Free Abelian Groups .... Aluffi Proposition 5.6

  • Context: Undergrad 
  • Thread starter Thread starter Math Amateur
  • Start date Start date
  • Tags Tags
    Groups
Click For Summary

Discussion Overview

The discussion revolves around the interpretation and understanding of Proposition 5.6 from Paolo Aluffi's book "Algebra: Chapter 0," specifically regarding free Abelian groups. Participants are examining the function defined by Aluffi that maps elements from a set \( A \) to functions in \( \mathbb{Z}^{\oplus A} \), and the implications of this mapping in both countable and uncountable contexts.

Discussion Character

  • Exploratory
  • Technical explanation
  • Debate/contested

Main Points Raised

  • One participant expresses confusion about how the function \( j \) sends \( a \in A \) to the function \( j_a : A \longrightarrow \mathbb{Z} \), suggesting that \( j \) seems to map to an image-set rather than \( j_a \) itself.
  • Another participant proposes definitions for \( j \) and \( j_a \) in terms of direct sums, seeking clarification on their interpretation.
  • Some participants critique Aluffi's categorical approach, suggesting it may not be the best starting point for learning algebra, and recommend alternative texts.
  • A participant clarifies that \( j_a \) is defined as the Kronecker delta function, indicating that it returns 1 for a specific \( a \) and 0 otherwise, and discusses the implications of this definition for the function \( j \).
  • There is a discussion about the potential confusion arising from Aluffi's notation and definitions, particularly regarding the use of the same symbol for different concepts.

Areas of Agreement / Disagreement

Participants express differing views on the clarity and usefulness of Aluffi's text, with some agreeing that it may not be suitable for beginners, while others are interested in understanding its categorical approach. There is no consensus on the interpretation of the function \( j \) and its implications.

Contextual Notes

Participants note potential ambiguities in Aluffi's definitions and the notation used, particularly regarding the treatment of functions and the implications of countability versus uncountability of the set \( A \). There is also mention of the need for clarity in distinguishing between different uses of the same symbols.

Math Amateur
Gold Member
MHB
Messages
3,920
Reaction score
48
I am reading Paolo Aluffi's book: Algebra: Chapter 0 ... ...

I am currently focussed on Section 5.4 Free Abelian Groups ... ...

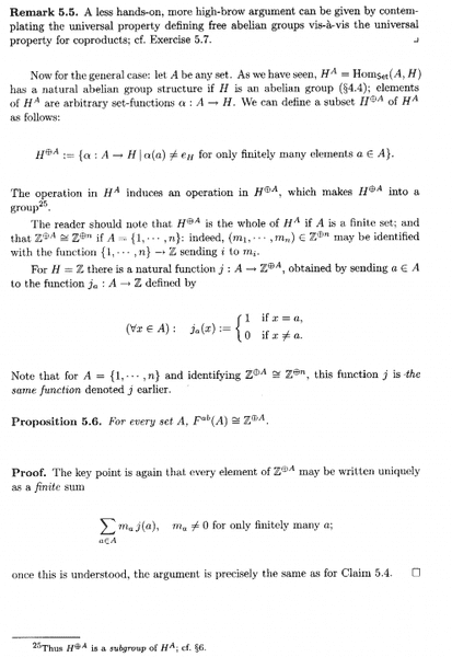
I need help with an aspect of Aluffi's preamble to introduce Proposition 5.6 ...

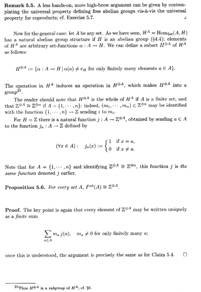
Proposition 5.6 and its preamble reads as follows:
?temp_hash=437ca4dd8ac7eefa509f557e37154b23.png


In the above text from Aluffi's book we find the following:

" ... ... For ##H = \mathbb{Z}## there is a natural function ##j \ : \ A \longrightarrow \mathbb{Z}^{ \oplus A }## , obtained by sending ##a \in A## to the function ##j_a \ : \ A \longrightarrow \mathbb{Z}## ... ... "

My problem is in (precisely and rigorously) understanding the claim that ##j## sends ##a \in A## to the function ##j_a \ : \ A \longrightarrow \mathbb{Z}## ... ...

