How Does a Car's Velocity Change When It Moves Down an Inclined Plane?

Click For Summary

Homework Help Overview

The discussion revolves around a physics problem involving a car's velocity as it transitions from a horizontal road to an inclined plane. The original poster presents a scenario where the car's speed decreases when moving uphill and raises questions about how its velocity will change when moving downhill, assuming constant engine power and negligible friction.

Discussion Character

  • Exploratory, Assumption checking, Conceptual clarification

Approaches and Questions Raised

  • Participants explore the implications of constant engine power and the effects of gravity on the car's motion. Some question the assumptions regarding friction and how they affect the forces acting on the car. Others discuss the interpretation of the problem's wording and its impact on the expected outcome.

Discussion Status

The discussion is active, with participants offering various interpretations and questioning the assumptions made in the problem. There is an ongoing exploration of the relationships between forces, power, and velocity changes, with some participants suggesting that the problem's wording leads to ambiguity in the expected answers.

Contextual Notes

Participants note the lack of information regarding friction types and the potential implications of internal friction on the problem's setup. The problem is also identified as being from a physics olympiad, suggesting a level of complexity that may not be typical in standard homework problems.

kaspis245
Messages
189
Reaction score
1

Homework Statement


A car is moving on a horizontal road with speed of 60 km/h. When it starts to move on an inclined plane its velocity decreases by 10 km/h. How much its velocity will increase when the car starts to move down the plane? Assume that the power of the engine remain the same, any friction is neglectable.

Homework Equations


Newton's Laws of Motion

The Attempt at a Solution



olimpas_1.jpg

The correct answer is 15 km\h. I don't understand this. Please help.
 
Physics news on Phys.org
Insufficient info and a poorly posed question.
 
  • Like
Likes   Reactions: SammyS
I've rechecked the problem. There is nothing more given. Note that it's a problem from my country's physics olympiad so I expect it to be difficult.

Maybe the way I'm trying to solve it is wrong, but I just don't know where to start.
 
kaspis245 said:
Assume that the power of the engine remain the same, any friction is neglectable.
In a frictionless world, how much power is required to maintain 60 km/h horizontally?
 
I think the phrase "neglect any friction" is misleading. For the problem to work out, you have to assume that there is "internal friction" that the engine must overcome even when driving on a horizontal road. So, the engine has to provide a certain power while driving horizontally. I believe the problem wants you to assume this internal friction is the same even when the car is going up or down hill and that this is the only friction you need to worry about.

Think about the forces acting on the car while going uphill and downhill.
 
Well in the statement of the problem it is said that air fiction is neglectable but since there is nothing said about other kind of frictions, I thought that any friction is neglectable.
 
If there is no friction internally or externally, then the engine would not need to provide any force to keep the car moving on a horizontal surface. There must also be static friction between the tires and the road when going uphill.

I think you have to assume that the engine provides a force Fengine,H while moving horizontally. So the engine is providing a certain power while moving horizontally. Then, when the car is going uphill, the engine must provide a greater force Fengine,UP. But you are supposed to assume that the engine still provides the same power while going uphill (or downhill).

Symbolically, can you express the force Fengine,UP in terms of Fengine,H and some other force?
Likewise, can you express the force Fengine,DOWN in terms of Fengine,H and the same "other force"?
 
I agree that the wording of the problem is open to interpretation.

But it appears that you will get the correct answer if you look at it as follows. As you wrote, the power of the engine while moving horizontally can be expressed as PH = FHvH. And the power of the engine while moving uphill can be expressed as P1 = F1v1. You need to think about why F1 is greater than FH and how you can express F1 in terms of FH and some other force.
 
kaspis245,

I believe your mistake is in the equation attached below. How did you get this? Shouldn't F2 be less than FH? The engine will not need to provide as much force coming down the hill compared to traveling horizontally.
 

Attachments

  • Incline problem.png
    Incline problem.png
    20.8 KB · Views: 544
  • #10
TSny said:
kaspis245,

I believe your mistake is in the equation attached below. How did you get this? Shouldn't F2 be less than FH? The engine will not need to provide as much force coming down the hill compared to traveling horizontally.
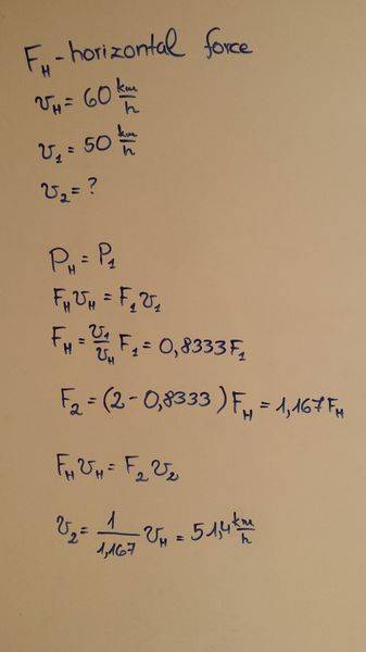
Because of P1=P2 I got a ratio FH=0,8333F1. It means that horizontal force is 16,7% bigger than the force with which the car is moving upwards. Then I made the assumption that the force with which the car will move downwards should be bigger than the horizontal force by the same amount of percent. I see that my answer is somewhat unreasonable.

