Fixing Limits: Ensuring Correct Solutions with Proper Resolution Techniques

  • Context: MHB 
  • Thread starter Thread starter Fabio010
  • Start date Start date
  • Tags Tags
    Limits
Click For Summary

Discussion Overview

The discussion revolves around the resolution techniques for evaluating limits in multivariable calculus. Participants analyze specific limit problems, share their solutions, and critique each other's methods, focusing on the correctness of their approaches and the implications of their findings.

Discussion Character

  • Technical explanation
  • Debate/contested
  • Mathematical reasoning

Main Points Raised

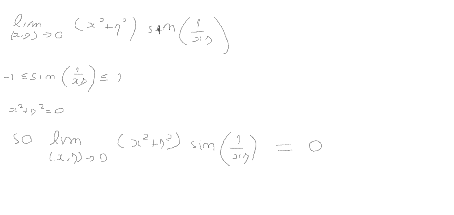
  • Some participants assert that the limit \(\lim_{x,y\to 0} (x^2+y^2) \sin\left( \frac{1}{xy}\right)\) is zero, citing the squeeze theorem.
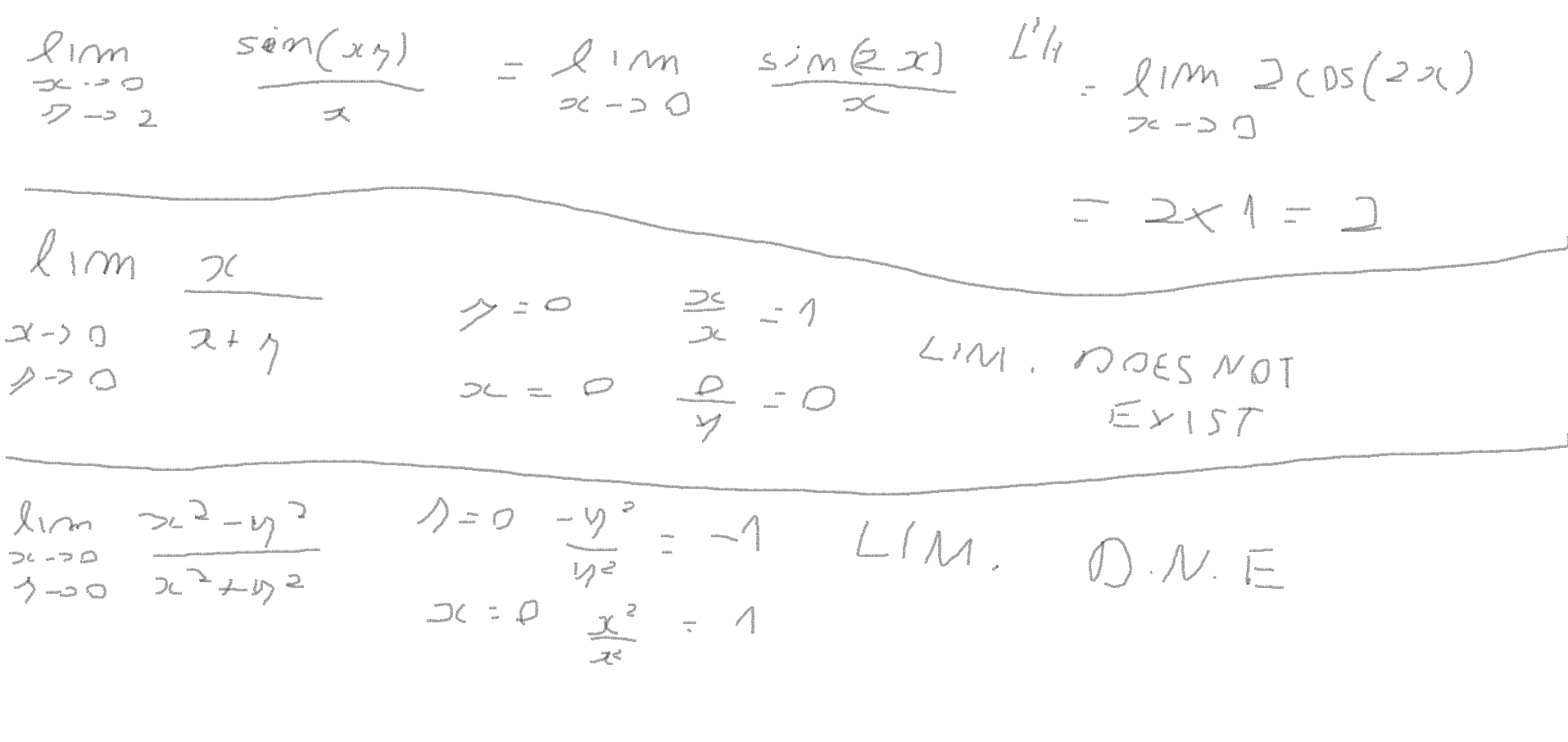
  • Others challenge the assumption that limits can be interchanged without justification, particularly in the case of \(\lim_{x \to 0}_{ y \to 2} \frac{\sin(xy)}{x}\).
  • One participant points out that different paths to the limit yield different results, suggesting that the limit does not exist.
  • There are discussions about the clarity of the provided images and the need for better presentation, such as using LaTeX.
  • Some participants express uncertainty about the justification for certain limit evaluations and the implications of assuming limits exist.
  • One participant proposes using polar coordinates to demonstrate that a limit is consistent across all paths, although this is met with skepticism.