The function ##j_a## is actually a set of ordered pairs no two of which have the same member ... BUT ... ##j## does not (exactly anyway) seem to send ##a \in A## to this function ...If we pretend for a moment that A is a countable ordered set ... then we can say that what ##j## seems to do is send ##a \in A## to the image-set of ##j_a##, namely

##( \ ... \ ... \ ,0,0, 0, \ ... \ ... \ 0,1,0 \ ... \ ... \ ... \ \ ,0,0, 0, \ ... \ ... )##

where the ##1## is in the ##a##'th position ...

So then ##j## seems to send ##a \in A## to the image-set of ##j_a## and not to ##j_a## itself ... ...(... ... not sure how to put this argument for the case where the set ##A## is uncountable and not ordered ... ... )

Given my analysis ... how do we justify or make sense of Aluffi's claim that " there is a natural function ##j \ : \ A \longrightarrow \mathbb{Z}^{ \oplus A }## , obtained by sending ##a \in A## to the function ##j_a \ : \ A \longrightarrow \mathbb{Z}## "

Hope someone can critique my analysis and clarify the issue to which I refer ...

Help will be much appreciated ...

Peter*** EDIT ***

Just another concern over possibly missing something in fully understanding Aluffi's text above ... he introduces the general case with a general abelian group ##H## ... ... and then defines ##H^{ \oplus A}## ... ... but never uses ##H## ... he just puts it equal to ##\mathbb{Z}## ... if you are just going to put ##H = \mathbb{Z}## ... ... why bother with ##H## ... does anyone have an idea what Aluffi is doing ... ... ? ... ... he does a similar thing when explaining free modules ... ... am I missing something ... ... ? ... ...

======================================================

To give Physics Forum members reading this post a sense of the approach and notation of Aluffi to free Abelian groups I am here providing Aluffi's introduction to free Abelian groups up to and including Proposition 5.6 ... as follows:
?temp_hash=437ca4dd8ac7eefa509f557e37154b23.png

?temp_hash=437ca4dd8ac7eefa509f557e37154b23.png

?temp_hash=437ca4dd8ac7eefa509f557e37154b23.png
 

Attachments

  • Aluffi - Proposition 5.6 and preamble ....png
    Aluffi - Proposition 5.6 and preamble ....png
    26 KB · Views: 878
  • Aluffi - Section 5.4 ... Page 1 ... ....png
    Aluffi - Section 5.4 ... Page 1 ... ....png
    74.4 KB · Views: 739
  • Aluffi - Section 5.4 ... Page 2 ... ....png
    Aluffi - Section 5.4 ... Page 2 ... ....png
    39.2 KB · Views: 774
  • Aluffi - Section 5.4 ... Page 3 ... ....png
    Aluffi - Section 5.4 ... Page 3 ... ....png
    34 KB · Views: 703
Last edited:
Physics news on Phys.org
What do you think about the following definitions:
$$j = \bigoplus_{a \in A}^{} j_a \text{ and } j_a = \bigoplus_{b \in A}^{} \delta_{ab} \cdot a $$
 
  • Like
Likes   Reactions: Math Amateur
Unless you are really having fun reading that book, I would suggest it is not going to do you a lot good. If you want to learn some algebra, you might try Michael Artin's book, Algebra,.
 
mathwonk said:
Unless you are really having fun reading that book, I would suggest it is not going to do you a lot good. If you want to learn some algebra, you might try Michael Artin's book, Algebra,.
I agree. It seems Paolo Aluffi has a very categorial approach. This might have its right when (co-)homology theory is the goal. However, I've seen physical concepts in which the latter is needed. But I agree it's a rather dusty ground to start with algebra. I took my first steps with these books:
https://www.amazon.com/s/ref=nb_sb_ss_i_2_12?url=search-alias%3Dstripbooks&field-keywords=van+der+waerden+algebra&sprefix=van+der+waer%2Cstripbooks%2C384&tag=pfamazon01-20
 
Last edited by a moderator:
fresh_42 said:
I agree. It seems Paolo Aluffi has a very categorial approach. This might have its right when (co-)homology theory is the goal. However, I've seen physical concepts in which the latter is needed. But I agree it's a rather dusty ground to start with algebra. I took my first steps with these books:
https://www.amazon.com/s/ref=nb_sb_ss_i_2_12?url=search-alias%3Dstripbooks&field-keywords=van+der+waerden+algebra&sprefix=van+der+waer%2Cstripbooks%2C384&tag=pfamazon01-20
Thanks mathwonk and fresh_42 ... but note that I wish to understand a category theory approach ... seems an interesting theoretical basis and language for algebra ... and possibly category theory has an interesting way to help in algebraic topology as well ... it is challenging abstract though ...

