How Do Bound Charges Affect Polarization in Electrodynamics?

Click For Summary

Homework Help Overview

The discussion revolves around the effects of bound charges on polarization in electrodynamics, specifically in the context of a cylindrical geometry with uniform charge density. Participants are exploring the relationships between electric displacement, polarization, and charge densities.

Discussion Character

  • Exploratory, Conceptual clarification, Mathematical reasoning, Problem interpretation, Assumption checking

Approaches and Questions Raised

  • Participants are attempting to derive expressions for polarization and bound charge densities using various equations, including Gauss's law. Questions about the direction of polarization and the implications of symmetry are raised, along with uncertainties regarding calculations and assumptions about charge distributions.

Discussion Status

The discussion is active, with participants providing guidance on using symmetry arguments to determine the direction of polarization. Some participants express uncertainty about their calculations and seek clarification on the implications of their results, while others suggest revisiting specific steps in the derivation process.

Contextual Notes

There is mention of constraints related to the geometry of the problem, specifically the use of Gaussian surfaces and the need to consider both free and bound charges in the calculations. Some participants highlight the importance of distinguishing between different types of charge densities in their approaches.

Gustav
Messages
57
Reaction score
5
Homework Statement
A long straight non-conductive cylindrical rod with radius a has the permittivity ε. It is given by a uniform free space charge density ρ_f. (That this charge density is "free" means that it did not arise through polarization. However, the charges that build up ρ_f are not moving freely, but ρ_f has the same constant value throughout the rod.) Determine all bound charge densities by using the cylinder symmetry and verify from these that the total bound charge per unit length of the rod is zero.
Relevant Equations
Q = Q_b + Q_f

P = ε_0 X_e E

D = ε_0 E
I was trying to solve it using the formula for polaresation P = ε E - ε0 E. Then I tried to solve for E which is D/ε and D= ρf/ε. So at the end, I will have something as P = pf- (ε0ε).
ρb = -∇ * P = 0 so σb = P * n = ...? I am unsure what the direction for the polaresation should be? I need guidance for my solution, I would appreciate any suggestens in changing anything in my solution.
 
  • Like
Likes   Reactions: berkeman
Physics news on Phys.org
Find ##\vec D## inside the cylinder using Gauss's law.
Use ##\vec D =\epsilon \vec E+\vec P## and ##\vec D=\epsilon \vec E## to find ##\vec P## in terms of ##\vec D## that you already know.
Find ##\rho_b## and ##\sigma_b##.
Do the volume and surface integrals and show that their sum is zero. It works.

By symmetry, the polarization can only be radial.
 
  • Like
Likes   Reactions: Gustav
kuruman said:
Find ##\vec D## inside the cylinder using Gauss's law.
Use ##\vec D =\epsilon \vec E+\vec P## and ##\vec D=\epsilon \vec E## to find ##\vec P## in terms of ##\vec D## that you already know.
Find ##\rho_b## and ##\sigma_b##.
Do the volume and surface integrals and show that their sum is zero. It works.

By symmetry, the polarization can only be radial.
This is what I already have done in the solution above, but now at least know the direction of polarization. Since the free charge is not build from the polarisation, I was wondering if that was a correct solution to it? With other words solving for the polarisations to find the bound charge.
 
The equation ##\vec \nabla \cdot \vec D=\rho_f## is valid in vacuum as well as in a dielectric medium. That should be our starting point. As for the question "what is the direction of the polarization?", you use symmetry arguments:
1. The (infinitely) long rod has translational symmetry; this means that the vectors are the same no matter where you are on the z-axis, i.e. they have no z-dependence and no z-components.
2. The rod also has azimuthal symmetry; this means that the vectors are the same no matter where you are on the circumference of a circle centered on the axis, i.e. they have no θ-dependence and no θ-components.

So what's left for the coordinate dependence and direction of the vectors?
 
  • Like
Likes   Reactions: Gustav
kuruman said:
The equation ##\vec \nabla \cdot \vec D=\rho_f## is valid in vacuum as well as in a dielectric medium. That should be our starting point. As for the question "what is the direction of the polarization?", you use symmetry arguments:
1. The (infinitely) long rod has translational symmetry; this means that the vectors are the same no matter where you are on the z-axis, i.e. they have no z-dependence and no z-components.
2. The rod also has azimuthal symmetry; this means that the vectors are the same no matter where you are on the circumference of a circle centered on the axis, i.e. they have no θ-dependence and no θ-components.

So what's left for the coordinate dependence and direction of the vectors?
We can therefore say that the direction will be radial, which mean in the r\hat direcation
 
Gustav said:
We can therefore say that the direction will be radial, which mean in the r\hat direcation
Yes.
 
