Find h in the problem involving a stone thrown upwards

  • Thread starter Thread starter chwala
  • Start date Start date
  • Tags Tags
    equation
Click For Summary

Homework Help Overview

The discussion revolves around a physics problem involving a stone thrown upwards, specifically focusing on finding the height (h) using different sign conventions and equations of motion. The subject area includes kinematics and the application of equations related to projectile motion.

Discussion Character

  • Mixed

Approaches and Questions Raised

  • Participants explore different sign conventions for the motion of the stone, with some using upwards as positive and others using downwards as positive. There is discussion about the correctness of the approaches taken by the original poster and the referenced tutor, as well as the implications of rounding answers for significant figures.

Discussion Status

The discussion is active with participants sharing their interpretations and approaches. Some participants note that both the original poster and the tutor arrived at the same answer despite using different conventions. There is an acknowledgment of the clarity in the steps provided for part (b) of the problem, and additional related problems are introduced for further exploration.

Contextual Notes

There is mention of a downloaded PDF that contains tutor references, which may influence the understanding of the problem setup. Participants also express the need to clarify assumptions regarding the sign conventions used in their calculations.

chwala
Gold Member
Messages
2,840
Reaction score
428
Homework Statement
See attached.
Relevant Equations
kinematics
Was the approach used by the referenced tutor correct?

1729371349877.png



In my understanding, the set up equation ought to be,
##s=-h, u=16## as the stone is being thrown upwards and ##g=-9.8##
giving me,

##-h = 64 - \dfrac{1}{2}×9.8 ×16##

##-h=-14.4##m

##h=14.4##m , or it does not really matter.
 
Last edited:
Physics news on Phys.org
Your tutor used a sign convention where downwards is positive.
You used a sign convention where upwards is positive.
You both solved the problem correctly and got the same answer.
One approach isn't better than the other IMO.

Edit: technically it would be better to round the final answer to 2 significant figures, for consistency with the given data.
 
  • Like
  • Informative
Likes   Reactions: MatinSAR, DeBangis21 and chwala
Steve4Physics said:
Your tutor used a sign convention where downwards is positive.
You used a sign convention where upwards is positive.
You both solved the problem correctly and got the same answer.
One approach isn't better than the other IMO.

Edit: technically it would be better to round the final answer to 2 significant figures, for consistency with the given data.
Not my tutor though ... the term 'tutor' was in reference to the attached downloaded pdf. Cheers though.
 
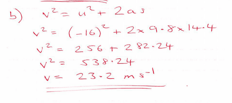
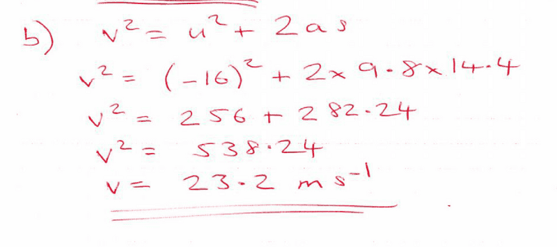
For part (b) this is clear,

1729374432048.png


but i can also use,

##v=u + at##

##v= 0 + 9.8(4-1.63265) = 23.2## m/s

I made use of ##\dfrac{ds}{dt}##, just incase the question on ##1.63## comes up.

cheers.
 
chwala said:
For part (b) this is clear,

View attachment 352465

but i can also use,

##v=u + at##

##v= 0 + 9.8(4-1.63265) = 23.2## m/s
Or even:
##v = u + at = 16 + (-9.8) \times 4 =-23.2## m/s
Speed = |v| = 23.2 m/s
 
  • Like
Likes   Reactions: MatinSAR and chwala
This is a related problem, allow me to post it here rather than start a new post;

1729376883959.png



The steps are clear;

also we could solve it by simultaneous equation, that is by use of velocity and distance formula (suvat), we shall have the simultaneous,

##34=u+10a##

##480=20u+100a##

##u=14## m/s.

cheers, great day.
 

Similar threads

  • · Replies 16 ·
Replies
16
Views
2K
Replies
1
Views
2K
  • · Replies 7 ·
Replies
7
Views
5K
  • · Replies 14 ·
Replies
14
Views
4K
Replies
2
Views
2K
  • · Replies 19 ·
Replies
19
Views
3K
  • · Replies 3 ·
Replies
3
Views
2K
Replies
5
Views
2K
  • · Replies 10 ·
Replies
10
Views
19K
  • · Replies 2 ·
Replies
2
Views
2K