Just thinking about your first post, fresh_42 ...

Peter
 
Last edited by a moderator:
fresh_42 said:
What do you think about the following definitions:
$$j = \bigoplus_{a \in A}^{} j_a \text{ and } j_a = \bigoplus_{b \in A}^{} \delta_{ab} \cdot a $$


Fresh_42 ... can you expand a bit on how to interpret your definitions ...

Peter
 
Hi Fresh_42 ... just some vague thoughts on your definitions ... what they may mean, that is ...

Assume (in order to get an idea of the meaning of the definitions) that ##A## is an ordered and countable set ...

... then we have ##j \ : \ A \longrightarrow \mathbb{Z}^{ \oplus A}## can be written as follows:

##j = \bigoplus_{a \in A} \ j_a##

##= ( \ j_{a_1} \ , \ j_{a_2} \ , \ j_{a_3}, \ ... \ ... \ ...\ ... )##

... so we can write ... ...

##j(a_1) = ( \ j_{a_1} (a_1) \ , \ j_{a_2} (a_1) \ , \ j_{a_3} (a_1) , \ ... \ ... \ ...\ ... )##... BUT ... how do we interpret ## j_{a_1} (a_1) \ , \ j_{a_2} (a_1) \ , \ j_{a_3} (a_1) , \ ... \ ... ## etc ...I am assuming that ## j_{a_1} (a_1) \ = 1 \ , \ j_{a_2} (a_1) \ = 0 \ , \ j_{a_3} (a_1) \ = 0 \ , \ ... \ ## etc

But ... I am not sure how that comes out of your definition/formula for ##j_a## ... ...
Can you please comment and clarify ...

Peter
 
Last edited:
please forgive me, but to be blunt, before learning a fancy way to express something, it helps to actually understand the topic. and you do not. so in my opinion you are handicapping yourself by pursuing this less than useful presentation of the material. long ago i read briefly paolo's book and wondered just who in the world he aimed it at. i would never recommend this book to any young person, not just you.

your questions make it obvious that you are not understanding anything in this book. this is not a criticism of you by the way. so i suggest an experiment, try one of the other books we recommend and see for yourelf if they do not speak more clearly to you.
 
I should probably better have written ##j_a## without the plus because it's only a function ##j_a : A → ℤ##. Your dots behind the ##ℤ## above misleaded me together with Aluffi's tendency to denote different things with the same letter.

##j_a## is defined exactly as the Kronecker-delta(-function): ##j_a(b) = \delta_{ab}##, i.e. ##1## if ##a=b## and ##0## elsewhere. It is a set function which picks a special ##a## out of ##A## and shouts "Got it!" by returning a ##1##.

##j## is then the cartesian product of all ##j_a##, i.e. ##j = \oplus_{a \in A} j_a##, a function ##j: A → \{0,1\}^A ⊆ ℤ^{A}##. It is also a set function only that here you can pick any element of ##A##.
If you want to define it as the general function ##j :A → F^{ab}(A)## then it would be ##j = \oplus_{a \in A}j_a \cdot a## and
$$j(b) = \oplus_{a \in A}j_a(b) \cdot a = \oplus_{a \in A}\delta_{ab} \cdot a = 1 \cdot b = b \in F^{ab}(A)$$

Unfortunately Aluffi uses both versions and denotes them equally by ##j##.
In 5.4. it's the natural embedding ##j : A → F^{ab}(A)## where you have to multiply the ##j_a## with an ##a \in A## for ##1 \in ℤ## isn't an element of ##F^{ab}(A)## and there is no order either,
while in Prop. 5.6. he omits these multiplications by ##a## and ends up in ##ℤ^A## instead. Regarding that he exactly wants to prove that ##F^{ab}(A) ≅ ℤ^{\oplus A}## it's rather sloppy.

Of course you could as well define the multiplication by an ##a \in A## as part of ##j_a## and omit it in the definition of ##j##. But in this case ##j_a## would be the natural embedding ##j_a : \{a\} → F^{ab}(A)## and not a mapping in ##ℤ##.

