mathmari
Gold Member
MHB
- 4,984
- 7
Hey! 
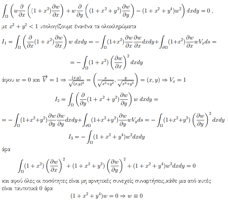
Prove using Green's theorem that the boundary value problem $$\frac{\partial}{\partial{x}}\left ( (1+x^2)\frac{\partial{u}}{\partial{x}}\right )+\frac{\partial}{\partial{y}}\left ( (1+x^2+y^2)\frac{\partial{u}}{\partial{y}}\right ) -(1+x^2+y^4)u=f(x,y), x^2+y^2<1 \\ u(x, y)=g(x,y), x^2+y^2=1$$ has at most one solution.
I have done the following:
We suppose that the problem has two different solutions $u_1, u_2$. Then $w=u_1-u_2$ solves the problem:
$$\frac{\partial}{\partial{x}}\left ( (1+x^2)\frac{\partial{w}}{\partial{x}}\right )+\frac{\partial}{\partial{y}}\left ( (1+x^2+y^2)\frac{\partial{w}}{\partial{y}}\right ) -(1+x^2+y^4)w=0, x^2+y^2<1 \\ w(x, y)=0, x^2+y^2=1$$
From Green's theorem at $\Omega$ we have that $$\iint_{\Omega}\left (\frac{\partial{Q}}{\partial{x}}-\frac{\partial{P}}{\partial{y}}\right )dxdy=\int_{\partial{\Omega}}(Pdx+Qdy)$$
We choose $$Q=(1+x^2)\frac{\partial{w}}{\partial{x}}, P=-(1+x^2+y^2)\frac{\partial{w}}{\partial{y}}$$
$$\iint_{\Omega}\frac{\partial}{\partial{x}}\left ( (1+x^2)\frac{\partial{w}}{\partial{x}}\right )+\frac{\partial}{\partial{y}}\left ((1+x^2+y^2)\frac{\partial{w}}{\partial{y}}\right )\\ =-\int_{\partial{\Omega}}-(1+x^2+y^2)\frac{\partial{w}}{\partial{y}}dx+(1+x^2)\frac{\partial{w}}{\partial{x}}dy$$
How could I continue?? (Wondering)
Prove using Green's theorem that the boundary value problem $$\frac{\partial}{\partial{x}}\left ( (1+x^2)\frac{\partial{u}}{\partial{x}}\right )+\frac{\partial}{\partial{y}}\left ( (1+x^2+y^2)\frac{\partial{u}}{\partial{y}}\right ) -(1+x^2+y^4)u=f(x,y), x^2+y^2<1 \\ u(x, y)=g(x,y), x^2+y^2=1$$ has at most one solution.
I have done the following:
We suppose that the problem has two different solutions $u_1, u_2$. Then $w=u_1-u_2$ solves the problem:
$$\frac{\partial}{\partial{x}}\left ( (1+x^2)\frac{\partial{w}}{\partial{x}}\right )+\frac{\partial}{\partial{y}}\left ( (1+x^2+y^2)\frac{\partial{w}}{\partial{y}}\right ) -(1+x^2+y^4)w=0, x^2+y^2<1 \\ w(x, y)=0, x^2+y^2=1$$
From Green's theorem at $\Omega$ we have that $$\iint_{\Omega}\left (\frac{\partial{Q}}{\partial{x}}-\frac{\partial{P}}{\partial{y}}\right )dxdy=\int_{\partial{\Omega}}(Pdx+Qdy)$$
We choose $$Q=(1+x^2)\frac{\partial{w}}{\partial{x}}, P=-(1+x^2+y^2)\frac{\partial{w}}{\partial{y}}$$
$$\iint_{\Omega}\frac{\partial}{\partial{x}}\left ( (1+x^2)\frac{\partial{w}}{\partial{x}}\right )+\frac{\partial}{\partial{y}}\left ((1+x^2+y^2)\frac{\partial{w}}{\partial{y}}\right )\\ =-\int_{\partial{\Omega}}-(1+x^2+y^2)\frac{\partial{w}}{\partial{y}}dx+(1+x^2)\frac{\partial{w}}{\partial{x}}dy$$
How could I continue?? (Wondering)