Help please differentiating this equation from a mechanics textbook

Click For Summary

Homework Help Overview

The discussion revolves around differentiating an equation from a mechanics textbook, focusing on the terms involving functions \( f_1 \) and \( f_2 \), which are suggested to depend on other variables. Participants are exploring the implications of these dependencies and the application of the chain rule in differentiation.

Discussion Character

  • Exploratory, Mathematical reasoning, Assumption checking

Approaches and Questions Raised

  • Participants are attempting to differentiate a complex equation, questioning the roles of \( f' \) and \( \dot{f} \), and discussing the dependencies of \( f_1 \) and \( f_2 \) on other variables. There are suggestions to complete differentiation with respect to time and to express derivatives in terms of other variables.

Discussion Status

The conversation is ongoing, with participants providing insights and clarifications about the differentiation process. Some have made progress in expressing derivatives but are still struggling to reconcile their results with the expected outcomes from the textbook. There is no explicit consensus yet, but several productive lines of reasoning are being explored.

Contextual Notes

Participants are working under the constraints of a textbook problem, which may impose specific definitions and relationships between variables that are not fully articulated in the discussion. The exact nature of the functions \( f_1 \) and \( f_2 \) and their dependencies on time are also under examination.

Intesar
Messages
18
Reaction score
0
Homework Statement
I came across these equations in a mechanics textbook and wish to differentiate the first equation w.r.t. time to obtain that second equation. Any help is much appreciated!


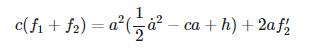
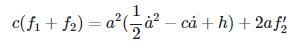
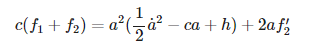
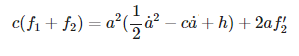
$$c(f_1+f_2)=a^2(\frac{1}{2}\dot{a}^2 -ca+h)+2af'_2$$

$$c(1-\frac{\dot{a}}{c})(f'_1+f'_2)=ca(-2\dot{a}^2 (1-\frac{1}{2}\frac{\dot{a}}{c})-a\ddot{a}(1-\frac{\dot{a}}{c})+2\frac{\dot{a}}{c}h+\frac{a}{c}\dot{h})+2a(1+\frac{\dot{a}}{c}){f''_2}$$

##f_1(x)=f_1(t-\frac{r}{c})##, ##f_2(x)=f_2(t+\frac{r}{c})##
The book didn't explicitly state the functions of time, but from the second equation we can see that ##a## and ##h## are functions of time.

We also know that $$\frac{f'_1+f'_2}{a}+\frac{1}{2}\dot{a}^2+h=0$$ (if that's of any help)
Relevant Equations
Please see above
I tried doing it a few times and this is all I get:

c(˙f1+˙f2)=a˙a2+a2˙a−3ca2+˙ha2+2ha+2˙af′2+2a˙f′2c(f1˙+f2˙)=aa˙2+a2a˙−3ca2+h˙a2+2ha+2a˙f2′+2af2′˙​

Please let me know where I'm going wrong. Thanks
 
Last edited:
Physics news on Phys.org
I do not catch the difference of ##f'## and ##\dot{f}## in your explanation. If they are the same, how about try completing differentiation by t ? For example the first term in RHS of the last equation be ##a\dot{a}^3##.
 
Last edited:
It appears to me that ##f_1## and ##f_2## might be functions of other variables: ##f_1(x_1)## and ##f_2(x_2)##. The primes on the functions denote differentiation with respect to ##x_1## or ##x_2##.

By the chain rule, ##\dot {f_1} = f_1'(x_1) \dot x_1## and similarly for ##f_2##. In order to get their result, it looks like ##x_1## and ##x_2## must depend on time such that ##\dot x_1 = 1- \large \frac{\dot a}{c}## and ##\dot x_2 = 1+ \large \frac{\dot a}{c}##
 
TSny said:
It appears to me that ##f_1## and ##f_2## might be functions of other variables: ##f_1(x_1)## and ##f_2(x_2)##. The primes on the functions denote differentiation with respect to ##x_1## or ##x_2##.

