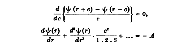
How shall we derive the second equation from first?

  • Context: Undergrad 
  • Thread starter Thread starter oliverkahn
  • Start date Start date
  • Tags Tags
    Derive
Click For Summary
SUMMARY

The discussion focuses on deriving the second equation from the first using Taylor expansion techniques. Participants emphasize the importance of expanding the function ##\psi(r+c)## and ##\psi(r-c)## around the point ##c=0## to achieve the desired result. The constant ##A## plays a critical role in the derivation process, ensuring accuracy in the mathematical representation. This method is essential for those working with differential equations and mathematical modeling.

PREREQUISITES
  • Understanding of Taylor series expansion
  • Familiarity with mathematical functions and notation
  • Knowledge of differential equations
  • Basic concepts of limits and continuity
NEXT STEPS
  • Study Taylor series applications in mathematical modeling
  • Explore advanced topics in differential equations
  • Learn about the implications of constants in mathematical derivations
  • Investigate the role of continuity in function behavior
USEFUL FOR

Mathematicians, physics students, and anyone involved in mathematical modeling or analysis of differential equations will benefit from this discussion.

oliverkahn
Messages
27
Reaction score
2
TL;DR
How shall we derive the second equation from first? Which formula to use?
1586073360743.png

where ##A## is a constant.
 
Physics news on Phys.org
Make a Taylor expansion of ##\psi(r+c)## and ##\psi(r-c)## around the point ##c=0##
 
  • Like
Likes   Reactions: PeroK

Similar threads

  • · Replies 14 ·
Replies
14
Views
2K
  • · Replies 42 ·
2
Replies
42
Views
5K
  • · Replies 13 ·
Replies
13
Views
3K
  • · Replies 3 ·
Replies
3
Views
4K
  • · Replies 5 ·
Replies
5
Views
3K
  • · Replies 6 ·
Replies
6
Views
3K
  • · Replies 5 ·
Replies
5
Views
2K
  • · Replies 5 ·
Replies
5
Views
4K
  • · Replies 6 ·
Replies
6
Views
2K
  • · Replies 6 ·
Replies
6
Views
4K