How can I find this characteristic function

Click For Summary
SUMMARY

The discussion focuses on finding the characteristic function of the random variable X with the probability density function (PDF) defined as f_X(x) = 1/(x+1)^2 for X in [0, ∞). The user attempts to compute the characteristic function using the expectation formula φ_X(jν) = E[e^{jνX}] and encounters difficulties with integration by parts. The integration leads to a complex expression involving the exponential integral E_i, indicating that the user needs to evaluate limits and apply specific integral transformations to derive the characteristic function accurately.

PREREQUISITES
  • Understanding of characteristic functions in probability theory
  • Familiarity with integration techniques, particularly integration by parts
  • Knowledge of exponential integrals, specifically E_i
  • Experience with complex analysis, particularly dealing with complex exponentials
NEXT STEPS
  • Study the properties of characteristic functions in probability theory
  • Learn advanced integration techniques, focusing on integration by parts and limits
  • Research the exponential integral function E_i and its applications
  • Explore computational tools like Wolfram Mathematica for evaluating complex integrals
USEFUL FOR

Mathematicians, statisticians, and students in advanced probability theory who are working on characteristic functions and complex integrals.

EngWiPy
Messages
1,361
Reaction score
61
Hello all,

I'm trying to find the characteristic function of the random variable ##X## whose PDF is ##f_X(x)=1/(x+1)^2## where ##X\in[0,\,\infty)##. I started like this:

[tex]\phi_X(j\nu)=E\left[e^{j\nu X}\right]=\int_0^{\infty}\frac{e^{j\nu X}}{(x+1)^2}\,dx[/tex]

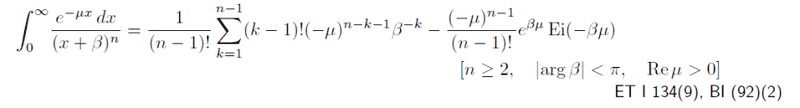
where ##j=\sqrt{-1}##. I searched the Table of Integrals book, and found the formula attached. However, according to the conditions, the real part of ##\mu## must be positive. In my case it's 0. So, I think I cannot use this formula. How then can I evaluate the above integral? I tried integration by parts by letting ##u=e^{j\nu x}## and ##dv=dx/(x+1)^2##, which gave me:

[tex]\int_0^{\infty}\frac{e^{j\nu X}}{(x+1)^2}\,dx=\left. \frac{-e^{j\nu x}}{x+1}\right|_0^{\infty}+j\nu\int_0^{\infty}\frac{e^{j\nu x}}{x+1}\,dx[/tex]

Is this the right way? If yes, then what? I have the same problem again in the right hand side (I mean the integral), besides the first term that I'm not sure if it's 0 or infinity at ##x=\infty##.
 

Attachments

  • Untitled.png
    Untitled.png
    17.5 KB · Views: 514
Physics news on Phys.org
I think you can use a similar formula in your link, if you set in your integral ##x+1=-w## you have:

##=-\int_{-1}^{-\infty}\frac{e^{j\nu-j\nu w}}{w^2}dw=e^{j\nu}\int_{-\infty}^{-1}\frac{e^{-j\nu w}}{w^2}dw##

now if you put this in wolfram Mathematica you will obtain:

##-\frac{j\nu w E_{i}(-j\nu w)+e^{-j\nu w}}{w}##

as primitive. Rewrite with ##x## and take the limit ... (##E_{i}## is another expression for the exponential integral)
 

Similar threads

  • · Replies 27 ·
Replies
27
Views
4K
  • · Replies 3 ·
Replies
3
Views
3K
  • · Replies 5 ·
Replies
5
Views
3K
  • · Replies 1 ·
Replies
1
Views
3K
  • · Replies 19 ·
Replies
19
Views
5K
  • · Replies 1 ·
Replies
1
Views
645
  • · Replies 9 ·
Replies
9
Views
2K
  • · Replies 2 ·
Replies
2
Views
2K
Replies
6
Views
2K
  • · Replies 9 ·
Replies
9
Views
2K