How Are Expressions Derived from Previous Equations in Mathematical Problems?

  • Context: Undergrad 
  • Thread starter Thread starter skku
  • Start date Start date
Click For Summary
SUMMARY

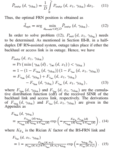
The discussion focuses on deriving mathematical expressions from previous equations, specifically how expressions 7 and 8 are achieved from equation 6, and expressions 13, 14, and 15 from equation 12. The method involves dividing equation 6 by B*η, applying exponentiation, simplifying, and renaming variables, such as changing γ to γthD. For expression 8, the variable R is substituted with 2R. The second problem requires additional formulas not provided in the referenced image.

PREREQUISITES
  • Understanding of basic arithmetic operations and algebraic manipulation
  • Familiarity with exponentiation and variable substitution
  • Knowledge of mathematical notation and terminology
  • Ability to interpret and analyze mathematical expressions
NEXT STEPS
  • Study the principles of algebraic manipulation in mathematical expressions
  • Learn about variable substitution techniques in equations
  • Explore exponentiation rules and their applications in problem-solving
  • Investigate common mathematical formulas that may be relevant to the discussed problems
USEFUL FOR

Students, educators, and professionals in mathematics or engineering fields who are looking to enhance their understanding of deriving expressions from existing equations.

skku
Messages
1
Reaction score
0
Problem number 1:
How the author has achieved expression 7 and 8 by using 6?

KqifFPn.png


Problem number 2:
How the author has achieved expression 13,14 and 15 by using 12?

jyMcl9H.png


Thanks in advance
 
Mathematics news on Phys.org
Just arithmetics. Divide (6) by B*η, put both sides in an exponent (2^...), simplify, rename γ to γthD.
To get (8), replace R by 2R.

I think the second problem needs some formulas not given in the image.
 

Similar threads

  • · Replies 5 ·
Replies
5
Views
2K
  • · Replies 4 ·
Replies
4
Views
2K
  • · Replies 6 ·
Replies
6
Views
4K
  • · Replies 12 ·
Replies
12
Views
2K
  • · Replies 1 ·
Replies
1
Views
3K
  • · Replies 105 ·
4
Replies
105
Views
11K
  • · Replies 55 ·
2
Replies
55
Views
7K
  • · Replies 3 ·
Replies
3
Views
2K
  • · Replies 8 ·
Replies
8
Views
3K
  • · Replies 10 ·
Replies
10
Views
2K