How far will the water shoot out?

  • Thread starter Thread starter ksle82
  • Start date Start date
  • Tags Tags
    Water
Click For Summary
SUMMARY

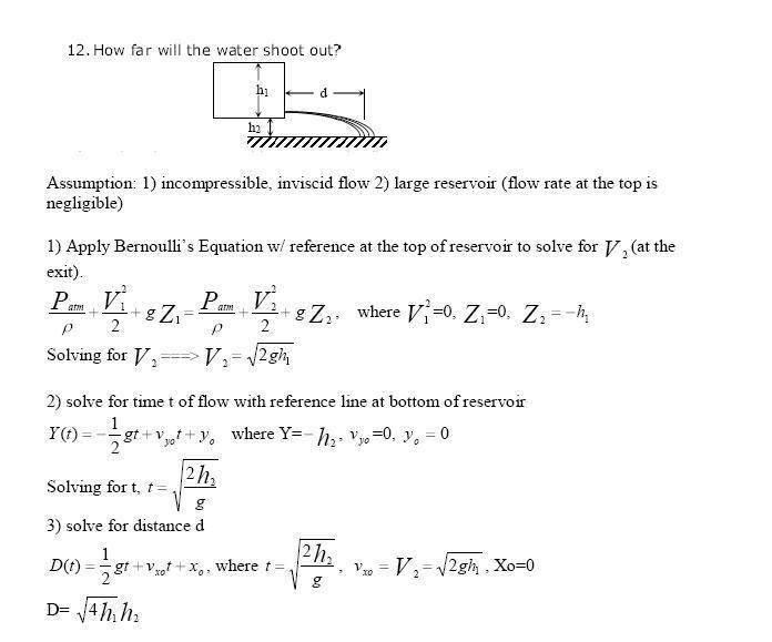
The discussion centers on calculating the distance water will shoot out based on the physics of projectile motion. A user shared an attachment titled "waterdistance.JPG" that visually represents their calculations. The formula referenced is the kinematic equation y = (1/2)gt², where g represents the acceleration due to gravity. The user requested feedback on their approach, indicating a need for clarity on the application of the formula.

PREREQUISITES
  • Understanding of kinematic equations in physics
  • Familiarity with projectile motion concepts
  • Basic knowledge of gravity and its effects on motion
  • Ability to interpret graphical data in physics
NEXT STEPS
  • Review the principles of projectile motion in physics
  • Study the derivation and applications of the kinematic equation y = (1/2)gt²
  • Explore graphical representations of motion in physics
  • Practice solving problems involving water projectile distances
USEFUL FOR

Students studying physics, educators teaching kinematics, and anyone interested in understanding projectile motion and its applications in real-world scenarios.

ksle82
Messages
30
Reaction score
0

Attachments

  • waterdistance.JPG
    waterdistance.JPG
    32.2 KB · Views: 1,261
Physics news on Phys.org
looks good.

only a typo of latexat y= (1/2)gt^2...
 

Similar threads

  • · Replies 5 ·
Replies
5
Views
2K
  • · Replies 2 ·
Replies
2
Views
2K
  • · Replies 5 ·
Replies
5
Views
6K
  • · Replies 17 ·
Replies
17
Views
5K
  • · Replies 1 ·
Replies
1
Views
1K
  • · Replies 6 ·
Replies
6
Views
2K
  • · Replies 7 ·
Replies
7
Views
1K
  • · Replies 17 ·
Replies
17
Views
6K
  • · Replies 6 ·
Replies
6
Views
4K