You say that F1 should be greater than FH but how about PH=PUP? It gives me a clear ratio FH=0,8333F1.

Hovever, I've found another solution:
olimpas_2.jpg

It's still not the right answer but close.
 
  • #11
kaspis245 said:
You say that F1 should be greater than FH but how about PH=PUP? It gives me a clear ratio FH=0,8333F1.

But doesn't FH=0,8333F1 imply that FH is smaller than F1. So, F1 > FH.
 
  • #12
kaspis245 said:
Hovever, I've found another solution:
olimpas_2.jpg

It's still not the right answer but close.

First, I don't see a need to write FH as μmg. I would just leave it as FH.

For your expressions for FUP and FD, I believe you have some sign errors. FUP should be greater than FH in order to overcome the effect of gravity when going uphill.
 
  • #13
kaspis245 said:
How much its velocity will increase when the car starts to move down the plane?
Does this mean the final answer should be 50+15= 65 km/h or 60 +15= 75 km/h?
 
  • #14
insightful said:
Does this mean the final answer should be 50+15= 65 km/h or 60 +15= 75 km/h?
I believe it should be 75 km/hr. This is another ambiguity in the wording of the problem statement. :confused:
 
  • #15
TSny said:
I believe it should be 75 km/hr. This is another ambiguity in the wording of the problem statement. :confused:
I agree. (Only because I finally was able to get that answer.)
 
  • #16
Everything turned out fine.
olimpas_3.jpg

The answer is 15 km/h because the problem is asking how much it will increase, therefore Δv=75-60=15 km/h.
 
  • #17
Well done, my friend. Treating FH as a simple friction force leads to a clear understanding of how the forces interact.
 
  • #18
Hello,

TSny said:
If there is no friction internally or externally, then the engine would not need to provide any force to keep the car moving on a horizontal surface. There must also be static friction between the tires and the road when going uphill.

I think you have to assume that the engine provides a force Fengine,H while moving horizontally. So the engine is providing a certain power while moving horizontally. Then, when the car is going uphill, the engine must provide a greater force Fengine,UP. But you are supposed to assume that the engine still provides the same power while going uphill (or downhill).

I have a doubt regarding the concept of work/energy/power when it comes to car fuel problems .

Isn't the force provided by engine an internal force ? Because if that is true then how does it appear in force balance equations ?

This is what I understand . When a car moves on a road without slipping then there is no net work done on the car . Yet the car accelerates . The internal(chemical) energy of the fuel gets converted in kinetic energy .

But I fail to see how is force provided by engine an external force .

Please help me remove this doubt .
 
  • #19
Vibhor said:
I have a doubt regarding the concept of work/energy/power when it comes to car fuel problems .

Isn't the force provided by engine an internal force ? Because if that is true then how does it appear in force balance equations ?

Hello, Vibhor. The term "force provided by the engine" that I used is vague and I probably should have avoided it. In order to make sense of the problem, I assumed that the engine must expend power just to keep the car moving horizontally at constant speed. The reason the engine would need to supply power for horizontal motion might be due to internal friction (in the axles, for example) that would dissipate the translational kinetic energy of the car if the engine was not supplying power. I assumed that the rate at which energy is dissipated internally is proportional to the speed of the car. Thus, you could write this power expended by the engine for horizontal motion as PH = FHVH where FH has the dimensions of force and is assumed to be a constant.

When going uphill, the engine must supply additional power to account for the rate of increase of gravitational potential energy of the car. So, the total power supplied by the engine while going uphill would be Pup = FHVup + mgsinθVup. Here, it is assumed that FH associated with the internal dissipation of energy has the same value as for horizontal motion.

For going downhill, Pdown = FHVdown - mgsinθVdown.
The problem can be solved by setting PH = Pup = Pdown (as stated in the problem).

I'm not sure if this was how the problem was intended to be interpreted.

This is what I understand . When a car moves on a road without slipping then there is no net work done on the car . Yet the car accelerates . The internal(chemical) energy of the fuel gets converted in kinetic energy .

I agree. It's like a person standing on a frictionless floor facing a wall. By pushing on the wall, the person can start moving away from the wall. But, the force of the wall on the person does not do any work. The kinetic energy gained by the person comes from conversion of energy stored inside the person into kinetic energy of the person.

But I fail to see how is force provided by engine an external force .

I agree with you that the "force provided by the engine" is an internal force, not an external force. The only external forces acting on the car are the normal force from the road, friction force from the road, the force of gravity, and possibly an external drag force (which I took to be zero in the problem). When the car is traveling at constant speed horizontally with no external drag, then the friction force from the road is zero.
 