By the chain rule, ##\dot {f_1} = f_1'(x_1) \dot x_1## and similarly for ##f_2##. In order to get their result, it looks like ##x_1## and ##x_2## must depend on time such that ##\dot x_1 = 1- \large \frac{\dot a}{c}## and ##\dot x_2 = 1+ \large \frac{\dot a}{c}##

Yes
TSny said:
It appears to me that ##f_1## and ##f_2## might be functions of other variables: ##f_1(x_1)## and ##f_2(x_2)##. The primes on the functions denote differentiation with respect to ##x_1## or ##x_2##.

By the chain rule, ##\dot {f_1} = f_1'(x_1) \dot x_1## and similarly for ##f_2##. In order to get their result, it looks like ##x_1## and ##x_2## must depend on time such that ##\dot x_1 = 1- \large \frac{\dot a}{c}## and ##\dot x_2 = 1+ \large \frac{\dot a}{c}##

I've attached the page that I am trying to understand. You are right, ##f_1## and ##f_2## are indeed functions of ##x_1## and ##x_2## respectively (see equation 3.71a in the page attached).
I am still however having a hard time to obtain their equation (3.72).
 

Attachments

  • Untitled.png
    Untitled.png
    25.6 KB · Views: 174
anuttarasammyak said:
I do not catch the difference of ##f'## and ##\dot{f}## in your explanation. If they are the same, how about try completing differentiation by t ? For example the first term in RHS of the last equation be ##a\dot{a}^3##.

Ya my mistake, ##\dot{f_1}=f'_1(x_1)\dot{x_1}##. But I'm still unable to obtain their equation.
 
TSny said:
It appears to me that ##f_1## and ##f_2## might be functions of other variables: ##f_1(x_1)## and ##f_2(x_2)##. The primes on the functions denote differentiation with respect to ##x_1## or ##x_2##.

By the chain rule, ##\dot {f_1} = f_1'(x_1) \dot x_1## and similarly for ##f_2##. In order to get their result, it looks like ##x_1## and ##x_2## must depend on time such that ##\dot x_1 = 1- \large \frac{\dot a}{c}## and ##\dot x_2 = 1+ \large \frac{\dot a}{c}##
[
anuttarasammyak said:
I do not catch the difference of ##f'## and ##\dot{f}## in your explanation. If they are the same, how about try completing differentiation by t ? For example the first term in RHS of the last equation be ##a\dot{a}^3##.

##\dot{f_1}=f'_1(x_1)\dot{x_1}##. I'm still unable to obtain their equation (equation 2). The last equation is what I attempted on doing.
 
Intesar said:
I am still however having a hard time to obtain their equation (3.72).

Consider the left side of the equation $$c(f_1+f_2)=a^2(\frac{1}{2}\dot{a}^2 -ca+h)+2af'_2$$

What do you get for the time derivative of ##c(f_1+f_2)##? Express the result in terms of ##f'_1, f'_2, \dot a##, and ##c##.
 
TSny said:
It appears to me that ##f_1## and ##f_2## might be functions of other variables: ##f_1(x_1)## and ##f_2(x_2)##. The primes on the functions denote differentiation with respect to ##x_1## or ##x_2##.

By the chain rule, ##\dot {f_1} = f_1'(x_1) \dot x_1## and similarly for ##f_2##. In order to get their result, it looks like ##x_1## and ##x_2## must depend on time such that ##\dot x_1 = 1- \large \frac{\dot a}{c}## and ##\dot x_2 = 1+ \large \frac{\dot a}{c}##
[
TSny said:
Consider the left side of the equation $$c(f_1+f_2)=a^2(\frac{1}{2}\dot{a}^2 -ca+h)+2af'_2$$

What do you get for the time derivative of ##c(f_1+f_2)##? Express the result in terms of ##f'_1, f'_2, \dot a##, and ##c##.

##\dot{f_1}=f'_1(1-\frac{\dot{a}}{c})## and ##\dot{f_2}=f'_2(1+\frac{\dot{a}}{c})##
 
Good. I think you should be able to complete it. On the right hand side there is the term ##2af'_2##. What's the time derivative of this term?
 