  • Like
Likes   Reactions: Gustav
kuruman said:
Yes.

I am trying to solve D but I don't know how to do so, when having the divergence you gave me. I tried to re-write it in integral-form, but at the end I got D = Q_f / A, and I re-wrote Q_f = ρ_f * volume
Is that correct? Which give me that D = ρ_f * a / 2 and the volume is \pi * L * a^2 and the area is 2 * a * \pi * L.
 
Do you know how to use Gauss's Law and a Gaussian surface to find the electric field inside a cylinder of uniform charge density ##\rho##? If so, use the same procedure to find D. Only the symbols differ. The equation that I gave you in integral form is $$\int_S \vec D\cdot \hat n~dA=\int_V\rho_f~dv$$Does it look familiar?
 
  • Like
Likes   Reactions: Gustav
kuruman said:
Do you know how to use Gauss's Law and a Gaussian surface to find the electric field inside a cylinder of uniform charge density ##\rho##? If so, use the same procedure to find D. Only the symbols differ. The equation that I gave you in integral form is $$\int_S \vec D\cdot \hat n~dA=\int_V\rho_f~dv$$Does it look familiar?

I tried to follow your advice, but I am still unsure of the answer. Is the bound density charge equal to zero? Could be please have a look at my calculations in the attached file?
 

Attachments

  • Skärmavbild 2021-09-29 kl. 23.00.00.png
    Skärmavbild 2021-09-29 kl. 23.00.00.png
    15.8 KB · Views: 219
  • #10
You need to find D inside the cylinder, that is ##r<a##. You need to redo the calculation with that in mind. What is the enclosed free charge if that is case?
 
  • Like
Likes   Reactions: Gustav
  • #11
kuruman said:
You need to find D inside the cylinder, that is ##r<a##. You need to redo the calculation with that in mind. What is the enclosed free charge if that is case?
shouldn't it be the same? I don't know, if possible could you please show me how?
the charge will be ρ_f, valume=$$-2L/\pi a^2$$ is it possible that the charge will be negative
 
  • #12
Consider a cylinder of radius ##r<a## and length ##L## inside the other one. What is the flux through the surface of this cylinder? That's the left side of the equation. How much free charge is enclosed by this smaller cylinder? Also, look here for how to do the integral to find the E-field. Scroll down to the very bottom for the section "Inside a Cylinder of Charge."
 
  • Like
Likes   Reactions: Gustav
  • #13
kuruman said:
Consider a cylinder of radius ##r<a## and length ##L## inside the other one. What is the flux through the surface of this cylinder? That's the left side of the equation. How much free charge is enclosed by this smaller cylinder? Also, look here for how to do the integral to find the E-field. Scroll down to the very bottom for the section "Inside a Cylinder of Charge."
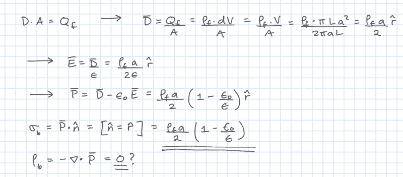
So you mean like this? is this right?
 

Attachments

  • Skärmavbild 2021-09-30 kl. 09.45.22.png
    Skärmavbild 2021-09-30 kl. 09.45.22.png
    17.4 KB · Views: 218
  • Like
Likes   Reactions: vanhees71
  • #14
It is right so far. You have correctly found the bound charge densities. Part II of the question asks you to "verify from these that the total bound charge per unit length of the rod is zero." Do that and you will be finished.
 
  • Like
Likes   Reactions: Gustav
  • #15
kuruman said:
It is right so far. You have correctly found the bound charge densities. Part II of the question asks you to "verify from these that the total bound charge per unit length of the rod is zero." Do that and you will be finished.
The only thing that I didn't understand is why do we need to take the ratio of the volumes to calculate the charge inside?

Also, we don't have any cylinder inside our given cylinder, so why are we considering the figure in that website?
 
  • #16
Gustav said:
The only thing that I didn't understand is why do we need to take the ratio of the volumes to calculate the charge inside?
That's because in the website problem the total charge Q per unit length is given not the volume charge density. The charge enclosed by the inner volume of the Gaussian surface is only a fraction of Q, and this fraction is equal to the ratio of the volumes. In your case, you have to use the volume charge density because that is what you want to find.
Gustav said:
Also, we don't have any cylinder inside our given cylinder, so why are we considering the figure in that website?
Oh yes, we do have an inner cylinder. It is an imaginary cylinder that makes up the Gaussian surface that we need to consider for finding the electric displacement vector ##\vec D##. Are you sure you understand how Gaussian surfaces are used in cases of high symmetry to find electric fields?

