Falling capacitor connected to constant voltage

Click For Summary

Homework Help Overview

The discussion revolves around the dynamics of a falling capacitor connected to a constant voltage source. Participants explore the implications of energy conservation and forces acting on the system, particularly focusing on the work-energy theorem and the effects of gravitational and electrostatic forces.

Discussion Character

  • Exploratory, Conceptual clarification, Assumption checking

Approaches and Questions Raised

  • Participants describe two methods for analyzing the problem: energy analysis and force analysis. They raise questions about the correctness of their approaches and the assumptions made regarding the system's boundaries and energy contributions.

Discussion Status

Some participants express confidence in the methods used, while others point out potential errors in sign conventions and the need for clarity in defining the system. The discussion is ongoing, with multiple interpretations of the problem being explored.

Contextual Notes

There is a concern regarding the treatment of the battery's chemical energy and its influence on the overall energy balance. Participants are considering various definitions of the system, which may lead to different conclusions about the work-energy relationships involved.

palaphys
Messages
267
Reaction score
17
Homework Statement
An air filled parallel plate capacitor with plate separation $d$ and area $A$ is connected to a constant voltage source $V$. The plates are horizontal and the top plate is free to move vertically without rotation. The system is in vacuum and friction is absent. If the upper plate is released from a height $d$, what is its speed when the separation becomes $d/2$?
Relevant Equations
Kinematics+Capacitor equations
1762623572128.webp

I have tried to proceed with two methods, which agree with each other
i) Energy analysis
If we use work energy theorem,
##
\sum W = \Delta K
##

So,
##
W_{\text{bat}} + W_{\text{field}} + W_{\text{grav}} = K_f \quad \text{(at } x = d/2 \text{)}
##

Battery work:
##
W_{\text{bat}} = V \cdot (C_i V) = C_i V^2 = \frac{\varepsilon_0 A V^2}{d}
##

Change in electrostatic energy:
##
\Delta U_{\text{elec}} = U_f - U_i
= \frac{1}{2} C_f V^2 - \frac{1}{2} C_i V^2
= \frac{1}{2}(2C_i)V^2 - \frac{1}{2} C_i V^2
##
##
\Delta U_{\text{elec}} = C_i V^2 - \frac{1}{2} C_i V^2
= \frac{1}{2} C_i V^2
##

Change in gravitational potential energy:
##
\Delta U_{\text{grav}} = U_{g,f} - U_{g,i}
= Mg\left(\frac{d}{2}\right) - Mgd
= -Mg\frac{d}{2}
##

Substituting in the work–energy theorem:
##
M v^2 = C_i V^2 + Mg d
##
##
v^2 = \frac{C_i V^2}{M} + g d
##

Final expression using ##(C_i = \frac{\varepsilon_0 A}{d}\)##
##
\boxed{v = \sqrt{\frac{\varepsilon_0 A V^2}{M d} + g d}}
##

ii) force method:
##
\text{Let } x \text{ be the downward displacement (so } x=0\text{ at start, } x=d/2 \text{ at end).}
##

Net downward force:
##
F_{\text{net}} = mg + \frac{1}{2}\frac{\varepsilon_0 A V^2}{(d - x)^2}
##
then I applied 2nd law:
##
m\,v\frac{dv}{dx} = mg + \frac{1}{2}\frac{\varepsilon_0 A V^2}{(d - x)^2}
##

integrating from initial ##\((x=0,\,v=0)\)## to final ##\((x=d/2,\,v=v)\)##:
##
\int_{0}^{v} m v\,dv
=
\int_{0}^{d/2} \left( mg + \frac{1}{2}\frac{\varepsilon_0 A V^2}{(d - x)^2} \right) dx
##

LHS
##
\frac{1}{2} m v^2
##

RHS
##
mg\frac{d}{2}
\;+\;
\frac{1}{2}\varepsilon_0 A V^2
\int_{0}^{d/2} \frac{dx}{(d - x)^2}
##

integration:
##
\int_{0}^{d/2} \frac{dx}{(d - x)^2}
=
\left[-\frac{1}{d-x}\right]_{0}^{d/2}
=
-\frac{1}{d - d/2} + \frac{1}{d}
=
\frac{1}{d}
##

Thus:
##
\frac{1}{2} m v^2
=
mg\frac{d}{2}
+
\frac{1}{2}\frac{\varepsilon_0 A V^2}{d}
##

So
##
v^2 = \frac{\varepsilon_0 A V^2}{m d} + g d
##
##
\boxed{v = \sqrt{\frac{\varepsilon_0 A V^2}{m d} + g d}}
##

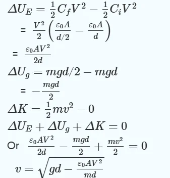
I hope both my methods are right. however, in the solution presented right below the problem, work done by the battery is not accounted for at all. Who is wrong here and why?(see below)
1762624406215.webp
 
Last edited:
Physics news on Phys.org
Your two methods look correct.

I did catch a spot where you have two compensating errors:

palaphys said:
1762627997603.webp

Check the signs in this calculation. However, your result of ##\frac 1 d## is correct.

To see that their answer can't be correct, suppose the experiment is done in zero gravity.
 
TSny said:
Your two methods look correct.

I did catch a spot where you have two compensating errors:
I'm not able to edit it right now, but thanks for pointing it out.
TSny said:
To see that their answer can't be correct, suppose the experiment is done in zero gravity.
how is that possible? even their solution has included the effect of gravity right
 
palaphys said:
how is that possible? even their solution has included the effect of gravity right
Yes, they correctly accounted for gravity. But, they did not account for the change in chemical energy ##U_{chem}## of the battery. Their solution predicts an imaginary value for the final speed of the plate for the case where ##g = 0.##

This is a good problem for demonstrating the importance of clearly defining your "system".

If we take the capacitor, the earth, and the battery as the system, then we have an isolated system. So, ##\Delta E_{sys} = 0##. Then $$\Delta U_{cap} + \Delta U_{grav} + \Delta U_{chem} + \Delta K = 0.$$
If we consider the capacitor and the earth as the system, then the battery acts as an external agent doing work on the system. Then, $$W_{bat} = \Delta U_{cap} + \Delta U_{grav} + \Delta K.$$
Other possibilities are:
(a) Choose the capacitor to be the system,
(b) Choose just the top plate of the capacitor to be the system.

What would the work-energy equation look like for these two choices?

If set up correctly, all of these different choices for the system will yield the same answer for the speed of the plate.
 
Last edited:

Similar threads

  • · Replies 8 ·
Replies
8
Views
2K
  • · Replies 7 ·
Replies
7
Views
2K
  • · Replies 4 ·
Replies
4
Views
2K
  • · Replies 18 ·
Replies
18
Views
2K
  • · Replies 16 ·
Replies
16
Views
2K
Replies
37
Views
3K
  • · Replies 4 ·
Replies
4
Views
2K
Replies
4
Views
2K
Replies
4
Views
3K
  • · Replies 4 ·
Replies
4
Views
1K