The crucial part of the story in the book, however, is another. Although ##A## can have arbitrary many elements and the cartesian product will be respectively large, the elements of ##F^{ab}(A)## are all products ##a_1^{n_1} \dots a_N^{n_N}## of (arbitrary but) finite length ##N##.
This is the difference in Aluffi's notation between ##ℤ^A## and ##ℤ^{\oplus A}## (see above with ##H## in the role of ##ℤ##).
 
Last edited:
  • Like
Likes   Reactions: Math Amateur
  • #10
mathwonk said:
long ago i read briefly paolo's book and wondered just who in the world he aimed it at
This is something that makes me wonder, too. For a representation like this, full of categorial context, Aluffi is rather sloppy in his notations. A fact that doesn't work very well on category theory. And I seriously doubt that there are more than five lines needed to explain a free (Abelian) group in an algebra textbook.
 
  • #11
mathwonk said:
please forgive me, but to be blunt, before learning a fancy way to express something, it helps to actually understand the topic. and you do not. so in my opinion you are handicapping yourself by pursuing this less than useful presentation of the material. long ago i read briefly paolo's book and wondered just who in the world he aimed it at. i would never recommend this book to any young person, not just you.

your questions make it obvious that you are not understanding anything in this book. this is not a criticism of you by the way. so i suggest an experiment, try one of the other books we recommend and see for yourelf if they do not speak more clearly to you.
 
  • #12
Hi mathwonk ... look I know you are essentially trying to help ... but I think when you write:

" ... your questions make it obvious that you are not understanding anything in this book. ... "

I think you are being somewhat negative, de-motivating and overly harsh in your judgement ...

Peter
 
Last edited:
  • #13
fresh_42 said:
I should probably better have written ##j_a## without the plus because it's only a function ##j_a : A → ℤ##. Your dots behind the ##ℤ## above misleaded me together with Aluffi's tendency to denote different things with the same letter.

##j_a## is defined exactly as the Kronecker-delta(-function): ##j_a(b) = \delta_{ab}##, i.e. ##1## if ##a=b## and ##0## elsewhere. It is a set function which picks a special ##a## out of ##A## and shouts "Got it!" by returning a ##1##.

##j## is then the cartesian product of all ##j_a##, i.e. ##j = \oplus_{a \in A} j_a##, a function ##j: A → \{0,1\}^A ⊆ ℤ^{A}##. It is also a set function only that here you can pick any element of ##A##.
If you want to define it as the general function ##j :A → F^{ab}(A)## then it would be ##j = \oplus_{a \in A}j_a \cdot a## and
$$j(b) = \oplus_{a \in A}j_a(b) \cdot a = \oplus_{a \in A}\delta_{ab} \cdot a = 1 \cdot b = b \in F^{ab}(A)$$

Unfortunately Aluffi uses both versions and denotes them equally by ##j##.
In 5.4. it's the natural embedding ##j : A → F^{ab}(A)## where you have to multiply the ##j_a## with an ##a \in A## for ##1 \in ℤ## isn't an element of ##F^{ab}(A)## and there is no order either,
while in Prop. 5.6. he omits these multiplications by ##a## and ends up in ##ℤ^A## instead. Regarding that he exactly wants to prove that ##F^{ab}(A) ≅ ℤ^{\oplus A}## it's rather sloppy.

Of course you could as well define the multiplication by an ##a \in A## as part of ##j_a## and omit it in the definition of ##j##. But in this case ##j_a## would be the natural embedding ##j_a : \{a\} → F^{ab}(A)## and not a mapping in ##ℤ##.

The crucial part of the story in the book, however, is another. Although ##A## can have arbitrary many elements and the cartesian product will be respectively large, the elements of ##F^{ab}(A)## are all products ##a_1^{n_1} \dots a_N^{n_N}## of (arbitrary but) finite length ##N##.
This is the difference in Aluffi's notation between ##ℤ^A## and ##ℤ^{\oplus A}## (see above with ##H## in the role of ##ℤ##).
Thanks Fresh_42 ... most helpful ... appreciate the help ...

Peter
 
  • #14
Math Amateur said:
Thanks Fresh_42 ... most helpful ... appreciate the help ...

Peter
You're welcome!
 
  • #15
Hi Fresh_42, mathwonk,

What do you think of Dummit and Foote: Abstract Algebra as an alternative to Aluffi ...

