Find $\left| a-b \right|$: Vectors and Magnitude

  • Context: MHB 
  • Thread starter Thread starter ineedhelpnow
  • Start date Start date
  • Tags Tags
    Magnitude Vectors
Click For Summary

Discussion Overview

The discussion revolves around finding the magnitude of the vector difference $\left| a-b \right|$ given the vectors $a$ and $b$. Participants explore vector addition, scalar multiplication, and the application of the Pythagorean theorem in calculating magnitudes. The context includes homework-related queries and technical explanations of vector operations.

Discussion Character

  • Homework-related
  • Technical explanation
  • Debate/contested

Main Points Raised

  • One participant initially seeks help with finding $\left| a-b \right|$ after calculating other vector operations.
  • Another participant claims to have found the answer to $\left| a-b \right|$ as 10.
  • A different participant describes the process of vector addition and scalar multiplication, mentioning the use of the Pythagorean theorem for magnitude calculations.
  • One participant expresses confusion regarding the signs in their calculations for $a+b$ and $2a+3b$, indicating a misunderstanding of the operations involved.
  • Another participant acknowledges a mistake in their calculations related to the signs and expresses a humorous take on their error.

Areas of Agreement / Disagreement

Participants exhibit some agreement on the general approach to vector operations but also display confusion and disagreement regarding specific calculations and signs in their work. The discussion remains unresolved regarding the correctness of the calculations presented.

Contextual Notes

Some calculations may depend on the correct interpretation of vector components and operations, and there are indications of unresolved misunderstandings regarding signs in the calculations.

ineedhelpnow
Messages
649
Reaction score
0
find $a+b, 2a+3b, \left| a \right|, \left| a-b \right|$

$a=\left\langle 5,-12 \right\rangle$
$b=\left\langle -3,-6 \right\rangle$

ive found all of them except the last one. how to do i find $\left| a-b \right|$
 
Physics news on Phys.org
nvm i got it. answer's 10.
 
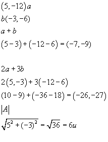
Ok this is my first question to answer
In a+b we sum components to components to get the result in tthe image

in 2a + 3b we multiply a by 2 y b by 3 then we aplly the methods of exercise 1

in A module we apply the pitagoprean formula to get the sqrt 36 = 6
View attachment 2978
Any observations please let me know
oh yes Module A is sqrt(5^2 + 12 ^2) = sqrt(169) = 13
 

Attachments

  • integral.gif
    integral.gif
    1.6 KB · Views: 112
Last edited:
here's what i did :) sorry for my handwriting. i did the problem real quick so it came out kind of sloppy. it should be right because that's what the back of my book has for answers.
View attachment 2979
 

Attachments

  • DSC00031.JPG
    DSC00031.JPG
    18.8 KB · Views: 112
you got a bit mixed up with the signs on the a+b and with 2a+3b there was a bit of confusion with what's a and b ;) but i think OVERALL we have the same idea in our steps :) thanks for your help though
 
ineedhelpnow said:
here's what i did :) sorry for my handwriting. i did the problem real quick so it came out kind of sloppy. it should be right because that's what the back of my book has for answers.
View attachment 2979

Since when is -12 + (-6) equal to -6?
 
since i dropped my brain and forgot to pick it up

- - - Updated - - -

actually my mistake there was that i put -(-6) instead of +(-6). if it were the other way i would be right :)
 

Similar threads

  • · Replies 6 ·
Replies
6
Views
3K
  • · Replies 2 ·
Replies
2
Views
2K
Replies
2
Views
2K
  • · Replies 5 ·
Replies
5
Views
4K
  • · Replies 1 ·
Replies
1
Views
2K
  • · Replies 6 ·
Replies
6
Views
3K
  • · Replies 10 ·
Replies
10
Views
5K
Replies
6
Views
2K
  • · Replies 4 ·
Replies
4
Views
2K