Also, I looked again at your derivation in posT #13 and it is not correct although the final answer is because you made two mistakes that canceled each other. You wrote $$E~2\pi r L=\frac{Q_{enc}}{\epsilon_0}=\frac{\rho_f \pi r^2 L}{\epsilon_0}.$$ That is correct only in vacuum (no dielectric) because the sources for the electric field are both free and bound charges. You have to use D not E in the equation then it will work because the sources of D are free charges only. I pointed that out in post #10, but it seems it didn't get noticed.
 
  • Like
Likes   Reactions: Gustav
  • #17
kuruman said:
That's because in the website problem the total charge Q per unit length is given not the volume charge density. The charge enclosed by the inner volume of the Gaussian surface is only a fraction of Q, and this fraction is equal to the ratio of the volumes. In your case, you have to use the volume charge density because that is what you want to find.
Okay now I understand, thank you!
kuruman said:
Oh yes, we do have an inner cylinder. It is an imaginary cylinder that makes up the Gaussian surface that we need to consider for finding the electric displacement vector ##\vec D##. Are you sure you understand how Gaussian surfaces are used in cases of high symmetry to find electric fields?

Also, I looked again at your derivation in posT #13 and it is not correct although the final answer is because you made two mistakes that canceled each other. You wrote $$E~2\pi r L=\frac{Q_{enc}}{\epsilon_0}=\frac{\rho_f \pi r^2 L}{\epsilon_0}.$$ That is correct only in vacuum (no dielectric) because the sources for the electric field are both free and bound charges. You have to use D not E in the equation then it will work because the sources of D are free charges only. I pointed that out in post #10, but it seems it didn't get noticed.
I didn't know that the inner cylinder was a Gaussian surface, but now I know, thank you for pointing it out.

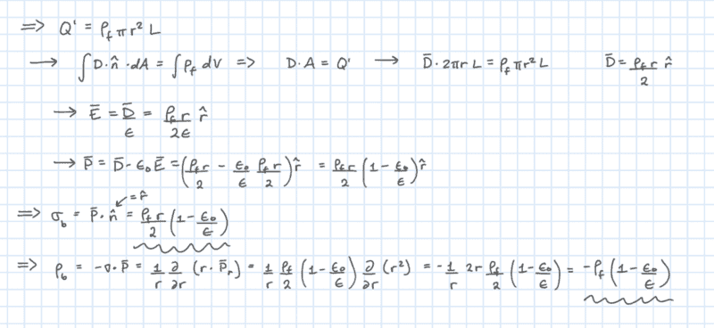
As for the calculations of the D-field, I re-did my calculations according to you advice, please have a look and see if this is what you mean?
 

Attachments

  • Skärmavbild 2021-09-30 kl. 23.27.53.png
    Skärmavbild 2021-09-30 kl. 23.27.53.png
    17.3 KB · Views: 215
  • #18
Yes. Now you can finish the problem as I indicated in post #14.
 
  • Like
Likes   Reactions: Gustav
  • #19
kuruman said:
Yes. Now you can finish the problem as I indicated in post #14.
Yes, I already tried to do it while waiting for your answer. Please have a look at the attached file below.
 

Attachments

  • Skärmavbild 2021-09-30 kl. 23.35.10.png
    Skärmavbild 2021-09-30 kl. 23.35.10.png
    17.8 KB · Views: 214
  • Like
Likes   Reactions: kuruman
  • #20
Well done!
 
  • #21
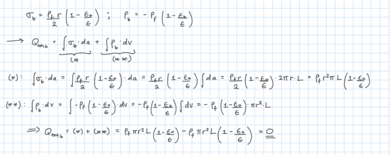
Now that I calculated the polarisation
$$ \mathbf{P} = \frac{\rho_f r}{2}\left( 1- \frac{\epsilon_0}{\epsilon} \right) \hat{r} $$
I was able to calculate the bound charges
$$ \sigma_b = \mathbf{P} \cdot \hat{n} = \frac{\rho_f r}{2} \left( 1 - \frac{\epsilon_0}{\epsilon} \right) $$
$$ \rho_b = - \nabla \cdot \mathbf{P} = - \frac{1}{r} \frac{\partial}{\partial r}(r \mathbf{P}) = - \rho_f \left( 1 - \frac{\epsilon_0}{\epsilon} \right) .$$
And the total bound charge will be
$$ Q_b = \int \sigma_b da + \int \rho_b dV = \rho_f \left( 1 - \frac{\epsilon_0}{\epsilon} \right) \pi r^2 L - \rho_f \left( 1- \frac{\epsilon_0}{\epsilon} \right) \pi r^2 L = 0. $$
(The full solution is published in the previous replies)
But somehow this is incorrect and I don't seem to find the problem in this solution. The polarisation is correct but the bound charges ## \sigma_b## and ## \rho_b ## are incorrect or there is some explanation missing there. I would assume for example that ##\sigma_b ## has a dependence of ## r ## and that somehow should have an explanation to it related to the question. I need some guidence to understand the problem, so that I can re-do the calculation or maybe understand better with an explanation.
 