Peter
 
  • #16
A note on the diagram in 5.4.

The free abelian group ##F^{ab}(A)## is basically the set of all words over an alphabet ##A## plus commutativity and formal inverse. (The neutral element can be seen as empty word.)
It has no additional structure other than neutral element, (formal) inverse, associativity and commutativity. No rules like ##a^2=1## which reflections have, or ##a^3=1## for rotations of 120°.
##j## is the embedding of the alphabet in it, the one-letter-words.
Now you can have any abelian group ##G## with an additional structure (e.g. rotations, reflections) and a mapping ##f : A → G##.
Then there is a group homomorphism ##φ: F^{ab}(A) → G## which puts the structure upon ##F^{ab}(A)## and gets ##G##.
 
  • Like
Likes   Reactions: Math Amateur
  • #17
fresh_42 said:
A note on the diagram in 5.4.

The free abelian group ##F^{ab}(A)## is basically the set of all words over an alphabet ##A## plus commutativity and formal inverse. (The neutral element can be seen as empty word.)
It has no additional structure other than neutral element, (formal) inverse, associativity and commutativity. No rules like ##a^2=1## which reflections have, or ##a^3=1## for rotations of 120°.
##j## is the embedding of the alphabet in it, the one-letter-words.
Now you can have any abelian group ##G## with an additional structure (e.g. rotations, reflections) and a mapping ##f : A → G##.
Then there is a group homomorphism ##φ: F^{ab}(A) → G## which puts the structure upon ##F^{ab}(A)## and gets ##G##.
Thanks fresh_42 ... yes ... do understand that ... but appreciate the further help ...

Peter
 
  • #18
Math Amateur said:
Hi Fresh_42, mathwonk,

What do you think of Dummit and Foote: Abstract Algebra as an alternative to Aluffi ...

Peter
I don't know it. Perhaps I got driven to van der Waerden because I knew the girl who typed the German version :smile:. But I never regretted it and I still use it to look things up which I have forgotten in detail. But it's more about groups, fields and numbers and practically nothing homological.
 
  • Like
Likes   Reactions: Math Amateur
  • #19
fresh_42 said:
I don't know it. Perhaps I got driven to van der Waerden because I knew the girl who typed the German version :smile:. But I never regretted it and I still use it to look things up which I have forgotten in detail. But it's more about groups, fields and numbers and practically nothing homological.

Thanks anyway fresh_42 ... I did check van der Waerden at Amazon ... seems it is a classic ... but may be a bit dated ..

Peter
 
  • #20
Math Amateur said:
Thanks anyway fresh_42 ... I did check van der Waerden at Amazon ... seems it is a classic ... but may be a bit dated ..

Peter
It arose from lectures by Artin and Emmy Noether. What a pedigree!
 
  • #21
fresh_42 said:
It arose from lectures by Artin and Emmy Noether. What a pedigree!

Indeed fresh_42 ... could not improve on that!

Peter
 
  • #22
I just like to add a thought on Aluffi's approach on algebra.

I've just read lavinia's post #8 here: https://www.physicsforums.com/threa...-forms-manifolds-algebra.868945/#post-5474164 which I liked very much. Next I read https://en.wikipedia.org/wiki/Differential_form which in my own language is by far more categorial and emphasizes the role of cohomology groups (and thus explaining better what closed or exact forms are, why they are called so, resp.).

Both display how modern physics uses seemingly abstract concepts which are mathematically pure homology theory.
 
  • Like
Likes   Reactions: Math Amateur
  • #23
well forgive the negativity, of course that does not help. rather you are understanding what paolo has written, but his treatment focuses on how things are expressed rather than what they mean, so i fear you are not understanding the topic, which is not your fault. It is fundamental that the categorical approach which he takes, emphasizes that to understand a type of object such as a module, one should understand maps between them, i.e. how they are compared. So one should understand an abelian group G by understanding Hom(G,H) for all abelian groups H, i.e. we want to know how to define maps out of our group G.

a basic construction is the direct sum of abelian groups. So we want to know how to define maps out of a direct sum of abelian groups {Gj}. The basic result is that this is an abelian group Sum(Gj) such that to define a map out of Sum(Gj) all you have to do is to define a map out of each individual summand Gj, and that will give a unique map out of Sum(Gj).