Areas of Agreement / Disagreement

Participants generally do not reach consensus, as multiple competing views remain regarding the correctness of the limit evaluations and the methods used. There is also disagreement on the implications of the results and the assumptions made in the calculations.

Contextual Notes

Limitations include unclear assumptions about the interchangeability of limits, the dependence on the presentation of mathematical expressions, and unresolved steps in the reasoning process.

Fabio010
Messages
84
Reaction score
0
I know that the solution is correct. But i do not know if i resolved it in the correct way.

The images are attached.
 

Attachments

  • limit 1.png
    limit 1.png
    15.8 KB · Views: 131
  • limit 2.png
    limit 2.png
    32.8 KB · Views: 116
  • limit 3.png
    limit 3.png
    18.2 KB · Views: 128
Physics news on Phys.org
fabio010 said:
I know that the solution is correct. But i do not know if i resolved it in the correct way.

The images are attached.

Hi fabio010,

Your image is not clear enough to give any help. Learn a bit of LaTeX to post in this forum.

http://www.mathhelpboards.com/forumdisplay.php?26-LaTeX-Help
 
Let's assume the first one is:

\[ \lim_{x,y\to 0} (x^2+y^2) \sin\left( \frac{1}{xy}\right) \]

Then yes the limit is zero by the squeeze theorem:

\[ -(x^2+y^2) \le (x^2+y^2) \sin \left( \frac{1}{xy}\right) \le (x^2+y^2) \]

and \( \displaystyle \lim_{x,y \to 0}(x^2+y^2)=0\).You should consider either inproving your hand writing (probably essential if you use handwritting for your exams) or the LaTeX type setting system.

CB
 
The second is also correct, but there is a flaw in your method, you assume that:

\[ \lim_{x \to 0}_{ y \to 2} \frac{\sin(xy)}{x}=\lim_{x \to 0} \left[ \lim_{y \to 2} \frac{\sin(xy)}{x}\right] \]

which the next example shows you cannot (in general without further justification) do.

Here you can put \(z=xy\), and the limit then becomes:

\[ \lim_{z \to 0}_{ y \to 2}\; y\; \frac{\sin(z)}{z} \]

and as both of the limits: \(\displaystyle \lim_{z \to 0}_{ y \to 2} y=2\) and \( \displaystyle \lim_{z \to 0}_{ y \to 2} \frac{\sin(z)}{z}=1\) we have:\[ \lim_{z \to 0}_{ y \to 2} y \frac{\sin(z)}{z}=\left[ \lim_{z \to 0}_{ y \to 2}\; y \right]\;\left[ \lim_{z \to 0}_{ y \to 2}\; \frac{\sin(z)}{z}\right] =2 \times 1=2\]