  • #10
TSny said:
It appears to me that ##f_1## and ##f_2## might be functions of other variables: ##f_1(x_1)## and ##f_2(x_2)##. The primes on the functions denote differentiation with respect to ##x_1## or ##x_2##.

By the chain rule, ##\dot {f_1} = f_1'(x_1) \dot x_1## and similarly for ##f_2##. In order to get their result, it looks like ##x_1## and ##x_2## must depend on time such that ##\dot x_1 = 1- \large \frac{\dot a}{c}## and ##\dot x_2 = 1+ \large \frac{\dot a}{c}##
[
TSny said:
Good. I think you should be able to complete it. On the right hand side there is the term ##2af'_2##. What's the time derivative of this term?

The derivative of ##2af'_2## wrt time is ##2\dot{a}f'_2+2a\dot{f'_2}##, but I'm not sure how to express ##\dot{f'_2}## in terms of ##\dot{a}##, ##c## and ##f'##.
 
  • #11
Intesar said:
The derivative of ##2af'_2## wrt time is ##2\dot{a}f'_2+2a\dot{f'_2}##, but I'm not sure how to express ##\dot{f'_2}## in terms of ##\dot{a}##, ##c## and ##f'##.
##f'_2## is just another function of ##x_2##. So, you can use the chain rule to get ##\dot {f'_2}## just like you did when finding ##\dot {f_2}##.
 
  • #12
anuttarasammyak said:
I do not catch the difference of ##f'## and ##\dot{f}## in your explanation. If they are the same, how about try completing differentiation by t ? For example the first term in RHS of the last equation be ##a\dot{a}^3##.

How did you get ##a\dot{a}^3## for the first term on the RHS?
 
  • #13
TSny said:
Good. I think you should be able to complete it. On the right hand side there is the term ##2af'_2##. What's the time derivative of this term?

So I think I'm almost there, but now I'm having a problem with differentiating the the first term on the RHS (##a^2(\frac{1}{2}\dot{a}^2-ca+h)##) with respect to time. This is what I got after differentiating this term:

##a\dot{a}^3+a^2\dot{a}\ddot{a}-3c{a}^2\dot{a}+\dot{h}a^2+2ha\dot{a}##

It seems to be different from what they got, and I am not sure where I went wrong.
 
Last edited:
  • #14
Intesar said:
How did you get a˙a3aa˙3a\dot{a}^3 for the first term on the RHS?

[tex]\dot{a^2}=2a\dot{a}[/tex]
 
  • #15
anuttarasammyak said:
[tex]\dot{a^2}=2a\dot{a}[/tex]

Thanks! Now so I tried differentiating the the first term on the RHS (##a^2(\frac{1}{2}\dot{a}^2-ca+h)##) with respect to time. This is what I got after differentiating this term:

##a\dot{a}^3+a^2\dot{a}\ddot{a}-3c{a}^2\dot{a}+\dot{h}a^2+2ha\dot{a}##

It seems to be different from what they got, and I am not sure where I went wrong.
 
  • #16
Please show us the relation between a and r in OP. Then try calculating time derivative of the rest of RHS,
[tex]\dot{(2af_2')}[/tex]
, as well as LHS.
 
Last edited:
  • #17
anuttarasammyak said:
Please show us the relation between a and r in OP. Then try calculating time derivative of the rest of RHS,
[tex]\dot{(2af_2')}[/tex]
, as well as LHS.

##r=a(t)##
 
  • #18
Intesar said:
##r=a(t)##
Intesar said:
##r=a(t)##

So I tried calculating the derivative now and I'm getting most of the terms (LHS of the equation and the 3 right most terms of the RHS). This is what I have now:

##c(1-\frac{\dot{a}}{c})(f'_1+f'_2)=ca(\frac{\dot{a}^3}{c}+\frac{a\dot{a}\ddot{a}}{c}-3a\dot{a}+\frac{2\dot{a}h}{c}+a\frac{\dot{h}}{c})+2af''_2(1+\frac{\dot{a}}{c})##

I am still trying to figure out the 3 left most terms on the RHS
 
  • #19
TSny said:
##f'_2## is just another function of ##x_2##. So, you can use the chain rule to get ##\dot {f'_2}## just like you did when finding ##\dot {f_2}##.

