How does theta transform into theta minus pi/2 in complex numbers?

Click For Summary

Discussion Overview

The discussion revolves around the transformation of the angle theta into theta minus pi/2 in the context of complex numbers, specifically using Euler's formula and trigonometric identities. Participants explore the mathematical steps involved in this transformation, addressing questions about the disappearance of the imaginary unit "i" and the validity of certain identities.

Discussion Character

  • Technical explanation
  • Mathematical reasoning
  • Debate/contested

Main Points Raised

  • Some participants suggest using Euler's formula and co-function identities to demonstrate the transformation of theta into theta minus pi/2.
  • There is a question about how the "i" disappears in the equation, with one participant asserting that $i = e^{i \frac{\pi}{2}}$.
  • One participant challenges the identity presented, noting discrepancies in the factors of $e^{-j\theta}$ and $e^{j\theta}$, suggesting it is impossible as stated.
  • Another participant counters that the second term is out by a factor of "i," which they argue makes the identity correct.
  • Further discussion includes a proposed correct procedure involving complex expressions, with a request for clarification on how "j" disappears in the transformation.
  • One participant provides a detailed breakdown of the steps using Euler's formula and co-function identities to clarify the transformation process.

Areas of Agreement / Disagreement

Participants express differing views on the validity of the identity in question, with some asserting it is incorrect while others believe it can be made correct with appropriate adjustments. The discussion remains unresolved regarding the correctness of the identity and the steps involved in the transformation.

Contextual Notes

Participants reference specific mathematical identities and transformations, but there are unresolved questions regarding the assumptions and steps taken in the derivations. The discussion includes multiple perspectives on the interpretation of these identities.

aruwin
Messages
204
Reaction score
0
Hi!
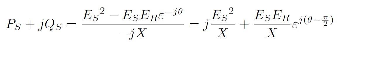
Can you tell me how the theta changes into theta minus pi/2? Can you show me, please?
 

Attachments

  • complex.JPG
    complex.JPG
    14.7 KB · Views: 111
Physics news on Phys.org
Hint: Use Euler's formula and the co-function identities for sine and cosine to demonstrate that:

$$ie^{-i\theta}=e^{i\left(\frac{\pi}{2}-\theta\right)}$$
 
MarkFL said:
Hint: Use Euler's formula and the co-function identities for sine and cosine to demonstrate that:

$$ie^{-i\theta}=e^{i\left(\frac{\pi}{2}-\theta\right)}$$

How did the "i" disappear?
 
aruwin said:
How did the "i" disappear?

$i = e^{i \frac{\pi}{2}}$
 
The problem with this 'identity' is that in the first term there is the factor $\displaystyle e^{- j\ \theta} $ and in second there is the factor $\displaystyle e^{j\ \theta}$... and that is impossible!(Tmi)...

Kind regards

$\chi$ $\sigma$
 
chisigma said:
The problem with this 'identity' is that in the first term there is the factor $\displaystyle e^{- j\ \theta} $ and in second there is the factor $\displaystyle e^{j\ \theta}$... and that is impossible!(Tmi)...

Kind regards

$\chi$ $\sigma$

Do you mean that the equation is actually wrong?
 
chisigma said:
The problem with this 'identity' is that in the first term there is the factor $\displaystyle e^{- j\ \theta} $ and in second there is the factor $\displaystyle e^{j\ \theta}$... and that is impossible!(Tmi)...

Kind regards

$\chi$ $\sigma$

Except that the second term is out by a factor of "i", which DOES make it correct.
 
aruwin said:
Do you mean that the equation is actually wrong?

Yes, I do... the correct procedure in my opinion is...

$\displaystyle \frac{E_{s}^{2} - E_{s}\ E_{r}\ e^{- j\ \theta}}{- j\ X} = j\ \frac{E_{s}^{2}}{X} - j\ \frac{E_{s}\ E_{r}}{X}\ e^{- j\ \theta} = j\ \frac{E_{s}^{2}}{X} + \frac{E_{s}\ E_{r}}{X}\ e^{- j\ (\theta + \frac{\pi}{2})}$

Kind regards

$\chi$ $\sigma$
 
chisigma said:
Yes, I do... the correct procedure in my opinion is...

$\displaystyle \frac{E_{s}^{2} - E_{s}\ E_{r}\ e^{- j\ \theta}}{- j\ X} = j\ \frac{E_{s}^{2}}{X} - j\ \frac{E_{s}\ E_{r}}{X}\ e^{- j\ \theta} = j\ \frac{E_{s}^{2}}{X} + \frac{E_{s}\ E_{r}}{X}\ e^{- j\ (\theta + \frac{\pi}{2})}$

Kind regards

$\chi$ $\sigma$

Could you explain to me how the j on the right disappeared?
 
  • #10
aruwin said:
Could you explain to me how the j on the right disappeared?

... because is $\displaystyle j= e^{\ j\ \frac{\pi}{2}}$...

Kind regards

$\chi$ $\sigma$
 
  • #11
aruwin said:
How did the "i" disappear?

This is what I had in mind:

Use Euler's formula:

$$ie^{-i\theta}=i\left(\cos(\theta)-i\sin(\theta\right)$$

Use co-function identities:

$$ie^{-i\theta}=i\left(\sin\left(\frac{\pi}{2}-\theta\right)-i\cos\left(\frac{\pi}{2}-\theta\right)\right)$$

Distribute the $i$ and rearrange:

$$ie^{-i\theta}=\cos\left(\frac{\pi}{2}-\theta\right)+i\sin\left(\frac{\pi}{2}-\theta\right)$$

Use Euler's formula:

$$ie^{-i\theta}=e^{i\left(\frac{\pi}{2}-\theta\right)}$$
 

Similar threads

  • · Replies 7 ·
Replies
7
Views
2K
  • · Replies 2 ·
Replies
2
Views
3K
  • · Replies 13 ·
Replies
13
Views
6K
  • · Replies 12 ·
Replies
12
Views
3K
  • · Replies 7 ·
Replies
7
Views
3K
  • · Replies 3 ·
Replies
3
Views
2K
  • · Replies 5 ·
Replies
5
Views
2K
  • · Replies 2 ·
Replies
2
Views
9K
  • · Replies 19 ·
Replies
19
Views
4K
Replies
2
Views
2K