How Does a Nucleus's Mass Change After Emitting a Gamma-Ray Photon?

Click For Summary

Homework Help Overview

The discussion revolves around the mass change of a nucleus after it emits a gamma-ray photon during its decay from an excited state to its ground state. The problem involves concepts from relativistic physics, particularly the conservation of energy and momentum, and how these relate to mass-energy equivalence.

Discussion Character

  • Exploratory, Conceptual clarification, Mathematical reasoning

Approaches and Questions Raised

  • Participants discuss using conservation of 4-momentum and energy conservation to approach the problem. There is an attempt to derive the mass change from these principles, with some participants expressing uncertainty about their reasoning and calculations.

Discussion Status

The discussion is ongoing, with participants sharing their attempts and questioning specific aspects of their calculations. Some have provided their work for review, while others are seeking clarification on the reasoning behind certain signs in their equations. There is no explicit consensus yet, but constructive feedback is being exchanged.

Contextual Notes

Participants are navigating the complexities of relativistic momentum and energy conservation, with some noting potential misunderstandings regarding vectorial forms and signs in their equations. The original poster's use of specific equations and assumptions is also under scrutiny.

Pedro de la Torre

Homework Statement


A stationary excited nucleus decays to its grpund state by emitting a γ-ray photon of energy Eγ. The grpund state nucleus recoils in the opposite direction at speed v. Show that when v<<c the change of mass of the nucleus is approximately:

me - mg = Eγ/c2 [1+ 1/2(v/c)]

Homework Equations


v/c=pc/E
PμPμ = constant = (mc2)2
E2 = (mc2)2 + (pc)2
Pγc = Eγ

The Attempt at a Solution


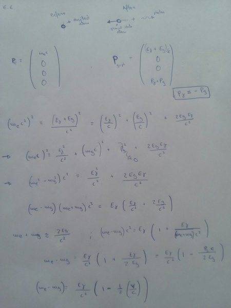
I used both, the cuadrimomentum conservation and the energy conservation. I think the solution should be directly found from the cuadrimomentum conservation, but I can not solve it.
 
Physics news on Phys.org
Pedro de la Torre said:

The Attempt at a Solution


I used both, the cuadrimomentum conservation and the energy conservation.
Conservation of 4-momentum implies conservation of both relativistic energy and relativistic 3-momentum.

I think the solution should be directly found from the cuadrimomentum conservation, but I can not solve it.
I'm not following what you mean here. It would be helpful if you showed some detail of your attempt to solve it this way.
 

Attachments

  • WhatsApp Image 2017-10-02 at 2.14.21 PM.jpeg
    WhatsApp Image 2017-10-02 at 2.14.21 PM.jpeg
    17.3 KB · Views: 644
Your work looks good, except I don't understand why you suddenly put in a negative sign at the very end. ##\frac{E_{\gamma}}{E_g}## is positive. ##E_{\gamma} = |p_{\gamma}|c##.
So, ##1 + \frac{E_{\gamma}}{2 E_g} = 1+ \frac{v}{2c}##.

upload_2017-10-2_12-46-4.png
 
Last edited:
I did that because I considered there Pg = - Pγ. But I think I am realising that this is only for the vectorial form, Isn´t it?
 
Pedro de la Torre said:
I did that because I considered there Pg = - Pγ. But I think I am realising that this is only for the vectorial form, Isn´t it?
Yes.
 

Similar threads

  • · Replies 8 ·
Replies
8
Views
2K
  • · Replies 5 ·
Replies
5
Views
3K
  • · Replies 12 ·
Replies
12
Views
2K
  • · Replies 1 ·
Replies
1
Views
2K
  • · Replies 19 ·
Replies
19
Views
3K
  • · Replies 4 ·
Replies
4
Views
3K
  • · Replies 1 ·
Replies
1
Views
4K
Replies
7
Views
1K
  • · Replies 6 ·
Replies
6
Views
5K
  • · Replies 7 ·
Replies
7
Views
2K