How integral and gradient cancels?

Click For Summary

Homework Help Overview

The discussion revolves around the relationship between gradients and line integrals in the context of potential functions in physics. Participants are exploring how a one-dimensional integral can seemingly cancel out a gradient, particularly in the context of multiple variables and potential energy.

Discussion Character

  • Conceptual clarification, Assumption checking, Mathematical reasoning

Approaches and Questions Raised

  • Participants are questioning the notation used in expressions involving gradients and potential functions, particularly the meaning of subscripts and the interpretation of line elements. There is also exploration of the implications of these notations in the context of multiple particles and their paths.

Discussion Status

The discussion is active, with participants providing insights and interpretations regarding the notation and concepts involved. Some have offered clarifications about the meaning of certain terms and expressions, while others are still seeking to understand the implications of the equations presented.

Contextual Notes

There are concerns regarding the clarity of the notation used, including the meaning of various subscripts and the context of the variables involved. Participants are also addressing potential ambiguities in the expressions and their physical interpretations.

Istiak
Messages
158
Reaction score
12
Homework Statement
How integral and gradient cancels?
Relevant Equations
Integration, Differentiation
Screenshot from 2021-08-23 16-13-21.png
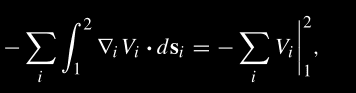
I know that gradient is multi-variable derivatives. But, here line integration (one dimensional integral) had canceled gradient. How?
 
Physics news on Phys.org
Let me know in your formula which appears ##V_i## or potential V ?
 
anuttarasammyak said:
Let me know in your formula which appears ##V_i## or potential V ?
##V_i## 🤔
 
I know
[tex]\nabla V \cdot d\mathbf{s}=\sum_i (\nabla V)_i ds_i[/tex]
but am puzzled by your formula containing three i's
[tex]\sum_i (\nabla V_i)_i ds_i[/tex]
 
anuttarasammyak said:
I know
[tex]\nabla V \cdot d\mathbf{s}=\sum_i (\nabla V)_i ds_i[/tex]
but am puzzled by your formula
[tex]\sum_i (\nabla V_i)_i ds_i[/tex]
first one is correct. When did I say the second one?
 
1629704683316.png
I found three i's in LHS.
 
anuttarasammyak said:
[tex]\nabla V \cdot d\mathbf{s}=\sum_i (\nabla V)_i ds_i[/tex]
That's what you wrote either. $$\sum_i (\nabla V)_i ds_i=\sum_i \nabla_i V_i ds_i$$ 🤔
 
The ##i## in your expressions does not seem to be a spatial index. The sum seems to be a sum over several contributing potentials.
 
  • #10
Istiakshovon said:
That's what you wrote either. $$\sum_i (\nabla V)_i ds_i=\sum_i \nabla_i V_i ds_i$$ 🤔
I can hardly find a meaning in RHS. What is ##V_i## ? I see
[tex]\sum_i \int_1^2 (\nabla V)_i ds_i = [V]_1^2[/tex]
where ##i=\{x,y,z\}## or ##\{1,2,3\}## and V is potential function. I hope it is informative for your problem.
 
  • #11
anuttarasammyak said:
I can hardly find a meaning in RHS. What is ##V_i## ? I see
[tex]\sum_i \int_1^2 (\nabla V)_i ds_i = [V]_1^2[/tex]
where ##i=\{x,y,z\}## or ##\{1,2,3\}## and V is potential function. I hope it is informative for your problem.
Again, the index ##i## here does not seem to be a spatial index but rather a counting index for several different contributions.
 
  • #12
Istiakshovon said:
Homework Statement:: How integral and gradient cancels?
Relevant Equations:: Integration, Differentiation

View attachment 287953I know that gradient is multi-variable derivatives. But, here line integration (one dimensional integral) had canceled gradient. How?
Hi. What you have written is not recognisable notation (to me, anyway) and you have provided virtually no explanation/background information. Some problems that immediately stand out are:

1. What is the meaning of ‘∇ᵢ’? If ∇ is the gradient operator then the subscript (i) is meaningless.

2. What does ‘dsᵢ’ mean? Is ‘dsᵢ’ simply notation for dx, dy and dz? Or have you got multiple paths and dsᵢ is a line-element along the i-th path?

3. What is i? An index (i=1, 2 or 3) corresponding to the 3 spatial dimensions, or an arbitrary number corresponding to how many V’s there are?

4, Why have you got minus signs on both sides of the equation (when they can be removed)?

5. Why is the vertical bar on the right hand side used? This symbol is typically used for the end values of a definite integral, but there is no integral on the right hand side

What is the source of your equation?
 
  • #13
Steve4Physics said:
1. What is the meaning of ‘∇ᵢ’? If ∇ is the gradient operator then the subscript (i) is meaningless.
The natural interpretation to me is a set of particles, indexed by ##i## moving in an external potential and each with position ##\vec s_i## and potential ##V_i = V(\vec s_i)##. The gradient ##\nabla_i## would be the gradient acting on the ##\vec s_i## coordinates.

Steve4Physics said:
2. What does ‘dsᵢ’ mean? Is ‘dsᵢ’ simply notation for dx, dy and dz? Or have you got multiple paths and dsᵢ is a line-element along the i-th path?
See above. The ##d\vec s_i## would be the differential of the position of particle ##i##.

Steve4Physics said:
5. Why is the vertical bar on the right hand side used? This symbol is typically used for the end values of a definite integral, but there is no integral on the right hand side
The integral is on the LHS. The evaluation of the integral at the endpoints are therefore on the RHS.
 
  • Like
Likes   Reactions: Steve4Physics and Delta2
  • #14
Orodruin said:
The natural interpretation to me is a set of particles, indexed by ##i## moving in an external potential and each with position ##\vec s_i## and potential ##V_i = V(\vec s_i)##. The gradient ##\nabla_i## would be the gradient acting on the ##\vec s_i## coordinates.See above. The ##d\vec s_i## would be the differential of the position of particle ##i##.The integral is on the LHS. The evaluation of the integral at the endpoints are therefore on the RHS.
Aha. Thanks @Orodruin. That’s very helpful. I was being a bit slow.

##\nabla_i## is the directional derivative in the direction ##\vec {s_i}##, not a simple gradient operator. For neatness, ‘##i##’ has been used as the subscript rather than (the more usual) ##\vec {s_i}##.

As for my query on the use of the vertical bar, I was being silly.

And for anyone else as confused as I was initially, I’ll add that the ‘1’ and ‘2’ in the given equation aren’t actual values but are shorthand for the start-coordinates (1) and the end-coordinate (2) of each particle’s path. It's briefer (though less clear) than writing something like ##r_{i_1}## and ## r_{i_2}## for the start and end points of the i-th particle.

In a physical context, the equation is simply expressing the fact that the work done moving a set of particles (with independent paths) in a conservative force field equals the total change in potential energy.
 

Similar threads

  • · Replies 8 ·
Replies
8
Views
2K
Replies
28
Views
2K
  • · Replies 6 ·
Replies
6
Views
2K
Replies
7
Views
3K
  • · Replies 8 ·
Replies
8
Views
4K
Replies
2
Views
3K
  • · Replies 1 ·
Replies
1
Views
3K
  • · Replies 2 ·
Replies
2
Views
1K
  • · Replies 2 ·
Replies
2
Views
1K
  • · Replies 20 ·
Replies
20
Views
4K