Integral with Exponential Integral Function

  • Context: High School 
  • Thread starter Thread starter EngWiPy
  • Start date Start date
  • Tags Tags
    Integral
Click For Summary

Discussion Overview

The discussion revolves around evaluating the integral involving the exponential integral function, specifically the expression \(\int_0^{\infty}\nu^{n}e^{-j\nu[y+n]}\left[E_1(-j\nu)\right]^n\,d\nu\). Participants explore various methods for tackling this integral, including numerical approaches, approximations, and integration techniques.

Discussion Character

  • Exploratory
  • Technical explanation
  • Mathematical reasoning
  • Debate/contested

Main Points Raised

  • One participant expresses difficulty in finding an exact solution for the integral for all \(n\) and suggests using mathematical software or approximations for the exponential integral function \(E_1(x)\).
  • Another participant proposes using integration by parts and provides a differentiation formula related to \(E(-xy)^n\), suggesting it may be manageable for small values of \(n\).
  • There is a discussion about differentiating \(E_1(-j\nu)\) and how to apply the fundamental theorem of calculus in this context.
  • One participant questions the correctness of their understanding regarding the differentiation of \(E_1(-j\nu)\) and seeks clarification on the derivation of expressions related to it.
  • A later reply suggests reformulating the integral to facilitate differentiation with respect to \(\nu\).
  • Another participant encourages testing the integral for \(n=2\) as a specific case.

Areas of Agreement / Disagreement

Participants do not reach a consensus on a method for evaluating the integral, with multiple competing approaches and uncertainties expressed throughout the discussion.

Contextual Notes

Limitations include the complexity of the integral, the dependence on the behavior of the exponential integral function, and the challenges associated with approximating or simplifying the expression raised to the power of \(n\).

EngWiPy
Messages
1,361
Reaction score
61
Hi all,

I have this integral:

[tex]\int_0^{\infty}\nu^{n}e^{-j\nu[y+n]}\left[E_1(-j\nu)\right]^n\,d\nu[/tex]

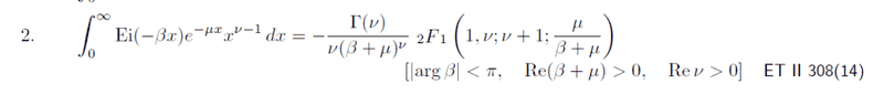
How can I evaluate this integral? I found the attached integral formula in the table of integrals, but the exponential integral function ##E_1(.)## is not raised to the power of an exponent ##n\ge 0##. Any idea?

Thanks in advance
 

Attachments

  • Eq1.png
    Eq1.png
    16.1 KB · Views: 515
  • Like
Likes   Reactions: zaidalyafey
Physics news on Phys.org
Hi, to find an exact answer seems hard! especially for every ##n##. I suggest you to try with a math software as Mathematica or use some approximation of ##E_{1}(x)## as the following:

## E_{1}(x)=\int_{x}^{+\infty}\frac{e^{-t}}{t}dt \sim e^{-x}\sum_{n=0}^{+\infty}(-1)^{n}\frac{n!}{x^{n+1}}##

that is a good approximation for ##x\rightarrow +\infty##.
 
Ssnow said:
Hi, to find an exact answer seems hard! especially for every ##n##. I suggest you to try with a math software as Mathematica or use some approximation of ##E_{1}(x)## as the following:

## E_{1}(x)=\int_{x}^{+\infty}\frac{e^{-t}}{t}dt \sim e^{-x}\sum_{n=0}^{+\infty}(-1)^{n}\frac{n!}{x^{n+1}}##

that is a good approximation for ##x\rightarrow +\infty##.

I could use numerical integration I guess, but this isn't the final result in my analysis. The infinite series approximation is still problematic as it's raised to the power and its upper limit is infinite.
 
Well, I suggest you use integration by parts since

$$\frac {\partial }{\partial x} E(-xy)^n =-n\frac {e^{xy}}{x} E(-xy)^{n-1} $$

I think it is easy for small values of n. Try to generalize it.
 
zaidalyafey said:
Well, I suggest you use integration by parts since

$$\frac {\partial }{\partial x} E(-xy)^n =-n\frac {e^{xy}}{x} E(-xy)^{n-1} $$

I think it is easy for small values of n. Try to generalize it.

Thanks. Do you have a resource for this formula?
 
S_David said:
Thanks. Do you have a resource for this formula?

It is a simple differentiation of power

$$\frac {d}{dx}[g (x)]^n = n g'(x) [g (x)]^{n-1}$$
 
  • Like
Likes   Reactions: EngWiPy
zaidalyafey said:
It is a simple differentiation of power

$$\frac {d}{dx}[g (x)]^n = n g'(x) [g (x)]^{n-1}$$

Right. But how to differentiate ##E_1(-j\nu)##. I know that

[tex]E_1(-j\nu)=\int_1^{\infty}\frac{e^{j\nu t}}{t}\,dt[/tex].

This means that
[tex]\frac{\partial}{\partial \nu}E_1(-j\nu)=\int_1^{\infty}\frac{\partial}{\partial \nu} \frac{e^{j\nu t}}{t}\,dt=j\int_1^{\infty}e^{j\nu t}\,dt[/tex]

Right? How did you get your expression?

Thanks
 
Am I right in this or not?
 
hhmmm, it is convenient to have the integral in the form ##E_{1}(-j\nu)=\int_{-j\nu}^{+\infty}\frac{e^{-t}}{t}dt## so you can apply the fundament theorem of calculus when you derive respect ##\nu##...
To be precise it is better take the limit:

##\lim_{b\rightarrow +\infty}\frac{\partial}{\partial\nu}\int_{-j\nu}^{b}\frac{e^{-t}}{t}dt =... ##
 
  • Like
Likes   Reactions: zaidalyafey and EngWiPy
  • #10
Yes as Ssnow suggested. Can you try sovle the integral for n=2 ?

Sorry I for the late response I was travelling.
 
Last edited:

Similar threads

Replies
6
Views
2K
  • · Replies 27 ·
Replies
27
Views
3K
  • · Replies 3 ·
Replies
3
Views
2K
  • · Replies 1 ·
Replies
1
Views
2K
  • · Replies 21 ·
Replies
21
Views
4K
  • · Replies 4 ·
Replies
4
Views
2K
  • · Replies 6 ·
Replies
6
Views
3K
  • · Replies 3 ·
Replies
3
Views
2K
  • · Replies 12 ·
Replies
12
Views
2K
  • · Replies 4 ·
Replies
4
Views
3K