  • #22
The surface bound-charge density is not a function of ##r##. Let's say that the radius of the cylinder is ##R##. Then ##\sigma_b=\frac{1}{2}\rho_f R(1-\frac{\epsilon_0}{\epsilon})##. That's constant and does not depend on ##r##. The volume bound-charge density is also constant. Why does that bother you?
 
  • Like
Likes   Reactions: Gustav
  • #23
kuruman said:
The surface bound-charge density is not a function of ##r##. Let's say that the radius of the cylinder is ##R##. Then ##\sigma_b=\frac{1}{2}\rho_f R(1-\frac{\epsilon_0}{\epsilon})##. That's constant and does not depend on ##r##. The volume bound-charge density is also constant. Why does that bother you?
But why did we change the ## \sigma_b ## from ## r ## to ##R##?
 
  • #24
Gustav said:
But why did we change the ## \sigma_b ## from ## r ## to ##R##?
Because the surface charge density (by its very name) refers to charges on the surface of the cylinder which is located at ##r=R##. Any charge, bound or free, that is not on the surface is part of the volume charge density and that is anywhere in the range ##0<r<R##. You are confusing ##r##, which normally stands for "position at any distance from the axis within the cylinder excepting the surface", with ##R## which stands for "position on the surface of the cylinder excepting the inside."
 
  • Like
Likes   Reactions: Gustav
  • #25
kuruman said:
Because the surface charge density (by its very name) refers to charges on the surface of the cylinder which is located at ##r=R##. Any charge, bound or free, that is not on the surface is part of the volume charge density and that is anywhere in the range ##0<r<R##. You are confusing ##r##, which normally stands for "position at any distance from the axis within the cylinder excepting the surface", with ##R## which stands for "position on the surface of the cylinder excepting the inside."
Okay, now I understand. As for the calculation of the volume density charge, is it correct?
 
  • #26
Gustav said:
Okay, now I understand. As for the calculation of the volume density charge, is it correct?
Yes, it is. You could check that because you are supposed to show that the total surface charge plus the total bound charge must be zero. I thought you did that in post #21 but you didn't really do it now that I look at it. You sort of finessed the surface charge density part. Since both densities are constant there is no reason to integrate. Just do separately

Total surface charge : ##q_s=\sigma_b\times (\text{surface of cylinder})##
Total volume charge : ##q_v=\rho_b\times (\text{volume of cylinder})##

then see if the two add to give zero.
 
  • Like
Likes   Reactions: Gustav
  • #27
kuruman said:
Yes, it is. You could check that because you are supposed to show that the total surface charge plus the total bound charge must be zero. I thought you did that in post #21 but you didn't really do it now that I look at it. You sort of finessed the surface charge density part. Since both densities are constant there is no reason to integrate. Just do separately

Total surface charge : ##q_s=\sigma_b\times (\text{surface of cylinder})##
Total volume charge : ##q_v=\rho_b\times (\text{volume of cylinder})##

then see if the two add to give zero.
Okay I see, thank you for the explanation!
 
  • #28
Gustav said:
Okay I see, thank you for the explanation!
Note that the polarization vector is in the radial direction only. The surface density on the flat faces of the cylinder is zero because ##\hat n =\hat z## and ##\vec P\cdot\hat z=0##. Thus, the two faces do not contribute to the total surface bound charge.
 
  • Like
Likes   Reactions: Gustav

Similar threads

  • · Replies 1 ·
Replies
1
Views
5K
  • · Replies 4 ·
Replies
4
Views
3K
  • · Replies 6 ·
Replies
6
Views
4K
Replies
2
Views
2K
  • · Replies 4 ·
Replies
4
Views
3K
  • · Replies 1 ·
Replies
1
Views
2K
  • · Replies 5 ·
Replies
5
Views
3K
  • · Replies 1 ·
Replies
1
Views
2K
  • · Replies 1 ·
Replies
1
Views
2K
  • · Replies 29 ·
Replies
29
Views
4K