Help Solving Integral: pi*(1-1/e)

  • Context: Undergrad 
  • Thread starter Thread starter gholamghar
  • Start date Start date
  • Tags Tags
    Integral
Click For Summary
SUMMARY

The integral in question is pi*(1-1/e), which was incorrectly calculated as -pi/e by the original poster. The correct approach involves integrating around a loop in the complex plane, specifically from -R to R on the real line and then counter-clockwise around the half circle in the positive imaginary half-plane. The function has a pole at z=i and a removable discontinuity at z=0, with the integral's value dependent on the residue at z=1. The discussion emphasizes the importance of calculating the residue to arrive at the correct result.

PREREQUISITES
  • Complex analysis, specifically contour integration
  • Understanding of residues and poles in complex functions
  • Familiarity with limits and behavior of integrals at infinity
  • Basic knowledge of calculus and integral evaluation techniques
NEXT STEPS
  • Study the method of contour integration in complex analysis
  • Learn how to calculate residues for complex functions
  • Explore the concept of poles and removable discontinuities in complex functions
  • Investigate the application of limits in evaluating improper integrals
USEFUL FOR

Mathematicians, students of calculus and complex analysis, and anyone interested in advanced integral evaluation techniques.

gholamghar
Messages
23
Reaction score
0
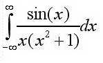
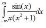
please Help for this integral!

hello
could anyone help me for this integral:
107422924.XHIPuDo7.integral.jpg


every time i solve this i reach to this answer: -pi/e

but the right answer is :pi*(1-1/e)
 

Attachments

  • integral.jpg
    integral.jpg
    2.8 KB · Views: 455
Physics news on Phys.org


How about showing us HOW you got that result? I think I would be inclined to integrate around a loop in the complex plane- integrate from -R to R on the real line, then counter-clockwise around the half circle in the positive i half plane with radius R. The function has a pole at z= i. (And a removable discontinuity at z= 0.) Then, of course, take the limit as R goes to infinity. Since the integrand obviously goes to 0 as |z| goes to infinity, the integral depends completely on the residue at z= 1. Did you calculate the residue?

But that might be exactly what you are trying to do or it might be completely different. What, if anything, you did wrong, we can't say until we see what you did.

And since this does not have anything, directly, to do with "differential equations", I am moving it to "Calculus and Analysis".
 
Last edited by a moderator:


thanks for the answer,it helped a lot
 

Similar threads

  • · Replies 27 ·
Replies
27
Views
3K
  • · Replies 4 ·
Replies
4
Views
3K
  • · Replies 2 ·
Replies
2
Views
3K
  • · Replies 29 ·
Replies
29
Views
5K
Replies
5
Views
4K
  • · Replies 5 ·
Replies
5
Views
3K
  • · Replies 2 ·
Replies
2
Views
2K
  • · Replies 3 ·
Replies
3
Views
2K
  • · Replies 8 ·
Replies
8
Views
3K
  • · Replies 3 ·
Replies
3
Views
3K