Has anybody got a cleaner solution?

  • Context: Graduate 
  • Thread starter Thread starter macilrae
  • Start date Start date
Click For Summary

Discussion Overview

The discussion revolves around finding a cleaner solution to the differential equation dx/dy = x/y - √{1 + (x/y)^2}. Participants explore various substitutions and methods to simplify the equation, including trigonometric and hyperbolic functions, while expressing concerns about the complexity of logarithmic expressions in their solutions.

Discussion Character

  • Exploratory
  • Technical explanation
  • Debate/contested
  • Mathematical reasoning

Main Points Raised

  • One participant proposes substituting x/y = z, leading to ln(y/c) = arcsinh(z), but finds the logarithmic form messy.
  • Another suggests letting x = y sinh(t), which simplifies the ODE but still involves hyperbolic functions that some wish to avoid.
  • A different approach using geometric formulation is mentioned, involving trigonometric functions and the relationship between reflected rays and tangents to the curve.
  • Some participants express frustration with the appearance of sinh(ln()) in their solutions, feeling it complicates what could be a simpler expression.
  • One participant discusses an implicit equation approach, deriving relationships between p, z, and y, leading to a general solution but also hinting at potential singular solutions.
  • Corrections are made regarding the original conditions for the mirror profile, indicating the complexity of the problem and the various interpretations of the differential equation.

Areas of Agreement / Disagreement

Participants express a range of views on the best method to solve the equation, with no consensus on a single cleaner solution. Some prefer trigonometric approaches, while others lean towards hyperbolic functions, indicating a lack of agreement on the most elegant method.

Contextual Notes

Participants note the presence of logarithmic and hyperbolic functions in their solutions, which they find cumbersome. There are also discussions about the implications of certain substitutions and the conditions under which the original equation is defined.

Who May Find This Useful

This discussion may be useful for those interested in differential equations, particularly in the context of geometric applications and the exploration of various mathematical techniques for solving them.

macilrae
Messages
7
Reaction score
0
Attempting to solve

dx/dy = x/y - √{1 + (x/y)^2}

I can substitute x/y = z and get

ln(y/c) = arcsinh(z) c is constant of integration

or putting x/y = tan(θ)

I get

ln(y/c) = ln(sec(θ) + tan(θ))

both of which do give a parabola but the interim logs seem so messy and unnecessary.
Is there a better more direct substitution?
 
Physics news on Phys.org
Hi !
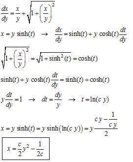
Let x = y sinh(t)
dx/dy = sinh(t) + y cosh(t) (dt/dy)
which leads to a very simple ODE
 
Thanks, JJaquelin - that's certainly a fast and ingenious idea - you still bump into the Sinh(ln()) thingy which I had hoped to avoid - probably I'm too picky.
The equation arose from asking what curve, symmetric about the x axis, will always reflect back a right-to-left ray, parallel to x axis, through the same point (parabolic reflector - focal point).
 
A trig substitution is the "natural" way to solve this if you formulate the DE using geometry. Putting the fixed point at the origin, the equations for the directon of the reflected ray and the tangent to the curve are

dy/dx = cot (t/2)
tan t = y/x
 
sinh(ln(c*y)) = (c*y-(1/(c*y))/2
So, there is no hyperbolic function, nor trigonometric function, in the final result : x = function of y , which is a very simple parabolic function.
 
AlephZero - Right, those were the starting equations & they look so simple - I don't begrudge a log popping up, but when I immediately have to antilog it, intuitively I think "There has to be a more elegant way!"
 
JJaquelin - it's the sinh(ln()) that is bugging me! Having to "do and undo" seems redundant - especially because the final expression is the simplest parabola!
 
Notice that:
[tex] \mathrm{arcsinh} (x) = \ln \left( x + \sqrt{1 + x^2} \right)[/tex]

Your equation
[tex] \frac{dx}{dy} = \frac{x}{y} - \sqrt{1 + \left( \frac{x}{y} \right)^2}[/tex]
after the substitution
[tex] z = \frac{x}{y}, \ z = z(y)[/tex]
reduces to:
[tex] y \, z' + z = z - \sqrt{1 + z^2}[/tex]
[tex] \frac{dz}{\sqrt{1 + z^2}}+ \frac{dy}{y} = 0[/tex]
which integrates to:
[tex] \mathrm{arcsinh}(z) + \ln(y) = C[/tex]
I think you have the realtive sign opposite to this in your solution. Then, use the above representation of the inverse hyperbolic sine, and take the antilogratihm:
[tex] y \, \left( z + \sqrt{1 +z^2} \right) = C_1[/tex]
[tex] x + \sqrt{x^2 + y^2} = C_1[/tex]
[tex] \sqrt{x^2 + y^2} = C_1 - x[/tex]
Square it:
[tex] x^2 + y^2 = \left(C_1 - x \right)^2[/tex]
[tex] x^2 + y^2 = C^{2}_{1} - 2 \, x \, C_1 + x^2[/tex]
[tex] x = \frac{C_1}{2} - \frac{y^2}{2 C_1}[/tex]
 
