Game Theory: Are the payoff functions πi continuous?

Click For Summary

Discussion Overview

The discussion revolves around the continuity of payoff functions πi in game theory, specifically addressing how to demonstrate that these functions may not be continuous and the implications for the existence of best replies. The scope includes theoretical exploration and potential homework-related inquiries.

Discussion Character

  • Exploratory, Homework-related, Technical explanation

Main Points Raised

  • One participant questions how to show that the payoff function πi is not continuous and why best replies do not always exist.
  • Another participant suggests a method for demonstrating non-continuity by identifying a point where the function fails to meet continuity conditions.
  • A later reply reiterates the previous suggestion about finding a point of discontinuity and proving it does not satisfy continuity conditions, while also questioning if this is a homework problem.
  • Concerns are raised about the challenges of identifying non-continuous parts in large intervals, with a request for a more algorithmic approach.
  • One participant notes that for piecewise functions, the borders between pieces are key points to check for continuity, while also mentioning that simple polynomial pieces are generally continuous.

Areas of Agreement / Disagreement

Participants express varying approaches to demonstrating non-continuity, with no consensus on a specific method or resolution to the questions posed. The discussion remains unresolved regarding the best approach to the problem.

Contextual Notes

Limitations include potential assumptions about the nature of the payoff functions and the specific conditions under which continuity is evaluated. The discussion does not resolve the mathematical steps necessary to demonstrate non-continuity.

vonanka
Messages
2
Reaction score
0
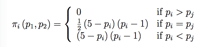
  1. How do I show that the payoff function πi isn´t continuous? Why do best replies not always exist?
    Skärmavbild 2017-05-16 kl. 21.57.54.png
    Skärmavbild 2017-05-16 kl. 21.58.15.png
 
Mathematics news on Phys.org
vonanka said:
How do I show that the payoff function πi isn´t continuous?
In the same way you show that a function is not continuous for (nearly) every other function. Find a point where it is not continuous and prove that the function does not satisfy the condition for continuity there.

Is this a homework problem?
 
mfb said:
In the same way you show that a function is not continuous for (nearly) every other function. Find a point where it is not continuous and prove that the function does not satisfy the condition for continuity there.

Is this a homework problem?
Okey, but what if the interval was extremely large. Is there a way to find the non continuous part in a smart algorithmic way?
It´s a old exam without answers. Really need a explanation here. Thanks.
 
If you have a piecewise definition, the borders between the pieces are always obvious places to check.
The pieces itself can be discontinuous as well, but if they are simple polynomials like here you know they are continuous.
 

Similar threads

  • · Replies 6 ·
Replies
6
Views
4K
  • · Replies 2 ·
Replies
2
Views
3K
  • · Replies 131 ·
5
Replies
131
Views
12K
  • · Replies 4 ·
Replies
4
Views
2K
  • · Replies 3 ·
Replies
3
Views
4K
  • · Replies 2 ·
Replies
2
Views
1K
  • · Replies 2 ·
Replies
2
Views
5K
  • · Replies 11 ·
Replies
11
Views
4K
  • · Replies 20 ·
Replies
20
Views
9K
  • · Replies 6 ·
Replies
6
Views
7K