Now a free abelian group on a set A is simply a direct sum of #(A) copies of the integers, so given an abelian group H, a map from the free abelian group on A to H, is given by one map out of each copy of Z, for each element of A, and that means simply one element chosen from H for each element in the family A. So a map from the free abelian group on the set A, to H, corresponds to a choice of one element of H for each element of A, i.e. to a function from A to H.

OK, if you got that out of paolo's presentation, then I stand down, and you are doing fine.

I myself think paolo has made this needlessly complicated and abstract. so i am trying to divert you to a book where it is already explained better. forgive me if this if not helpful, god bless.
 
Last edited:
  • Like
Likes   Reactions: Math Amateur
  • #24
mathwonk said:
well forgive the negativity, of course that does not help. rather you are understanding what paolo has written, but his treatment focuses on how things are expressed rather than what they mean, so i fear you are not understanding the topic, which is not your fault. It is fundamental that the categorical approach which he takes, emphasizes that to understand a type of object such as a module, one should understand maps between them, i.e. how they are compared. So one should understand an abelian group G by understanding Hom(G,H) for all abelian groups H, i.e. we want to know how to define maps out of our group G.

a basic construction is the direct sum of abelian groups. So we want to know how to define maps out of a direct sum of abelian groups {Gj}. The basic result is that this is an abelian group Sum(Gj) such that to define a map out of Sum(Gj) all you have to do is to define a map out of each individual summand Gj, and that will give a unique map out of Sum(Gj).

Now a free abelian group on a set A is simply a direct sum of #(A) copies of the integers, so given an abelian group H, a map from the free abelian group on A to H, is given by one map out of each copy of Z, for each element of A, and that means simply one element chosen from H for each element in the family A. So a map from the free abelian group on the set A, to H, corresponds to a choice of one element of H for each element of A, i.e. to a function from A to H.

OK, if you got that out of paolo's presentation, then I stand down, and you are doing fine.

I myself think paolo has made this needlessly complicated and abstract. so i am trying to divert you to a book where it is already explained better. forgive me if this if not helpful, god bless.
Hi mathwonk ...

Thank you for such a considered and also considerate post ... most helpful ...

Yes, I did follow most of that but struggled with both the mechanics of Aluffi's approach and the notation ... BUT ... I think what you say has a lot of wisdom to it ... so I am moving to another text ...

I am an obsessive math book collector so I have a number of options ... indeed I will definitely use Michael Artin's book ...

Mind you, I am trying to get an understanding of the theory of modules ... and within that topic an understanding of the algebra of tensors ... so I thought that Dummit and Foote's book "Abstract Algebra" might well be appropriate ... what do you think?

Thank you again for your help and advice ...

Peter
 
  • #25
fresh_42 said:
I just like to add a thought on Aluffi's approach on algebra.

I've just read lavinia's post #8 here: https://www.physicsforums.com/threa...-forms-manifolds-algebra.868945/#post-5474164 which I liked very much. Next I read https://en.wikipedia.org/wiki/Differential_form which in my own language is by far more categorial and emphasizes the role of cohomology groups (and thus explaining better what closed or exact forms are, why they are called so, resp.).

Both display how modern physics uses seemingly abstract concepts which are mathematically pure homology theory.
Thanks for your post, fresh_42 ... yes, checked that ... BUT ... I think that you still feel I should move on from Aluffi's text ... is that right?

By the way, I thought I'd share some excellent and helpful posts I got on the topic of free abelian groups ... at the Math Help Boards forum on Linear and Abstract Algebra ...

See: http://mathhelpboards.com/linear-abstract-algebra-14/free-abelian-groups-aluffi-proposition-5-6-a-18586.html

Thanks again for all your advice and help ...

Peter
 
  • #26
In my experience Category Theory has alway been an afterthought that reveals certain unifying formal properties of relationships in some other subject that is the main focus of study. For instance, the proof that homology theories that satisfy the Eilenberg-Steenrod Axioms always give the same answer no matter how different the theories may seem to be is a notable example. However, the study of homology theory proceeds from specific constructions e.g intersection theory of submanifolds, or from triangulations of topological spaces, or from integration theory of closed differential forms or from Czech cohomology - not from abstractions that unify all possible theories.

Mathematics arises from concrete examples and concrete problems and then searches for theories that explain them. In this sense it it just like any other science.