Another way is to solve it as an implicit equation. Introduce [itex]p = dx/dy[/itex], and [itex]z = x/y[/itex]. Then:
[tex] p = z - \sqrt{1 + z^2}[/tex]
[tex] \sqrt{1 + z^2} = z - p[/tex]
Squaring it gives:
[tex] 1 + z^2 = z^2 - 2 p z + p^2[/tex]
[tex] z = \frac{p^2 - 1}{2 p}[/tex]
or
[tex] x = y \, \frac{p^2 - 1}{2 p}[/tex]
This is an implicit equation of the Lagrange-Clairot type. Differentiate w.r.t. y to get:
[tex] p \, dy = \frac{p^2 - 1}{2 p} \, dy + y \, \frac{2 p \cdot p - (p^2 - 1) \cdot 1}{2 p^2} \, dp[/tex]
[tex] \frac{2 p^2 - p^2 + 1}{2 p} \, dy = y \, \frac{2 p^2 - p^2 + 1}{2 p^2} \, dp[/tex]
[tex] \frac{d y}{y} = \frac{d p}{p}[/tex]
Integrating this equation gives:
[tex] \ln(p) = \ln(y) + C'_1[/tex]
and taking the antilogarithm gives:
[tex] p = C_1 \, y[/tex]
Substitute this in the parametric solution for x:
[tex] x = y \, \frac{C^{2}_{1} y^2 - 1}{2 \, C_{1} \, y} = \frac{C_1 \, y^2}{2} - \frac{1}{2 \, C_1}[/tex]
which is the same general solution as before if you make the substitution [itex]C_1 \rightarrow -1/C_1[/itex].

But, there might also be a singular solution to the equation. It is obtained as an envelope of the family of general solutions. Differentiate w.r.t. to the arbitrary constant to get:
[tex] 0 = \frac{y^2}{2} + \frac{1}{2 \, C^{2}_{1}}[/tex]
This sum of non-negative terms can only be zero, if each term is equal to zero separately. This corresponds to:
[tex] y = 0, \ C_1 \rightarrow \infty[/tex]
To check whether [itex]y = 0[/itex] is a solution of the original equation, solve it for [itex]y' = dy/dx = (dx/dy)^{-1}[/itex]:
[tex] y' = \frac{1}{x/y - \sqrt{1 + (x/y)^2}} = \frac{y}{x - \mathrm{sgn}(y) \, \sqrt{y^2 + x^2}}[/tex]
One may argue that it is because of the y in the numerator, or that the original equation is not defined for [itex]y = 0[/itex].
 
  • #10
Thanks to everyone for engaging my problem - seems the way below is the least painful but certainly not the most creative (thanks Dickfore, I had to look up Lagrange-Clairot!)

The original conditions for the mirror profile were:

dx/dy = -tan(2α) and y/x = tan(α)

which boils down to

dx/dy = x/y ± √{1 + (x/y)^2} ... thanks again for the "+" Dickfore, I'll use that.

using x/y = tan(θ)

dy/y = sec(θ)dθ ... really simple, huh?

but then:frown:

ln(y/C) = ln[tan(θ) + sec(θ)]

ending up with

y^2 = 2Cx + C^2 where C/2 is the focal length

for such a trivial result it seemed messy to go in and out of logs but hey
 
  • #11
correction

dx/dy = tan(α) and y/x = -tan(2α)

sorry
 
  • #12
Hi !

if you know an easier way... :devil:
 

Attachments

  • Easy way.JPG
    Easy way.JPG
    13.7 KB · Views: 446
  • #13
JJaquelin: It's just that given the chance I prefer trigonometrics to hyperbolicals - but never call me prejudiced - some of my best fiends are quite hyperbolic ...
 

Similar threads

  • · Replies 16 ·
Replies
16
Views
4K
  • · Replies 18 ·
Replies
18
Views
3K
  • · Replies 3 ·
Replies
3
Views
4K
  • · Replies 5 ·
Replies
5
Views
3K
  • · Replies 2 ·
Replies
2
Views
3K
Replies
2
Views
2K
  • · Replies 1 ·
Replies
1
Views
2K
Replies
6
Views
2K
  • · Replies 6 ·
Replies
6
Views
6K
  • · Replies 8 ·
Replies
8
Views
2K