How are Shear and Bending Moment Equations Derived from Distributed Loads?

Click For Summary
SUMMARY

The discussion focuses on the derivation of shear (V) and bending moment (M) equations from distributed loads (ω) in structural analysis. Participants clarify the relationship between distributed loads and their slopes concerning the x-coordinate, emphasizing the importance of understanding these concepts for accurate diagram construction. The conversation highlights the necessity of mastering the foundational equations to effectively analyze shear and bending moments in engineering applications.

PREREQUISITES
  • Understanding of shear and bending moment diagrams
  • Familiarity with distributed load concepts in structural analysis
  • Knowledge of basic calculus, particularly derivatives
  • Experience with engineering mechanics principles
NEXT STEPS
  • Study the derivation of shear and bending moment equations from first principles
  • Learn about the relationship between distributed loads and their graphical representations
  • Explore advanced topics in structural analysis, such as the influence line method
  • Investigate software tools for creating shear and bending moment diagrams, such as AutoCAD or SAP2000
USEFUL FOR

Students in civil and structural engineering, practicing engineers involved in structural analysis, and anyone interested in mastering the principles of shear and bending moment calculations.

liwolf
Messages
2
Reaction score
0

Homework Statement


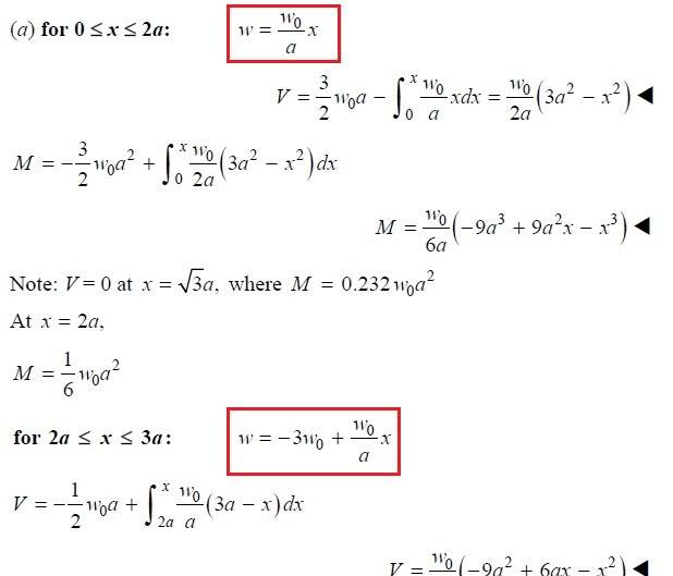
draw/find the shear and bending moment diagrams of:
Untitled-1.jpg


Homework Equations


asd-1.jpg

V : shear
M : bending moment
ω : distributed load

The Attempt at a Solution


i already understood how the solution worked but i can't quite understand how the equations with the boxes were derived
 
Last edited:
Physics news on Phys.org
What is the slope of the distributed loads with respect to the x-coordinate?
 

Similar threads

  • · Replies 2 ·
Replies
2
Views
3K
  • · Replies 2 ·
Replies
2
Views
3K
  • · Replies 4 ·
Replies
4
Views
4K
  • · Replies 12 ·
Replies
12
Views
2K
  • · Replies 10 ·
Replies
10
Views
3K
  • · Replies 16 ·
Replies
16
Views
4K
  • · Replies 3 ·
Replies
3
Views
2K
  • · Replies 2 ·
Replies
2
Views
5K
Replies
9
Views
3K
  • · Replies 9 ·
Replies
9
Views
10K