}##
Relevant Equations
Given a number ##a\equiv b \pmod n##, ##a+c\equiv b+c \pmod n##
This is basic modular arithmetic but I just can't get it to work no mather how many different methods I try.
I probably have failed to understand some basics of modular algebra...
1726766286268.png

Help is appreciated!
Correct is supposed to be ##16##
 
Physics news on Phys.org
Taking the remainder respects multiplication and addition. Whenever you get a number greater than ##16## you can reduce it by its remainder. E.g. ##15\cdot 16=240=17\cdot 14+2## so ##15\cdot 16 \equiv 2 \pmod{17}## and the same holds for ##9+10## etc. Negative numbers become positive by e.g. ##-14=(-1)\cdot 17 +3 \equiv 3\pmod{17}.##
 
bremenfallturm said:
Homework Statement: Solve ##15\cdot 16-7(9+10)+11## in ##\mathbb Z_{17}##
Relevant Equations: Given a number ##a\equiv b \pmod n##, ##a+c\equiv b+c \pmod n##

This is basic modular arithmetic but I just can't get it to work no mather how many different methods I try.
I probably have failed to understand some basics of modular algebra...
View attachment 351313
Help is appreciated!
Correct is supposed to be ##16##

You correctly found [itex]15 \equiv -2[/itex] and [itex]16 \equiv -1[/itex], but when you multiplied these together you somehow got [itex]-2[/itex] instead of [itex]2[/itex]. The rest of of your working is correct, but more complicated than necessary. [itex]7 \equiv 7[/itex] and [itex]19 \equiv 2[/itex], so [itex]7 \cdot 19 \equiv 14[/itex]; [itex]11 \equiv 11[/itex]. Thus [tex] 15 \cdot 16 - 7(10 + 9) + 11 \equiv 2 - 14 + 11 \equiv 2 - 3 \equiv -1 \equiv 16.[/tex]
 
bremenfallturm said:
Homework Statement: Solve ##15\cdot 16-7(9+10)+11## in ##\mathbb Z_{17}##
Minor nit -- The above is an expression, so you're not asked to "solve" it, but only to evaluate it. You can solve equations or inequalities that involve unknown variables.
 
  • Like
Likes   Reactions: Gavran and SammyS
pasmith said:
You correctly found [itex]15 \equiv -2[/itex] and [itex]16 \equiv -1[/itex], but when you multiplied these together you somehow got [itex]-2[/itex] instead of [itex]2[/itex]. The rest of of your working is correct, but more complicated than necessary. [itex]7 \equiv 7[/itex] and [itex]19 \equiv 2[/itex], so [itex]7 \cdot 19 \equiv 14[/itex]; [itex]11 \equiv 11[/itex]. Thus [tex] 15 \cdot 16 - 7(10 + 9) + 11 \equiv 2 - 14 + 11 \equiv 2 - 3 \equiv -1 \equiv 16.[/tex]
Thank you! I understand what I did wrong now. Calculating in ##\mathbb Z_n$$ is obviously something you need to get used to :) I'll practise more and ask further questions in a new topic if I need more help!
Mark44 said:
Minor nit -- The above is an expression, so you're not asked to "solve" it, but only to evaluate it. You can solve equations or inequalities that involve unknown variables.
I see, of course I meant "calculate". Sorry!
 

Similar threads

  • · Replies 2 ·
Replies
2
Views
2K
Replies
3
Views
2K
Replies
2
Views
4K
  • · Replies 2 ·
Replies
2
Views
3K
Replies
1
Views
2K
Replies
1
Views
2K
  • · Replies 13 ·
Replies
13
Views
3K
  • · Replies 1 ·
Replies
1
Views
1K
  • · Replies 2 ·
Replies
2
Views
3K
  • · Replies 5 ·
Replies
5
Views
9K