Free fall distance with non-constant g

  • Thread starter Thread starter DavidTheGreat
  • Start date Start date
  • Tags Tags
    Fall Free fall
Click For Summary

Homework Help Overview

The discussion revolves around calculating the distance of free fall for an object with zero tangential velocity and a specified radial velocity at a certain height, without assuming a constant gravitational acceleration (g). This scenario is set within the context of orbital mechanics, particularly for an orbital ring design.

Discussion Character

  • Exploratory, Assumption checking, Conceptual clarification

Approaches and Questions Raised

  • Participants discuss the use of Newton's laws and gravitational equations, attempting to derive a second-order differential equation for the motion. There are inquiries about the variability of R over time and the implications of energy conservation on the problem. Some participants suggest integrating equations to find relationships between variables.

Discussion Status

The discussion is ongoing, with participants sharing various approaches and equations. Some have provided partial guidance on integrating equations and using energy considerations, while others express confusion about specific steps or the complexity of the resulting equations. There is no clear consensus on a solution yet, but multiple lines of reasoning are being explored.

Contextual Notes

Participants note the challenge of integrating equations due to the non-constant nature of gravitational acceleration and the initial conditions of the problem. There are also references to homework guidelines that restrict the provision of complete solutions, emphasizing the exploratory nature of the discussion.

DavidTheGreat
<Moderator's note: Moved from elsewhere and therefore no template.>

I'm trying to calculate the distance of free fall for an object with zero tangential velocity but a given radial velocity at a given height over a given period of time. This calculation cannot assume that g is constant as it deals with orbital heights. These calculations are needed for an orbital ring that I'm designing. Here is my working out so far.
1.) F=ma
2.) F=GMm/R^2
Sub 1.) into 2.)
ma=GMm/R^2
a=GM/R^2
v=da/dt
v=d/dt(GM/R^2)
v=GM d/dt(1/R^2)
R=dv/dt
R=GM d^2/dt^2(1/R^2)
I can't figure out how to solve this second order differential equation. Is there a better way of doing it/where did I go wrong?
 
Last edited by a moderator:
Physics news on Phys.org
DavidTheGreat said:
<Moderator's note: Moved from elsewhere and therefore no template.>

I'm trying to calculate the distance of free fall for an object with zero tangential velocity but a given radial velocity at a given height over a given period of time. This calculation cannot assume that g is constant as it deals with orbital heights. These calculations are needed for an orbital ring that I'm designing. Here is my working out so far.
1.) F=ma
2.) F=GMm/R^2
Sub 1.) into 2.)
ma=GMm/R^2
a=GM/R^2
v=da/dt
v=d/dt(GM/R^2)
v=GM d/dt(1/R^2)
R=dv/dt
R=GM d^2/dt^2(1/R^2)
I can't figure out how to solve this second order differential equation. Is there a better way of doing it/where did I go wrong?
## a=\frac{dv}{dt} ##. Also ## v=\frac{dR}{dt} ##. From these two equations, you should be able to solve for an expression for the acceleration ## a ##.
 
Thank you. So I tried again and got stuck again.
upload_2017-7-4_12-25-19.png

I don't know how R varies in time so I can't solve the integral.
 
Energy considerations do tell you that ## v=\frac{dR}{dt}=-\sqrt{\frac{2GM}{R}} ## if you assume the object started at ## R=+\infty ## with ## v=0 ##. The form ## \sqrt{R} \, dR=C \, dt ## can be readily solved for ## R=R(t) ## by integrating both sides of the equation.
 
Thanks I tried to put the energy considerations in but I think I went wrong again. The final solution looks too ugly. Where did I go wrong?
upload_2017-7-4_13-37-8.png
 
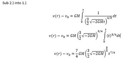
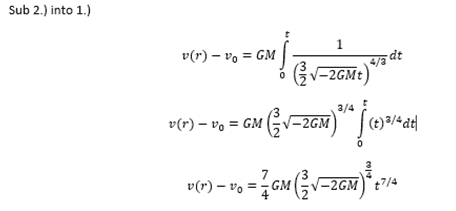
Sorry the image was too small here it is again.
upload_2017-7-4_13-39-57.png

upload_2017-7-4_13-40-23.png

upload_2017-7-4_13-40-44.png
 
At ## t=0 ##, you need to use ## R=R_o ##. Also the minus sign for ## v ## goes outside of the square root. In the homework section, the Homework Helpers are not allowed to supply complete answers, but this is slightly different from a homework problem in that it doesn't seem to have a final goal. Anyway, the expression you get upon integrating is ## R(t)=(-(\frac{3}{2})( \sqrt{2GM}) t+R_o^{3/2})^{2/3} ##. Even though the velocity ## v \rightarrow -\infty ## as ## R \rightarrow 0 ##, you can still solve for the time ## t ## it will take to reach ## R=0 ## from the position ## R_o ##. Suggestion: Try setting ## R(t)=0 ## and see what you get.
 
Last edited:
DavidTheGreat said:
Sorry the image was too small here it is again.
View attachment 206513
View attachment 206514
View attachment 206515
For total energy ##E \neq 0## we have
$$\frac{1}{2} m v^2 - \frac{K}{r} = E,$$
so
$$v = \sqrt{\frac{2}{m}} \sqrt{E+\frac{K}{r}}.$$
The differential equation
$$\frac{dr}{dt} = \sqrt{\frac{2}{m}} \sqrt{E+\frac{K}{r}}$$
can be solved implicitly (that is, in the form ##F(r) = t## with a known ##F(r)##. However, if you want an explicit solution of the form ##r = f(t)##, you will need to solve the equation ##F(r)=t## numerically (in the case ##E \neq 0##). Or, you can make a table of ##r,t## values, then just reverse the columns to have a table of ##t,r## values.
 
