How to calculate the centre of mass

Click For Summary
SUMMARY

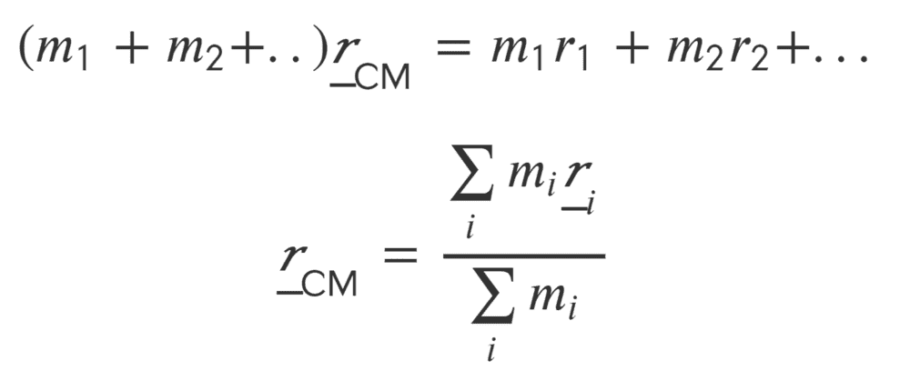
The discussion centers on the calculation of the center of mass for rigid bodies and systems of particles. It clarifies that the torque due to the weight of a rigid body about any point is equivalent to the torque of an imaginary point particle located at the center of mass, with mass equal to the total mass of the system. The equation defining the center of mass, involving point particles with masses ##m_i## at distances ##r_i## from the origin, is established as a fundamental definition rather than a derivable equation.

PREREQUISITES
  • Understanding of torque in physics
  • Familiarity with rigid body dynamics
  • Basic knowledge of point particle systems
  • Mathematical proficiency in handling equations involving summation
NEXT STEPS
  • Study the derivation of torque equations in rigid body mechanics
  • Explore the concept of center of mass in multi-particle systems
  • Learn about the applications of center of mass in engineering and physics
  • Investigate the relationship between center of mass and stability in structures
USEFUL FOR

Students and professionals in physics, engineering, and applied mathematics who are looking to deepen their understanding of center of mass calculations and their implications in real-world applications.

Sarah0001
Messages
31
Reaction score
1
Homework Statement
"If all the masses were instead placed at the centre of mass then they must give the same resultant turning moment about any point in the system as all of the individual moments added together."
Relevant Equations
The equation shown in the image insert
1) I'm not sure I quite understand this statement, is there an example that can be given to show this statement mathematically?

2) Is there any derivation for this equation to calculate position centre of mass below?
 

Attachments

  • 2019-09-14.png
    2019-09-14.png
    6.9 KB · Views: 225
Physics news on Phys.org
1) This statement basically means that the torque due to the weight of a rigid body (or a system of particles)(about any point O), is equal to the torque of the weight of an imaginary point particle that is placed in the center of mass of the rigid body (or in the center of mass of the system of particles) and the mass of this imaginary particle is equal to the mass of the rigid body (or equal to the total mass of the system of particles).

This statement can be stated and proven mathematically.

2) The equation shown at image is the definition of the center of mass of a system of point particles with masses ##m_i## located at distances ##r_i## from the origin. It cannot be derived from something else as it is the definition...
 
Last edited:
Thank you!
 
  • Like
Likes   Reactions: Delta2

Similar threads

Replies
16
Views
2K
  • · Replies 5 ·
Replies
5
Views
1K
Replies
1
Views
1K
Replies
6
Views
868
  • · Replies 17 ·
Replies
17
Views
2K
  • · Replies 8 ·
Replies
8
Views
2K
Replies
11
Views
3K
  • · Replies 13 ·
Replies
13
Views
3K
  • · Replies 12 ·
Replies
12
Views
3K
  • · Replies 21 ·
Replies
21
Views
3K