And Group Theory is no different. I would start with examples of groups. This will show where they arise and how they behave in specific situations. For instance, the simplest example of a free abelian group is a lattice in Euclidean space. In this setting it is not a formal abstraction but a set of isometries of Euclidean space. What is the quotient group of Euclidean space by a lattice? What geometry does the quotient space have and when are two quotients geometrically equivalent? What would geometric equivalence mean? When can a lattice be extended to a larger group of isometries without introducing torsion? What is the structure of the resulting group? Is the group necessarily still abelian? Is it necessarily a lattice?What are examples of isometries that do have torsion and how do they differ from translations?

I recently decided to sit in on a first year graduate course in algebra. On the first day the professor said, "A group is a category with one object in which all of the morphisms are isomorphisms. "He then drew a circle on the board - that was his picture of a group - and some loops beginning and ending at the circle - these were his morphisms. I walked out.

As far as books go, I am not sure what are the good modern texts. Mathwonk's suggestion of Artin's book is undoubtedly excellent.
 
Last edited:
  • Like
Likes   Reactions: Math Amateur
  • #27
Math Amateur said:
Thanks for your post, fresh_42 ... yes, checked that ... BUT ... I think that you still feel I should move on from Aluffi's text ... is that right?
No. That is not what I meant. I only intended not to discourage you by the subject or some of Aluffi's sloppy notations. Textbooks aren't cheap and I don't know the circumstances you are studying in. I simply wanted you to know that your questions are welcome regardless what you intend or decide to do.

I also think as the other guys said, that it is more than helpful to have many examples at hand before starting with categorial concepts. They are much easier to understand then. Of course one doesn't have to and some people are quite happy to stay on the abstract side of mathematics. I assume some logicians might be among those. E.g. a free Abelian group is nothing mysterious. The opposite is the case. After you may have seen a bunch of other groups you'll see they are quite boring. It's their universal property that makes them valuable. But as you have probably worked out, even that is nothing very exciting. Plus I have been a little bit astonished by myself as I wrote my answer after I saw how abstract concepts actually fit in the world we learned at school when I had read @lavinia 's posts on differential forms which can be defined in a very abstract manner, i.e. in categorial language.

To change to Artin's book is very likely a good idea. I mean, with such a surname! (Btw. does anybody know whether he is related to Emil?)

And let me say thank you for you caused this debate here. Lavinia's anecdote on this guy with his weird introduction to groups alone was worth it. That really made my day!
 
  • Like
Likes   Reactions: Math Amateur
  • #28
yes dummitt and foote is fine, especially the problems are excellent. some of the presentations and proofs are not my favorite. It ws the book of choice for the algebra course at Emory University taught by the famous algebraist Parimala, much more expert than me.

http://www.mathcs.emory.edu/faculty-member.php?name=Raman-Parimala
 
Last edited:
  • Like
Likes   Reactions: Math Amateur
  • #29
Just for curiosity sake: what is the structure of the real numbers considered to be an abelian group under addition?
It seems pretty complicated at first glance.

- While the reals are torsion free i.e. each number generates an infinite cyclic group under addition, it does not seem to be a free group. At least I can not see how to choose a basis since any vector is divisible so the infinite cyclic group it generates is a subgroup of infinitely many other infinite cyclic groups.

- The reals contain finitely generated free abelian groups of arbitrary dimension.
What about infinite dimension? It seems that a basis for the reals considered as a vector space over the rational numbers generates a free abelian group of uncountable dimension over the integers.

- The infinite cyclic groups generated by each rational number all intersect in the integers.
 
  • #30
Every free group is torsionfree but not vice versa. If ##ℝ_+## were free, then ##ℚ_+## would also be free (Nielsen-Schreier). ##ℚ_+## cannot be generated by a single element. But with two elements of ##ℚ_+## we can always find a non-trivial relation between them.
 

Similar threads

  • · Replies 4 ·
Replies
4
Views
2K
  • · Replies 4 ·
Replies
4
Views
2K
  • · Replies 4 ·
Replies
4
Views
2K
  • · Replies 5 ·
Replies
5
Views
2K
  • · Replies 2 ·
Replies
2
Views
3K
  • · Replies 26 ·
Replies
26
Views
1K
Replies
1
Views
1K
  • · Replies 1 ·
Replies
1
Views
990
  • · Replies 14 ·
Replies
14
Views
3K
  • · Replies 13 ·
Replies
13
Views
2K