CB
 
Last edited:
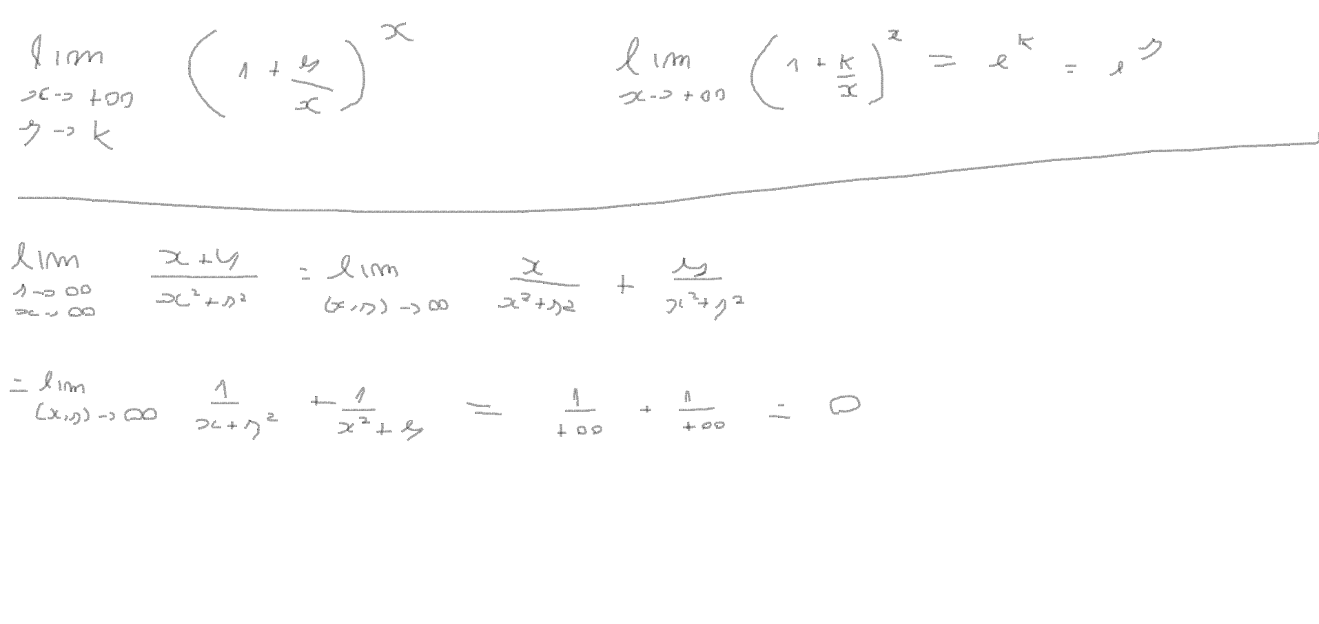
Both the third and fourth are correct, but you need more explanation. What you are showing is that taking the limits first wrt x and then wrt y and the other way around give different results, which implies that the limits do not exist (since if they did exist any path in the (x,y) plane to the limit will give the same result).

CB
 
The last two are correct, but I see no justification for the argument for the first, and I don't understand what you are doing in the second going from the first line to the second.

CB
 
Thanks a lot for correct the limits.

First of all sorry for the writing, it is so ugly because i wrote it in paint.
Next time i am going to try to use LATEX.

The last two, in first one i just used the notable limit of e^k
the second one is wrong... x^2/(x^2+y^2) is not equal to 1/(x+y^2) -_-

When all paths get as result the same limit, we can use the polar coordinates too prove that the limit is limit of all paths, right?
 
fabio010 said:
Thanks a lot for correct the limits.

First of all sorry for the writing, it is so ugly because i wrote it in paint.
Next time i am going to try to use LATEX.

The last two, in first one i just used the notable limit of e^k
the second one is wrong... x^2/(x^2+y^2) is not equal to 1/(x+y^2) -_-

You are assuming that the limit exists and so the limits may be taken in any order.

When all paths get as result the same limit, we can use the polar coordinates too prove that the limit is limit of all paths, right?

Still does not look right

CB
 
Last edited:

Similar threads

  • · Replies 9 ·
Replies
9
Views
3K
  • · Replies 20 ·
Replies
20
Views
3K
  • · Replies 3 ·
Replies
3
Views
1K
  • · Replies 5 ·
Replies
5
Views
1K
  • · Replies 2 ·
Replies
2
Views
2K
  • · Replies 4 ·
Replies
4
Views
2K
  • · Replies 2 ·
Replies
2
Views
2K
  • · Replies 8 ·
Replies
8
Views
4K
  • · Replies 1 ·
Replies
1
Views
2K
  • · Replies 3 ·
Replies
3
Views
2K