How Does Shaft Diameter Affect Power Transmission and Torque?

Click For Summary
SUMMARY

The discussion focuses on the impact of shaft diameter on power transmission and torque in a mechanical system involving a shaft running at 300 rev/min. The shaft transmits power from pulley A to pulleys B and C, with diameters of 50 mm and 40 mm, respectively. Calculations reveal that the maximum power supplied from pulley B is 30.2 kW and from pulley C is 31.4 kW, with a total angle of twist of 13.6°. The maximum permissible shear stress in the shaft is established at 80 MPa, and the modulus of rigidity (G) is 80 GPa.

PREREQUISITES
  • Understanding of torque and power equations in mechanical systems
  • Familiarity with shear stress and its implications on material strength
  • Knowledge of the Polar Second Moment of Area (J) for solid round shafts
  • Ability to perform calculations involving angular velocity and radians
NEXT STEPS
  • Study the derivation and application of the Polar Second Moment of Area (J) in different shaft geometries
  • Learn about the effects of varying shaft materials on shear stress and torque capacity
  • Explore advanced power transmission systems and their efficiency metrics
  • Investigate the relationship between angular velocity and torque in rotating machinery
USEFUL FOR

Mechanical engineers, students in mechanical design courses, and professionals involved in power transmission system design and analysis will benefit from this discussion.

MMCS
Messages
151
Reaction score
0
A shaft runs at 300 rev/min and transmits power from a pulley A at one end to two
pulleys, B and C, which each drive a machine in a workshop. The distance between
pulleys A and B is 3 m and that between B and C is 2.4 m (i.e. the total length of the
shaft is 5.4 m). The shaft has a diameter of 50 mm between A and B and a diameter
of 40 mm between B and C. If the maximum permissible shear stress in the shaft is 80
MPa, calculate the maximum power which may be supplied from each of the pulleys B
an C, assuming that both machines would be in operation at the same time. Also
calculate the total angle of twist of one en
d of the shaft relative to the other when
running on full load. G = 80 (GPa)

Answers:
(30.2 kW; 31.4 kW; 13.7°)


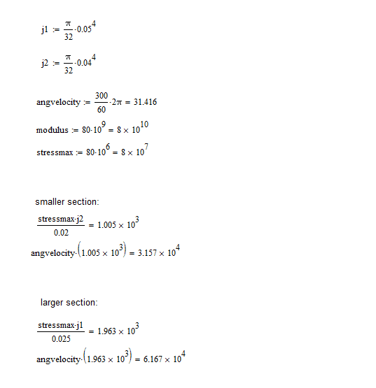
Attached is my working, i can arrive at the answer of 31.4KW for the pulley at C at the smaller diameter step, however when i try the same calculate with the second moment of area (J) for the larger diameter i get an answer in excess of 60000KW. How would i calculate the torque for the larger diameter section?

as you can see from my working I've used the standard formula rearranged for torque, then used the standard power equation.

Thanks
 

Attachments

  • working.png
    working.png
    5.2 KB · Views: 725
Physics news on Phys.org
Here is a diagram of the set up..
Pulleys.jpg


Relevant Equations:
Power = T * ω .....(1)
where
T = Torque in Nm
ω = Angular velocity in Rads/S

The Polar Second Moment of Area (J) for a solid round shaft is
J = πd4/32......(2)
where d is the diameter in meters.

Max Stress τmax = Td/2J....(3)

Substitute (2) into (3) and rearrange to give an equation for the Max Torque in terms of the Max Stress..

T = (τmax * π * d3)/16...(4)

Shaft from B to C

Now we can calculate the max torque and power allowed in the section of shaft from B to C...

Using (4) and...

τmax = 80 * 106Pa
d = 0.04m

T = (80*106 * π *0.043)/16
= 1005Nm

Then using (1) we can calculate the max power

PowerC = 1005 * 300 * 2π/60
= 31.6kW
This is slightly higher than the book answer of 31.4kW. Looks like they rounded the Torque down to 1000Nm.

Shaft from A to B

Now we can calculate the max torque in the section of shaft from A to B and the power available at B...

Using (4) and...

τmax = 80 * 106Pa
d = 0.05m

T = (80*106 * π *0.053)/16
= 1963Nm

However this time to calculate the power available at B we must subtract the torque required at C ..

T = 1963 - 1005 = 958NM

Then using (1) we can calculate the max power that can be delivered to machine B..

PowerB = 958 * 300 * 2π/60
= 30.1kW
This is fractionally lower than the book answer of 30.2kW. I haven't tried to account for the difference.
 
Angle of Twist

Relevant Equations

The angle of twist in each section is given by
θ = TL/GJ......(5)

where
T = Torque
L = Length
J = Polar Second Moment of Area of that section

From my post above..
J = πd4/32......(2)

Substituting for J in (5)...

θ = 32TL/Gπd4

For the section AB

T = 1963Nm
L = 3m
d = 0.05m
G = 80 * 109Pa

so

θAB = (32 * 1963 * 3) / (80 * 109 π * 0.054)

= 0.12 Rads
= 6.8 degrees

For the section BC

T = 1000Nm
L = 2.4m
d = 0.04m
G = 80 * 109Pa

so

θAB = (32 * 1000 * 2.4) / (80 * 109 π * 0.044)

= 76800 / 643398
= 0.12 rADS
= 6.8 degrees same as section AB

Total Twist = 6.8 + 6.8 = 13.6 degrees
 

Similar threads

  • · Replies 1 ·
Replies
1
Views
2K
Replies
1
Views
3K
  • · Replies 9 ·
Replies
9
Views
3K
  • · Replies 2 ·
Replies
2
Views
3K
  • · Replies 11 ·
Replies
11
Views
4K
  • · Replies 9 ·
Replies
9
Views
3K
  • · Replies 2 ·
Replies
2
Views
2K
Replies
3
Views
5K
  • · Replies 5 ·
Replies
5
Views
6K
  • · Replies 3 ·
Replies
3
Views
14K