Ya I just did that. It seems like I'm almost arriving at their expression but I can't seem to get the 2 first terms on the RHS.

##\frac{d}{dt}(a^2(\frac{1}{2}\dot{a}^2-ca)=ca(-2\dot{a}^2(1-\frac{1}{2}\frac{\dot{a}}{c})-a\ddot{a}(1-\frac{\dot{a}}{c}))##

I am not sure how they arrived at that. This is what I keep getting:

##\frac{d}{dt}(a^2(\frac{1}{2}\dot{a}^2-ca)=a\dot{a}^3+a^2\dot{a}\ddot{a}-3ca^2\dot{a}##
 
  • #20
Intesar said:
Thanks! Now so I tried differentiating the the first term on the RHS (##a^2(\frac{1}{2}\dot{a}^2-ca+h)##) with respect to time. This is what I got after differentiating this term:

##a\dot{a}^3+a^2\dot{a}\ddot{a}-3c{a}^2\dot{a}+\dot{h}a^2+2ha\dot{a}##

It seems to be different from what they got, and I am not sure where I went wrong.

It seems like I'm almost arriving at their expression but I can't seem to get the first few terms on the RHS.

##\frac{d}{dt}(a^2(\frac{1}{2}\dot{a}^2-ca)=ca(-2\dot{a}^2(1-\frac{1}{2}\frac{\dot{a}}{c})-a\ddot{a}(1-\frac{\dot{a}}{c}))##

I am not sure how they arrived at that. This is what I keep getting:

##\frac{d}{dt}(a^2(\frac{1}{2}\dot{a}^2-ca)=a\dot{a}^3+a^2\dot{a}\ddot{a}-3ca^2\dot{a}##
 
  • #21
I should have checked more carefully.

Note that in the equation
1588022464558.png

the first and second terms inside the parentheses on the RHS do not match dimensionally. I suspect that there is a typographical error and the middle term should actually be ##-c\dot a## instead of ##-ca##. So the equation should be

1588022601149.png


Then, I believe that taking the time derivative of this will lead to the result as given in the text.
 
  • Like
Likes   Reactions: anuttarasammyak
  • #22
TSny said:
##f'_2## is just another function of ##x_2##. So, you can use the chain rule to get ##\dot {f'_2}## just like you did when finding ##\dot {f_2}##.

Ya I just did that. It seems like I'm almost arriving at their expression but I can't seem to get the 2 first terms on the RHS.

##\frac{d}{dt}(a^2(\frac{1}{2}\dot{a}^2-ca)=ca(-2\dot{a}^2(1-\frac{1}{2}\frac{\dot{a}}{c})-a\ddot{a}(1-\frac{\dot{a}}{c}))##

I am not sure how they arrived at that. This is what I keep getting:

##\frac{d}{dt}(a^2(\frac{1}{2}\dot{a}^2-ca)=ca(-2\dot{a}^2(1-\frac{1}{2}\frac{\dot{a}}{c})-a\ddot{a}(1-\frac{\dot{a}}{c}))##
TSny said:
I should have checked more carefully.

Note that in the equation
View attachment 261593
the first and second terms inside the parentheses on the RHS do not match dimensionally. I suspect that there is a typographical error and the middle term should actually be ##-c\dot a## instead of ##-ca##. So the equation should be

View attachment 261594

Then, I believe that taking the time derivative of this will lead to the result as given in the text.

Thank you so so much! I really appreciate all your help. It finally worked :)
 

Similar threads

  • · Replies 6 ·
Replies
6
Views
3K
Replies
4
Views
4K
Replies
17
Views
3K
  • · Replies 2 ·
Replies
2
Views
2K
Replies
2
Views
2K
Replies
39
Views
6K
  • · Replies 2 ·
Replies
2
Views
2K
  • · Replies 13 ·
Replies
13
Views
2K
Replies
4
Views
4K
  • · Replies 5 ·
Replies
5
Views
4K