Maybe I should be more specific. What I'm trying to solve for is the same as the following situation. Imagine that you are traveling at 1km/s up a geostationary space elevator and when you reach an altitude of 1000km you drop a soft drink can out of the air lock with minimal tangential velocity. At first it is going to go up because of your momentum but eventually Earth's gravity will pull it down. How long until it comes back down to the 1000km mark?
 
  • #10
Suggestion is to start a new thread with this problem, and use the homework template, and the Physics Forums rules do require that you make an effort to try to solve it and try to work to the solution.
 
  • #11
DavidTheGreat said:
Maybe I should be more specific. What I'm trying to solve for is the same as the following situation. Imagine that you are traveling at 1km/s up a geostationary space elevator and when you reach an altitude of 1000km you drop a soft drink can out of the air lock with minimal tangential velocity. At first it is going to go up because of your momentum but eventually Earth's gravity will pull it down. How long until it comes back down to the 1000km mark?

If you have specific numbers like that you can call upon a numerical differential equation solver to do the work. There is nothing "wrong" with using reliable numerical methods when the problem is too difficult to allow an analytical solution.

Alternatively, you could apply the method I posted in #8, using
$$ \frac{dr}{dt} = \sqrt{\frac{2}{m}} \sqrt{E+\frac{K}{r}} $$
on the upward part and
$$ \frac{dr}{dt} = -\sqrt{\frac{2}{m}} \sqrt{E+\frac{K}{r}}$$
on the downward part. That would give you two implicit solutions of the form ##t = F_1(r)## on the upward part and ##t = F_2(r)## on the downward part. The top of the path (end of upward part) would be where ##dt/dt = 0##, so where ##K/r = -E## (with ##E < 0## given by the initial conditions). The implicit fordm of solution is perfectly suited to your problem because it gives time directly as a function of altitude.
 
  • #12
DavidTheGreat said:
Maybe I should be more specific. What I'm trying to solve for is the same as the following situation. Imagine that you are traveling at 1km/s up a geostationary space elevator and when you reach an altitude of 1000km you drop a soft drink can out of the air lock with minimal tangential velocity. At first it is going to go up because of your momentum but eventually Earth's gravity will pull it down. How long until it comes back down to the 1000km mark?
You can attack this in two parts:
First, by energy conservation, work out how high your cup travels above 1000km before it starts to fall back.
Then you can solve for the time it takes to fall from a point at rest from that altitude to 1000 km (there is an implicit formula for this), keeping in mind that the fall time and "climb" times will be equal.
 
  • #13
The resulting equation will be tricky to integrate. Some type of substitution will help.

$$\frac{dr}{dt} = \sqrt{\frac{2}{m}} \sqrt{E+\frac{K}{r}}$$
$$\frac{dr}{dt} = \sqrt{\frac{2}{m}} \sqrt{\frac{Er + K}{r}}$$
$$dt = \sqrt{\frac{m}{2}} \ \ \sqrt{\frac{r}{Er + K}} \ \ dr$$
 
Last edited:
  • #14
rcgldr said:
The resulting equation will be tricky to integrate. Some type of substitution will help.

$$\frac{dr}{dt} = \sqrt{\frac{2}{m}} \sqrt{E+\frac{K}{r}}$$
$$\frac{dr}{dt} = \sqrt{\frac{2}{m}} \sqrt{\frac{Er + K}{r}}$$
$$dt = \sqrt{\frac{m}{2}} \ \ \sqrt{\frac{r}{Er + K}} \ \ dr$$

Yes, the integrations are tricky, but are entirely standard---the types of problems students get assigned as homework in Calculus courses. Or, you can submit it to a package like Wolfram Alpha.
 
  • #15
Did this ever get solved. There are prior threads about the time for two objects to collide due to gravity, but with zero initial velocity. The initial velocity adds another component. Also for an alternative approach, a = dv/dt =GM/(r^2) could also be handled via chain rule, a = (dv/dr) (dr/dt) = v dv/dr = GM/(r^2), which result in a similar equation for v(r, v0).
 
  • #16
rcgldr said:
Did this ever get solved. There are prior threads about the time for two objects to collide due to gravity, but with zero initial velocity. The initial velocity adds another component. Also for an alternative approach, a = dv/dt =GM/(r^2) could also be handled via chain rule, a = (dv/dr) (dr/dt) = v dv/dr = GM/(r^2), which result in a similar equation for v(r, v0).

Starting with an initial velocity can be handled by using energy conservation to simplify to a zero initial velocity. In the upward moving cup scenario, you solve for how high the cup will climb before reaching the apex, and then solve for the apex to starting position fall time.
If you wanted to work out the time to fall from one height(h1) to another(h2) when you have an initial velocity of v, you would first work out from what height(h3) it would have taken to reach a speed of v at the first height, if it started its fall from h3 at rest. Then you can take the difference between the times needed to fall starting at rest from h3 to h1 and from h3 to h2, to find the time needed to fall from h1 to h2.
 
  • #17
Janus said:
Starting with an initial velocity can be handled by using energy conservation to simplify to a zero initial velocity.
I was thinking about the case where the initial velocity is inwards (downwards), and the total energy U+K = E > 0 , similar to an escape velocity situation in reverse.
 
Last edited:

Similar threads

Replies
3
Views
3K
Replies
6
Views
864
  • · Replies 7 ·
Replies
7
Views
1K
  • · Replies 30 ·
2
Replies
30
Views
3K
Replies
6
Views
2K
  • · Replies 13 ·
Replies
13
Views
2K
  • · Replies 42 ·
2
Replies
42
Views
6K
  • · Replies 19 ·
Replies
19
Views
3K
  • · Replies 6 ·
Replies
6
Views
2K
  • · Replies 3 ·
Replies
3
Views
1K