Find the derivative of the antiderivative

Click For Summary
SUMMARY

The discussion centers on applying the Fundamental Theorem of Calculus (FTOC) and the Chain Rule to find the derivative of an antiderivative with variable bounds. The formula provided, $$\frac{d}{dx}\int_{g(x)}^{h(x)} f(t)\,dt=f(h(x))\frac{dh}{dx}-f(g(x))\frac{dg}{dx}$$, is crucial for solving the problem. The user seeks clarification on how to correctly implement this formula, particularly regarding the handling of bounds and potential need for splitting the integral. The solution involves correctly identifying the functions and their derivatives at the bounds.

PREREQUISITES
  • Understanding of the Fundamental Theorem of Calculus (FTOC)
  • Knowledge of the Chain Rule in calculus
  • Familiarity with definite integrals and their properties
  • Ability to differentiate functions with variable limits
NEXT STEPS
  • Review the Fundamental Theorem of Calculus and its applications
  • Practice problems involving the Chain Rule with integrals
  • Explore examples of differentiating integrals with variable limits
  • Study techniques for splitting integrals when necessary
USEFUL FOR

Students studying calculus, educators teaching integral calculus, and anyone looking to deepen their understanding of the relationship between differentiation and integration.

Umar
Messages
36
Reaction score
0
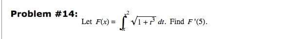
I know it seems pretty self explanatory, but I've tried to do this question and I've apparently gotten the wrong answer twice.

View attachment 6169

If anyone can give me a clear solution to the problem, that would be greatly aooreciated. I initially tried to follow a video I saw online, but I think there is something different I need to do considering the bounds. Maybe splitting the integral?
 

Attachments

  • received_1264397230298660.jpeg
    received_1264397230298660.jpeg
    3.3 KB · Views: 118
Physics news on Phys.org
By the FTOC and the Chain Rule, we have:

$$\frac{d}{dx}\int_{g(x)}^{h(x)} f(t)\,dt=f(h(x))\frac{dh}{dx}-f(g(x))\frac{dg}{dx}$$

Can you use this rule to compute $F'(x)$?
 

Similar threads

  • · Replies 11 ·
Replies
11
Views
3K
  • · Replies 6 ·
Replies
6
Views
6K
  • · Replies 3 ·
Replies
3
Views
3K
  • · Replies 13 ·
Replies
13
Views
2K
  • · Replies 15 ·
Replies
15
Views
3K
Replies
2
Views
2K
  • · Replies 6 ·
Replies
6
Views
5K
  • · Replies 4 ·
Replies
4
Views
4K
  • · Replies 2 ·
Replies
2
Views
2K
  • · Replies 5 ·
Replies
5
Views
2K