Finding the Axis of Rotation in a Rotational Dynamics Problem

Click For Summary
SUMMARY

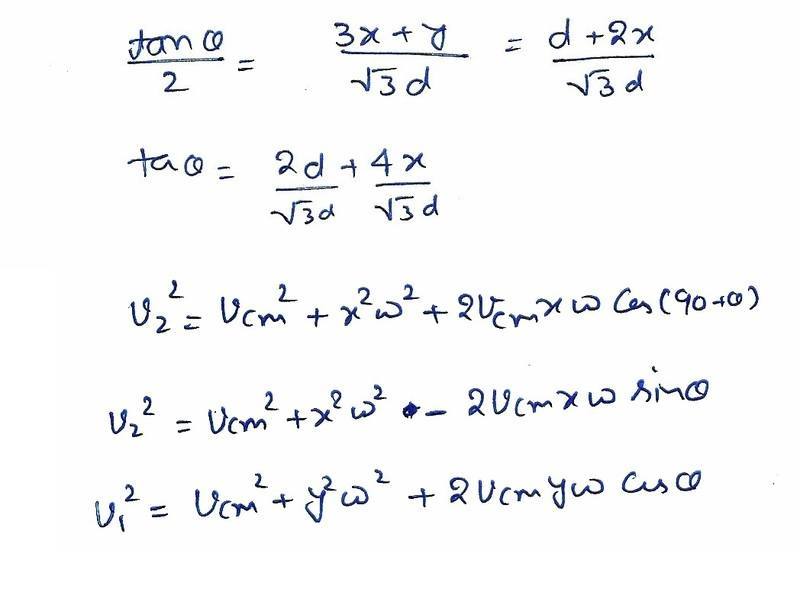
The discussion centers on determining the axis of rotation in a rotational dynamics problem. The user consistently arrives at option (a) but the correct answer is option (d). Key insights reveal that the axis of rotation is not at the center of the disc, as evidenced by the tangential velocities of points A and B. The solution emphasizes the importance of analyzing the direction of velocities relative to the circular paths to accurately locate the axis of rotation.

PREREQUISITES
  • Understanding of rotational dynamics principles
  • Familiarity with tangential velocity concepts
  • Knowledge of circular motion and its characteristics
  • Ability to interpret graphical representations of physics problems
NEXT STEPS
  • Study the principles of rotational dynamics in detail
  • Learn how to analyze tangential velocities in circular motion
  • Explore methods for locating axes of rotation in complex systems
  • Review graphical analysis techniques for physics problems
USEFUL FOR

Students and educators in physics, particularly those focusing on rotational dynamics, as well as anyone involved in solving complex mechanics problems.

thunderhadron
Messages
140
Reaction score
0
Hi friend I am really getting big problem in solving this question which is related to Rotational dynamics. Please help me in solving this. I will be heartily thankful to u all guys.

The question is as follows :


https://fbcdn-sphotos-f-a.akamaihd.net/hphotos-ak-ash3/549594_2636991701343_1266262284_n.jpg



I am always getting the answer as Option (a) But the answer of this question is (d).

I am attaching all the attempts as an jepg image along with it. Please friends go through it and Please help me.

The Attempt at a Solution


 

Attachments

  • attempt 1.jpg
    attempt 1.jpg
    26.3 KB · Views: 385
  • attempt 2.jpg
    attempt 2.jpg
    28.1 KB · Views: 415
Physics news on Phys.org
The axis of rotation is not located at the middle of the disc. This can be seen from the fact that the velocities are not perpendicular to a line drawn from the centre of the disc. Use the fact that the speeds are tangential to the circular paths that A and B follow about the axis of rotation to locate the position of the axis of rotation.
 

Similar threads

  • · Replies 7 ·
Replies
7
Views
2K
  • · Replies 5 ·
Replies
5
Views
2K
  • · Replies 5 ·
Replies
5
Views
2K
  • · Replies 10 ·
Replies
10
Views
2K
  • · Replies 3 ·
Replies
3
Views
2K
Replies
23
Views
3K
  • · Replies 4 ·
Replies
4
Views
2K
  • · Replies 2 ·
Replies
2
Views
2K
Replies
34
Views
4K
  • · Replies 5 ·
Replies
5
Views
2K