  • Like
Likes   Reactions: Vibhor
  • #20
Nice explanation !

Would you agree that in order to accelerate the car the fuel input rate to the engine would have to be increased ? This would increase the force exerted by engine on the tyres (rather on the piston) which in turn would increase the friction on the tyres and hence the acceleration ?

This raises another question -

Does higher rotation rate of the wheels mean more slipping tendency resulting in increased friction force ?
 
Last edited:
  • #21
Consider the car moving (rolling without slipping) on horizontal surface with constant speed 'v' covering a distance 'x' in time 't' . The forces present are static friction ##f_s## , air resistance ( and all other dissipative forces ) ##f_D## , force due to engine ##f_E## . Power supplied by engine is ##P## .

No work is done by friction . Applying law of conservation of energy , Power supplied by engine = Power dissipated by resistive force .

##f_Ev = f_Dv## . or ##f_E = f_D## i.e the force due to engine is equal to the resistive force .

Looking from another perspective , Work Kinetic energy theorem - The external forces are ##f_s## and ##f_D## .

Since car is moving with constant speed ##W_{net} = 0## i.e ##f_sx = f_Dx## , where x is the displacement of the CM of the car .This gives ##f_s = f_D## .

Now both these results hold true simultaneously .So, when the car moves at a constant speed ##f_E = f_D = f_s ## i.e all the forces are equal in magnitude .

Does this sound correct ?
 
  • #22
Vibhor said:
Would you agree that in order to accelerate the car the fuel input rate to the engine would have to be increased ? This would increase the force exerted by engine on the tyres (rather on the piston) which in turn would increase the friction on the tyres and hence the acceleration ?

Yes, that sounds right.

This raises another question -

Does higher rotation rate of the wheels mean more slipping tendency resulting in increased friction force ?

I would think not. If you want the car to have constant acceleration, then the force of friction on the tires from the road would need to be constant. The point of the tire that makes contact with the road is instantaneously at rest with respect to the road no matter how fast the car is traveling (i.e., no matter what the rotation rate of the tires). So, I can't see a reason why faster rotation rate ##\omega## would increase the tendency for slipping. But I cloud be overlooking something.

Of course if you want greater acceleration, you need greater friction force and therefore you are getting closer to slipping.
 
  • Like
Likes   Reactions: Vibhor
  • #23
Vibhor said:
Consider the car moving (rolling without slipping) on horizontal surface with constant speed 'v' covering a distance 'x' in time 't' . The forces present are static friction ##f_s## , air resistance ( and all other dissipative forces ) ##f_D## , force due to engine ##f_E## . Power supplied by engine is ##P## .

No work is done by friction . Applying law of conservation of energy , Power supplied by engine = Power dissipated by resistive force .

##f_Ev = f_Dv## . or ##f_E = f_D## i.e the force due to engine is equal to the resistive force .

Looking from another perspective , Work Kinetic energy theorem - The external forces are ##f_s## and ##f_D## .

Since car is moving with constant speed ##W_{net} = 0## i.e ##f_sx = f_Dx## , where x is the displacement of the CM of the car .This gives ##f_s = f_D## .

Now both these results hold true simultaneously .So, when the car moves at a constant speed ##f_E = f_D = f_s ## i.e all the forces are equal in magnitude .

Does this sound correct ?
That sounds good to me. But, it's still not clear to me exactly what is meant by the "force due to the engine", ##f_E##. Is it a force that the engine exerts on some other part of the car? If so, what other part? Same thing for the total dissipative force, ##f_D##. Of course, you can define these terms through the power equations ##P_E = f_Ev## amd ##P_D = f_D v##.

For example, suppose we replace the car by a bicycle with rider and just one "dissipative force" due to external air drag. The bicycle moves at constant speed horizontally. Consider the rider as the engine. Some people might wish to define the force of the engine as the force, ##f_{pedal}##, which the rider's foot exerts against a pedal. This force would not equal the drag force. The power of the engine would equal ##f_{pedal} v_{pedal}## and this power would equal the power due to the dissipative force (in magnitude). Since the speed, ##v_{pedal}##, of the pedal is proportional to the speed of the bicycle, you can say that the power of the engine is proportional to the speed of the bicycle. So, you could write the power of the engine as ##f_E v## where ##v## is the speed of the bicycle and ##f_E## is a quantity having dimensions of force. You could call ##f_E## the force of the engine, but it would not be the force which the rider exerts on the pedal.

But I think we're on the same page.
 
  • Like
Likes   Reactions: Vibhor

Similar threads

Replies
11
Views
1K
  • · Replies 7 ·
Replies
7
Views
2K
  • · Replies 5 ·
Replies
5
Views
2K
Replies
3
Views
3K
  • · Replies 5 ·
Replies
5
Views
2K
  • · Replies 3 ·
Replies
3
Views
1K
Replies
1
Views
2K
  • · Replies 23 ·
Replies
23
Views
3K
  • · Replies 16 ·
Replies
16
Views
5K